brunch

평균-평평하고 균등하게(2)

(대상 : 고등학생 이상)

by Sella

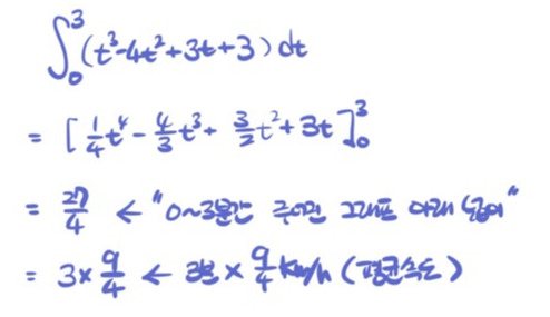
"평균 (1)"에서 다루었던 평균이 몇개의 자료값이 주어진 상황에서 생각할 정의라면 이번에는 함수값에서의 평균을 생각해 보겠습니다. 특히 함수가 y=f(x)에서 x에 들어갈 수 있는 값이 무한개일 때 그것으로 나오는 무한개의 함숫값 f(x) (또는 y로도 볼 수 있는)들의 평균을 말이지요. 사실 "평균 (1)" 글에서 우리가 일정 시간 동안 움직인 자동차의 평균속도를 생각할 때 각 시간들 마다 등장하는 속도값들이 무한개로 나왔었습니다. 그 때문에 총 이동거리와 총 시간을 계산한 후 그 시간안에 그 거리만큼 가기 위한 일정한 속도를 구하여 평균속도를 계산하였지요. 사실 정확하게는 각 시간마다 나타나는 속도가 함수식(특히, 그래프)으로 표현될 수 있다면 역시 평평하고 균등한 개념을 바탕으로 평균속도를 이야기 할 수 있답니다. 만약 자동차의 속도(y km/h)가 시간 t(0분~3분간)에 따라서 y= t^3-4t^2+3t+3로 표현된다고 봅시다. 이것을 각 t시간마다 함숫값 y를 계산하여 무수히 많은 점들이 찍혀 그리는 멋진 그림인 "그래프"로 나타내면 다음과 같습니다.

(손수 그린 그래프라 정확하지 않다는 것을 감안해서 보아야 합니다!)

마치 수조 안에서 출렁이는 물결과 같은 그래프가 나오죠? 그럼 이 무수히 많은 함숫값들의 평균값은 무엇이 될까요? .... 맞습니다! 바로 당신이 생각하고 있는 출렁이는 물이 평평하고 균등하게 되는 (마치 잔잔한 수면처럼) 그 높이를 주어진 구간에서의 함숫값의 평균으로 보면 되겠습니다. 그럼 그 높이는 어떻게 구할 수 있는 걸까요? 바로 3분간의 주어진 붉은색 그래프와 t축 사이의 넓이를 구하여 같은 넓이를 가지는 반듯한 직사각형의 높이를 생각해야 합니다. 아래 그림과 같이 말이죠.

즉, 3분간의 평균 속도는 9/4인 2.25km/h가 되겠습니다! 이것을 어떻게 구하나구요? 바로 적분(!)을 이용하게 됩니다. 위과 같이 구불구불한 속도함수의 곡선 아래 넓이를 구하기 위해서는 적분을 이용할 수 밖에 없겠습니다. 적분에 대해서는 다음 기회에 한번 설명을 해보도록 하겠습니다 ;) 우선 적분법을 알고 있다면 다음과 같이 푸른색 면의 넓이를 구하기 위한 적분 계산이 가능할 것입니다.

즉 27/4와 같은 넓이를 가지는 3분(가로길이)를 가지는 녹색 직사각형의 높이는 9/4가 됩니다. 이것을 주어진 구간에서의 함수의 평균값으로 정의합니다! 일반적으로 아래와 같은 식으로 t가 a에서 b까지 변화하는 동안의 주어진 함수 f(t)의 평균값으로 정의가 됩니다.

그럼 y=f(t) (또는 y=f(x))에 대한 평균이 다음과 같다면 수학자들은 다음 단계로 z=f(x,y)와 같이 변수가 2개 이상이 작용하는 이변수 함수의 평균값을 생각하였을 것입니다. 이변수 함수란 두 개 이상의 변수 x, y에 의해 함숫값이 결정되는 함수입니다. 앞에서의 속도가 시간의 흐름에 따라 변화하는 함수라면 이변수 함수는 두 개의 원인(예를 들면 시간/ 금액/ 인원/ 원료 등등)에 의해 도출되는 결과를 표현하는 함수로 볼 수 있습니다. 수식으로 보면 f(x, y)=x^2 + 4xy -5y 같이 말이지요. 그럼 이런 함수의 그래프를 상상해 봅시다! x축과 y축이 그려진 평면은 이제 함수의 정의역이 됩니다. 함숫값을 표현하는 제 3의 축인 z축을 xy평면의 원점에서 수직으로 곧게 그려준 후, 각각의 (x, y)마다 주어진 이변수 함수 f(x, y)에 의해서 계산된 함숫값 만큼 높이z를 주어 3차원 공간속의 점 (x, y, f(x, y))을 찍어 주는 것이지요. 그럼 xy평면의 각 점마다 높이를 준 점들이 3차원 공간속에 찍히고 이 점들의 모임은 3차원 공간속의 곡면과 같은 형태로 그려집니다.

더욱 출렁이는 수면의 모양이 갖춰졌습니다! 정해진 영역 안에서 생각할 수 있는 함숫값들의 평균은 어떻게 정의될까요? 아마도 이 곡면과 이 아래에 채워진 공간과 같은 부피를 아래에 가진 평평한 평면을 상상하고, 평평해진 때의 높이가 주어진 무수히 많은 함숫값들의 평균값으로 생각하셨다면 정답입니다! 그래서 이번에는 주어진 영역 안에서의 부피(!)를 계산해서 영역의 넓이(!)로 나누어 준 값을 찾아야 한답니다. 즉, 이변수 함수와 xy평면 사이의 이중적분을 계산한 후, 주어진 영역을 xy평면으로 사영시킨 구역의 넓이를 적분으로 계산하여 나누어 주면 되겠습니다. 그럼 사영된 영역내에서 주어진 이변수 함수의 평균값이 나옵니다. 이 방법을 3변수 함수의 평균값, 4변수 함수의 평균값,...으로 차원을 확장하여 정의할 수 있지요.


이제 여러분의 머릿속에 평균값은 단순한 공식이 아니라 "주어진 값들을 평평하고 균등하게 재배분하였을 때의 값"이라는 것을 기억해 준다면 더할 나위 없이 좋을것 같습니다 ;)

keyword
작가의 이전글평균-평평하고 균등하게 (1)