brunch

공명, 같이 울리다

화학에서의 공명(Resonance, 共鳴)과 사람에서의 공명

by 어린왕자

Benzene


화학의 상징으로 사용되는 구조식이 있다. 바로 benzene(벤젠)이다. 그림 1과 같이 한 줄과 두 줄이 반복되는 육각형은 사람들에게 화학을 떠올리게 한다.


여러 이유가 있겠지만 상징으로서 필수 요소인 단순함과 독특함이 있다. 물론 러더퍼드 원자 모형도 많이 사용되지만 물리, 과학 등 좀 더 넓고 다양하게 사용된다. 하지만 benzene을 본 사람들은 오직 화학만을 떠올린다. 이는 하나의 화학 물질 구조식으로 다른 곳에서는 볼 수 없기 때문이다. 그렇게 대체할 수 없을 것 같은 화학의 상징으로 사용되는 것이 benzene이다.

그림 1. benzene(벤젠)


공명(Resonance)


이제 benzene을 화학적으로 다가가 보자. δ-bond(시그마 결합), π-bond(파이 결합)를 익혔으니 단일 결합과 이중 결합이 단순하게 하나와 둘인 결합 개수 차이가 아니라는 것을 알게 되었다. 거기서 끝이 아니라 오비탈과 양자역학도 거쳐왔으니 benzene이 그림(구조식)대로 단순하게만 보이지 않을 것이다. 무언가 이상하거나 불편하거나 궁금한 게 떠오를 것이다.

그림 2. benzene

물론 아닐 수도 있다. 사람은 다른 법이니까 말이다. 그런 이를 위해 질문을 하나 던져 보겠다. benzene 구조식의 단일 결합과 이중 결합은 단순하게 methane(C-C)의 단일 결합이고, ethlyene(C=C)의 이중 결합일까? 그럼 단일 결합(154.1pm)과 이중결합(133.7pm)의 길이가 다르므로 정육각형이 아닌 길이가 들쑥날쑥한 육각형일까?

그림 3. C-C 결합에서 단일 결합과 이중 결합 길이의 차이

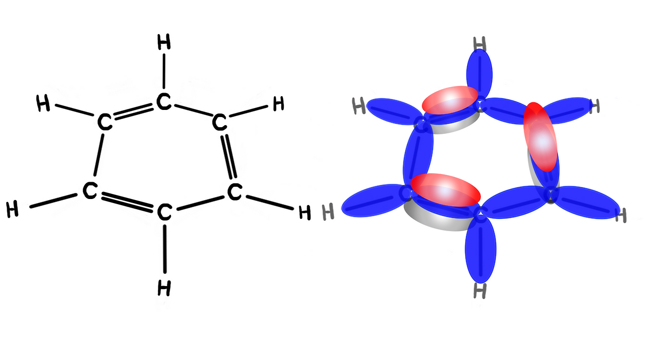
왜 이런 의문이 드는지 다음과 같이 결합을 오비탈로 표현해보면 느낄 수 있을 것이다. VBT의 전자쌍 결합으로 본다면 그림 4와 같이 6개 C(탄소)의 pz 오비탈이 이중 결합 3개를 이루고 있다는 걸 볼 수 있다. 이는 육각형이 있는 평면 위아래로 이루고 있는 π-bond(빨간색과 검은색)를 보여준다.

그림 4. benzene 결합 오비탈 (파란색은 δ-bond, 빨간색과 검은색은 π-bond)


여기서 자세히 생각해 보자. 그림 5의 benzene에서 1번 C와 2번 C의 pz오비탈이 이중 결합(π-bond)을 이루고 있다. 그럼 2번 C 대신 1번 C와 6번 C의 pz오비탈도 π-bond가 가능하지 않을까?

그림 5. benzen의 C 번호

답은 가능하다. 물론 1번 C와 6번 C의 pz오비탈이 π-bond를 이룬다면 4번 C - 5번 C, 2번 C - 3번 C가 π-bond를 이루겠지만 말이다. 결국, 2번 C이든 6번 C이든 1번 Cπ-bond을 하면 똑같은 benzene이다. 이와 같이 두 가지 이상의 구조식으로 혼합되어 있는 것을 공명 구조(resonance structrue)라 한다.

그림 6. benzen의 공명 구조


확률은 같다


여기서 끝이 아니다. 더 확장해서 양자역학을 생각해보자. 바로 전자가 존재할 확률 말이다. benzene의 결합 전 pz 오비탈을 그림으로 살펴보면 이해가 쉬울 것이다. 그림 7과 같이 모든 pz 오비탈은 동일하다. 따라서 1번 C가 2번 C 또는 6번 C와 이중결합(π-bond)을 할 확률은 동일하다. 조금 다르게 말하면 전자가 존재할 확률이 똑같다. 즉, 1번 C의 pz 오비탈의 전자가 1 - 2번 C 사이와 1 - 6번 C 사이에 존재할 확률이 같다.

그림 7. benzene에서 π-bond을 이루기 전 pz 오비탈

다시 말해서 benzene의 전자가 활동하는 곳은 거시 세계가 아닌 미시세계다. '존재할 확률'이 중요하다. 그런 관점에서 이야기하면 '양쪽 모두 존재할 확률'을 가지므로 두 곳 다 결합을 하게 된다. 그리고 앞선 글에서 이야기하였던 오비탈 겹침의 조건에도 부합한다.


이럴 경우, 당연히 우리가 알고 있던 이중결합과 차이가 있다. 단순한 이중결합의 경우는 두 원자핵 사이에 존재할 확률이 압도적으로 높다. 하지만 benzene과 같은 경우는 세 원자(1, 2, 3 C) 핵 사이에 존재할 확률을 가지므로 전자의 존재 범위가 넓어져 결합은 일반적인 이중결합과 달라진다. 쉽게 말해서 단일 결합과 이중결합의 중간 결합을 하게 된다. 그래서 앞선 글에서 보았듯 결합 차수가 반드시 정수가 아니어도 되는 것이다. (ex. 1.5 결합)


두 사람이 두 손을 마주 잡은 것을 이중결합에 비유할 수 있다면 benzene의 이중결합은 양쪽 사람과 한 손 씩 잡고 원을 이루고 있다고 비유할 수 있다. 두 손을 마주 잡으면 한 사람만을 바라보게 되어 그 속에서만 반응이 일어나지만 손을 양쪽으로 좌우로 잡고 있다면 양쪽 둘 다 바라보게 되어 양쪽 모두 반응할 수 있게 된다. 전자도 마찬가지로 양쪽 모두 이중 결합의 π전자처럼 반응성을 가진다.


Delocalization(비편재화)


benzene은 단일 결합과 이중 결합이 반복되는 것처럼 그려지지만 사실은 그 중간 결합 6개가 연결되어 있는 것과 같다. 그래서 결합 길이가 짧고 길고를 반복하는 것이 아니라 결합 길이가 139.5pm로 같은 6개의 결합으로 정육각형을 이룬다. 그래서 그림 8과 같이 표현하기도 한다.

ex) 단일 결합(single bond) = 154.1pm, 이중결합(double bond) = 133.7pm

그림 8. benzene의 구조식


여기서 익숙한 느낌이 들지 않는가? 이중결합과 단일 결합으로 다르지만 전자가 6개의 결합에 동등하게 있다는 것은 Delocalization(비편재화)를 말한다. 즉, 공명은 VBT에서의 편재화 단점을 보완해주고 있다. 이로서 보다 실제에 가까운 분자 구조를 나타낼 수 있다.


그림 9. benzene의 비편재화 된 결합 오비탈(파란색은 δ-bond, 빨간색과 검은색은 π-bond)


비편재화는 이미 여러 번 등장하였다. 이제 모두 중요성을 알고 있다. 바로 안정화이다. 전자가 한쪽으로 치우치지 않고 고루 분포할 경우 분자 전체는 에너지가 낮아지며 안정화된다. 상자 속 입자에 대한 에너지 준위가 상자를 크게 할수록 낮아지는 것처럼, 결합 전자의 전자 에너지 준위도 전자가 더 넓은 공간을 차지할 수 있을 때 더 낮아진다. 이는 분자 오비탈 이론에서도 볼 수 있었다.



다른 분자의 공명 구조

공명 구조는 벤젠 외에도 많은 화합물이 있다. 그중 사람들에게 친숙한 화합물은 O3, 오존이다.

그림 10. 오존의 공명 구조

오존의 구조는 그림 10과 같이 2개의 공명 구조를 가진다. 여기서는 benzene과 같이 단일 결합과 이중결합이 반복되지 않는다. 그러나 비공유 전자쌍이 이중결합의 π전자의 역할을 함으로써 공명 구조를 가진다.

그림 11. 굽은 화살표로 표기(위), 점선 표기(아래)

오존도 마찬가지로 같은 방향의 p 오비탈에 전자가 비편재화 되고 그로 인해 안정화된다. 따라서 오존도 단일 결합과 이중결합의 중간 결합을 가지게 된다. 실제로 양쪽의 두 결합 길이는 같다.


이와 같이 benzene과 오존은 lewis 구조식으로 정확하게 나타낼 수 없다. 앞의 글에서 이야기한 octet과 형식 전하에도 문제가 없으나 실제 구조를 나타낼 수 없다. 이를 보완하기 위해 동등한 구조식들을 이중 화살표로 표기하여 그 중간인 구조를 나타내고자 한 것이 공명 구조이다.


즉, 분자들을 여러 개의 공명 구조로 나타냄으로써 보다 정확한 분자 구조를 나타낼 수 있다. 이외에 많은 분자가 공명 구조를 가진다. 그중에는 삼중결합을 가진 화합물도 있으며, 이중결합과 같은 π전자이므로 같은 역할을 한다.


conjugation


앞서 내용으로 공명 구조를 가지는 분자의 특징을 말할 수 있을 것이다. 구조식에서 다중 결합 또는 비공유 전자쌍, 라디칼이 단일 결합을 사이에 두고 반복되면 공명 구조를 가지게 된다. 그림 12의 butadiene을 보면 조금 더 쉽게 다가올 것이다. 이와 같은 구조를 가진 분자는 그림과 같이 p 오비탈이 나란히 존재한다.

그림 12. butadiene 구조식과 pz 오비탈

결국, benzene에서와 같이 이 오비탈들이 이어져 전자가 비편재화 된다. 이를 conjugation(콘쥬게이션, 동사형 : conjugate)되었다고 한다.


그로 인해 같은 분자식을 가지는 이성질체라도 conjugation 화합물이 안정하다. 따라서 반응에서도 conjugation 화합물이 생성되는 반응이 에너지적으로 선호된다. 그러므로 반응에서도 반드시 고려해야 하는 점이므로 기억해두자!



allyl


이런 conjugtion 특징을 가지는 funtional group이 있다. 그림과 같이 이중결합과 단일 결합이 이어진 탄소 사슬로 allyl(알릴)이라 한다. 이대로는 conjugation이 되지 않고 단일 결합의 탄소가 cation(양이온), anion(음이온), radical(라디칼) 형태 일 때 conjugation이 된다. 이는 앞서 오존에서 본 형태와 같은 것으로 쉽게 알 수 있다. (혹은 마지막 C에 다중 결합과 결합한다면 conjugation이 된다.)

그림 13. allyl 구조식

그러나 이 상태는 원래의 상태보다 불안정하다. conjugation 효과가 있다고 하지만 이온이면 중성이 아니고 라디칼이면 전자가 부족하기 때문이다. 물론 주위 환경에 따라 다르겠지만 일반적인 환경이라면 이내 다른 이온이나 라디칼과 반응할 것이다.

그림 14. allyl 양이온, 음이온, 라디칼과 공명 구조

그렇다면 allyl이 무슨 의미가 있을까? 반응에서 이야기했던 부분으로 돌아가 보자. SN1반응에서는 중간체를 형성하는 과정이 RDS로 가장 중요하다고 하였다. 그 중간체가 conjugation 화합물이라면 어떨까? 즉, 중간체가 상대적으로 안정하므로 보다 쉽게 형성되고 이로 인해 생성물도 더 많이 생성된다. 분자에 allyl이 있다면 3번 C(단일 결합의 C)에 결합된 원자가 다른 C에 결합된 원자보다 쉽게 분리된다. 그 결과로 conjugation 되기 때문이다. 이를 이용해 차후 원하는 반응을 쉽게 유도할 수 있게 된다.

그림 15. allyl의 pz 오비탈

이 뿐만 아니라 conjugation addition 등 conjugaion이 작용하는 많은 반응들이 있다. 이러한 특성들을 이용하면 원하는 화합물을 얻을 수 있다.



allene


그럼 이중 결합 사이에 단일 결합 없이 이중 결합만으로 연결되어 있다면 왜 conjugation이 되지 않을까? C가 이중 결합만으로 연결된 allene을 통해 알아보자.

16. allene과 결합 오비탈

allene은 구조상 가운데 C을 중심으로 두 개의 평면이 연결되어 있다. 따라서 왼쪽에서 1번째 C의 p 오비탈은 앞뒤로 형성되고, 3번째 C의 p 오비탈은 위아래로 형성되어 있다. 즉, p 오비탈의 방향이 다르다. py 오비탈과 pz 오비탈이기에 만나지 못 하므로 서로 상호 작용을 할 수 없는 것이다. 하지만 단일 결합이 중간에 있다면 p 오비탈이 방향이 같을 수 있기에 서로 상호 작용하는 것이다.


추가적으로 단일 결합은 쉽게 회전 가능하여 p 오비탈의 방향을 맞출 수 있다. 물론 단일 결합이 회전하는데도 작은 에너지가 필요하지만 conjugation으로 인한 에너지 안정이 더 크기에 회전하여 p 오비탈이 상호작용하는 위치를 선호하게 된다.


MOT

이를 MOT의 시선으로 보면 어떻게 보일까? 앞 글에서 MOT를 알아보았고, 비편재화가 VBT와 차이라는 것을 알았다. 공명 구조는 전자가 비편재화 되어있다는 것을 보여준다. 즉, MOT의 입장에서는 공명은 굳이 필요하지 않다. MOT에서는 분자 오비탈에서 전자가 비편재화 된다는 것을 이용한다. 따라서 앞서 살펴본 pz 오비탈의 겹침으로 형성된 분자 오비탈로 충분히 알아보았다. 다만 차이가 있다면 antibonding MO이 형성된다는 점이다.


일반적으로 conjuation 화합물인 benzene과 butadiene으로 많이 설명하므로 우리도 이를 pz 오비탈(π-전자)의 분자 오비탈 에너지 준위 다이어그램을 살펴보자.

그림 17. benzen pz 오비탈의 분자 오비탈 에너지 준위 다이어그램

benzene의 pz 오비탈(π-전자) 다이어그램을 나타내면 그림 17과 같다. 6개의 pz 오비탈이 6개의 분자 오비탈을 형성한다. 자세히 보면 3개의 bonding MO과 3개의 antibonding MO를 형성한다. 같은 부호(색)끼리 상호작용 할수록 낮은 에너지를, 다른 부호끼리 상호작용 할수록 마디 수가 늘어나며, 높은 에너지에 위치하게 된다.

그림 18. butadiene conjugation electron의 분자 오비탈 에너지 준위 다이어그램

butadien은 4개의 pz 오비탈을 가지므로 4개의 분자 오비탈을 형성하며, 2개의 bonding MO와 2개의 antibonding MO를 형성한다.



다른 모습과 같은 사람


한 사람에게 하나의 모습이 아닌 여러 모습이 보일 때가 있다. 마치 공명 구조처럼 말이다. 그럴 때 사람들은 '다른 사람 같아'라는 반응을 한다.


분자가 환경에 따라, 조건에 따라, 반응에 따라 그 모습을 달리 하듯이 사람도 일할 때, 취미 생활을 할 때, 가족과 있을 때, 직장 상사와 있을 때 그 모습을 달리한다. 그렇게 사람은 때와 장소, 대하는 사람에 따라 모습과 행동을 달리 한다. 그리고 때와 장소를 가리는 것은 인간 사회에서 중요하며, 그렇게 하길 교육받는다.


그런데 이는 정말 다른 사람이라고 판단할 만큼의 차이일까? 물론 완전히 다른 사람처럼 행동하는 이도 있다. 하지만 이런 이들을 보통 일반인의 범주에 포함하지는 않는다. 그렇다는 건 일반적으로는 '나'라는 존재는 '하나'라는 것이다.


원뿔을 아래에서 본다면 원으로, 옆에서 본다면 삼각형으로 보이듯 어떠한 시선을 가지느냐, 어떠한 위치에 놓여 있느냐에 따라 달리 보일 뿐인 것이다. 마치 여러 공명 구조에서 각각의 공명 구조를 보듯이 말이다. 그럼 공명 구조가 모여 진짜 구조를 나타내듯이, 그러한 다양한 모습들이 모여 온전한 자신을 나타내는 것이 아닐까?


달리 말해 자신의 본질은 그대로이나 사람마다 각자가 본 모습으로 그 사람을 판단하고 인식한다. 그러니 타인이 인식한 자신에 맞출 필요가 없다. 그 기준에 서서 생각하고 행동할 필요가 없다. 그들이 보는 공명 구조 중 하나를 보듯이, 원뿔의 한 면을 보듯이 사람의 한 단면을 본 것이다. 달리 보일 뿐 본질은 하나다. 표현되는 형태가 다를 뿐 본질은 그대로다.


공명 구조가 많을수록 안정하다. 사람은 다양한 모습을 보이는 것은 다른 이에게 다채롭게 느끼게 하고, 이는 사람을 알게 되는 재미를 느끼게 하며, 다양한 상황에 알맞은 대처를 하게 한다.


같은 사람이라도 때와 장소, 상황에 따라 맞는 모습을 보여야 한다. 심지어 자신에게도 열정과 냉정함을 가져야 한다. 그리고 어떨 때는 단호함을, 어떨 때는 융통성을 가져야 한다. 그러니 이 모든 것을 가져야 한다. 그렇기에 자신의 다채로움을 가꾸고 아껴야 한다.


원뿔의 밑 부분이 원이 아니게 되면, 옆모습이 삼각형이 아니면, 원뿔이 아니게 된다. 동전은 앞, 뒤가 다른 모양이다. 그리고 그 동전은 앞 뒤가 있어야 하나의 동전이다. 또한 그 앞 뒤가 온전해야 그 가치를 가진다. 사람도 각각의 다양한 개성이 모여 한 명의 온전한 '나'가 된다.



같이 울리다

이번에 알게 된 '공명'이라는 단어는 다른 화학 용어와 달리 그리 낯설지 않을 것이다. 이미 화학 외 다른 곳에서 사용되기 때문이다. 한문으로 보면 共(함께 공), 鳴(울 명)으로 함께 울린다는 뜻이다. 보통 소리가 같이 울린다는 의미로 자주 사용한다. resonance을 어원으로 보면 다시 울리다 라는 뜻으로 역시 소리를 포함하고 있다.


사전적으로는 진동계의 진폭이 두드러지게 증가하는 현상을 말한다. 풀어서 말해보면 각각의 물질은 고유 진동수를 가지는데, 이 고유 진동수에서는 큰 진폭으로 진동하는 현상을 말한다. 이를 이용하면 같은 진동수를 가진 물질 둘 중 하나만 진동해도 같이 진동하게 된다. 그래서 사람이 와인(유리) 잔과 같은 진동수의 소리를 내었을 경우 와인 잔이 깨지는 경우가 생기는 것이다. 이는 종종 예능이나 다큐같이 미디어를 통하여 접하기에 보다 익숙할 것이다. 이런 현상은 앞서 보았던 한문과 영어 뜻을 직접적으로 나타낸다. 껴울림은 순우리말로 조금 더 그 의미를 직관적으로 느낄 수 있다.



파동이 울리다


이를 이용하여 현악기의 현의 소리를 크게 하며, 전파도 마찬가지로 이용한다. 이들의 공통점은 무엇일까? 바로 파동이다.


그렇다. 전자는 입자이자 파동이다. 그 파동은 오비탈을 나타낸다.


이름, 용어는 그냥 지어지는 것이 아니다. 목적을 가지고 뜻을 가지고 있다. 간혹 우연히 용어가 같을 수도 있지만 그 우연도 필연을 가장한 우연이 대부분이다. 그렇다면 오늘 이야기한 화학에서의 공명과 이어지는 것이 마냥 우연이 아님을 알 수 있을 것이다.


우리가 같이 울리다


앞서 글에서 사람은 파동성을 가진다고 하였다. 그리고 파동을 느낄 수 있다고 하였다. 그 파동은 사람마다 다르기에 고유의 마음, 몸, 생각, 행동, 에너지 등으로 다양하게 표현된다. 사람들은 그러한 파동들을 서로 상호 작용하며 이 세상을 살고 있다. 가끔 고유 진동수가 같은 이를 만나 쉽게 이야기가 전해지고 가까워진다. 이를 '마음이 맞다'라고 말한다. 하지만 많은 수의 사람만큼 다양한 진동수가, 파동이 존재하기에 그렇지 않은 경우가 많다.


그래도 그렇게 달라 보이는 파동이지만 서로의 상호 작용으로 인해 ‘마음이 울린다. 생각이 통하다’라는 말을 하게 된다. 그렇게 제각각처럼 보이는 파동은 어떤 상황이나 때에는 하나로 맞춰져 같이 하기도 한다. 그 결과, 따로 움직이던 행동들이 하나가 되어 같이 행동하여 큰 물결을 이룬다.


그 결과 혼자서 할 수 없었던 것들을 큰 하나가 되어 극복하고, 이겨내고, 변화하고, 이루어내어 함께 앞으로 나아간다.

이와 같이 사람은 그렇게나 달라 보이는 파동을 맞추어 하나로 만들 수 있다. 공명의 또 다른 뜻은 ‘깊이 동감하여 함께 하려는 생각을 갖다’이다.



지금, 너와 나는 공명하는가?



Chemistry And Life. 2022. 1, 16~18



Ref.


Raymond Chang, Physical Chemistry for the chemical and biological sciences』, University Science Books(2000), p641~644.

Clayden, Greeves, Warren and Worthers Organic chemistry, Oxford University Press(2001), 153~168




마스크를 쓰게 하는 그 바이러스가 가족들에게 침투하여 저도 가벼운 증상 겪었습니다. 그중 맛을 며칠 못 느꼈는데, 예민한 저로서는 정말 겪고 싶지 않은 경험이었요. 그래서 업로드 예정이 공모전 공고 전이었는데, 결국 달을 넘기고 말았네요. 많이 아쉽습니다. 그나마 절반 정도 분량을 앞 글 전에 써놓았던 게 다행이라고 여겨야겠지요.


사실 벤젠에 관해서 더 쓰고 싶었으나 주제가 공명이다 보니 다음으로 미루었어요. 벤젠에 관한 반응을 이야기하게 된다면 그때 할 수 있겠네요. 혹은 aromatic에서도 할 수 있고요. 오늘 느꼈다시피 특이하기에 이야기가 많은 컴파운드랍니다. 파동과 오비탈 공명을 엮어서 윗 내용을 정리한 부분도 있었지만 왠지 헷갈릴 거 같아, 다시 생각하실 수 있게 여지만 남겨두었어요. 이도 언젠가 할 수 있으면 좋겠다 싶어요.


당분간 화학 글을 쉬어갈 예정입니다. 이제 반응 부분으로 돌아갈 듯싶은데 인생에 관련해서 새로운 이야기를 하는 것이 쉽지 않을 듯 싶습니다. 과학이란 것이 원리에서 시작되기에 반응에 들어가더라도 원리에서 했던 이야기를 반복할 뿐이라서요. 그래서 고민이네요.


물론 쓸 수 있는 방법은 있습니다. 그게 좋을지 나쁠지 모르겠네요. 써봐야 알겠지요.^^ 그런데 화학 글 브런치 북을 한 번 발행했는데 새 글이 4개라 따로 발행하기가 그런데 합칠 수가 없네요. 삭제하고 다시 만드는 방법밖에는... 공모전에는 브런치 북으로만 신청 가능한데 공모전만이라도 수정할 수 있게 해 줬으면 좋겠네요.


아무튼 당분간은 공모전에 내기 위해 써왔던 글들을 다시 읽어보고 수정할 예정입니다. 분량이 제법 되기에 시간이 걸릴 듯싶어요. 그래서 공모전이 끝나면 다시 시작할 거 같아요. 그래도 짧은 글을 종종 쓸 생각입니다. 화학 글만 써서 머릿속에 글 거리들이 조금 쌓여 있거든요. 그러니 종종 찾아와 주세요.


화학 글을 아껴주신 분들, 제 글을 읽어 주신 분들 모두 감사합니다. 글들을 잘 다듬어서 출판할 수 있도록 노력하겠습니다.


저와 잠깐이나마 공명하는 시간이 되셨기를 바라며, 또 새로운 글들로 찾아뵙겠습니다. 아! 그리고 즐거운 한가위 되세요~~^^


keyword
매거진의 이전글분자 오비탈과 사람의 파동으로 연결된 세상