원자의 겹침과 사람의 거리

원자가 결합 이론과 시그마 결합과 파이 결합

by 어린왕자

화학과 과제


화학과에도 많은 과제가 있다. 그중 하나는 전공서의 한 chapter가 끝나면 연습문제를 풀어 제출한다. 꽤 많은 양이지만 술 한 두 번 안 마시고 하면 가능한 양이다. 또한 너무 많으면 교수님께서 추려주신다. 그런데 만약 다른 전공 연습문제와 겹친다면, 교양과목 과제도 있다면 부담스러운 양이다. 특히 시험을 학기당 3번 치는 과목 특성상 그 주에 시험이 있다면 이건 좀 힘들다.


그래서 편법이 있다. 문제를 사람마다 할당을 주는 것이다. 즉, 각자 맡은 문제를 풀고 하나로 합친다. 마치 다른 원자들을 하나로 결합시켜 분자를 만들듯이 과제를 완성한다. 물론 타인이 푼 답도 다시 확인해야 한다. 그러지 않으면 과 전체가 같은 문제만 틀린 답을 내게 된다. 그래서 크로스 체크하는 장점도 있다. 또한 자신이 수업에서 놓쳤던 부분도 알게 되고 다른 이해방법도 알게 된다. 물론 혼자 푼 것만큼 공부는 되지 않겠지만 말이다. 그래도 공부만 하는 것이 아닌 바쁜 대학생활을 하기 위해서는 이 방법이 최선이다.


과제뿐만 아니다. 공부도 마찬가지다. 대략 1000 페이지, 3kg에 육박하는 전공서의 압박(물론 보통 3학기에 나누어서 수업하고 배우지 않는 부분도 있다)은 정말 크다. 거기다 시험 범위는 처음부터 끝까지. 백지장도 맞들면 낫듯이 공부를 같이 하면 좋다. 사람은 다르기에 쉽고 어려운 부분이 다르다. 그래서 각자 이해되는 부분을 서로 가르쳐주며 도와준다. 자신만의 방법도, 필기도 교환하면서 공부한다. 그렇게 부족한 부분을 서로 채워주며 공부하면 혼자 하는 것보다 더 많은 양과 질의 지식을 얻을 수 있다.


그렇게 화학도들과 결합되어 4년을 지내다 보니 꿈도 같이 공유하게 되었다.


결합(Bond)


우리는 앞서 공유결합을 원자들이 서로의 전자를 공유하여 결합하는 것이라고 하였다. 그리고 결합을 선으로 표현하여 분자를 나타내었다. 여기서 결합을 이루는 전자 외의 원자가 전자도 표기하는 도식이 있다. 이를 루이스 구조(Lewis structure)라 한다. 앞 글들의 기억을 떠올리는 겸 이를 살펴보고 가자.


그림 1. 물과 이산화탄소의 루이스 구조



Lewis structure and Octet


루이스 구조는 원자가 전자의 전자 배치를 한눈에 알 수 있다. 그림 1의 물과 이산화탄소의 탄소(C)산소(O)를 보면 원자가 전자가 8개로 octet(옥텟)을 이루고 있는 것을 볼 수 있다(수소는 duplet). 이와 같은 이유는 앞선 주기율표 글(전자가 다 차면 part)에서 18족 원자가 안정된 이유인 오비탈이 가득차 안정화되기 때문이다. 즉 전자를 공유함으로써 18족 원소가 같은 효과를 얻는 것이다. 이때 2~3족 원자는 원자가 전자가 8개가 되면 오비탈이 가득차므로 8이라는 의미로 octet(옥텟)이라 한다.


이름을 가진다는 것은 그만큼 중요한 개념이므로 기억해두자. 연상법으로 8을 디지털 시계에서 본다면 8은 빛이 들어오는 가능한 모든 공간에 들어와야 표현할 수 있다. 즉, 가득차 있는 것과 연상할 수 있다. 또한 1byte는 8bit로 이도octet이다. 이는 컴퓨터 정보의 최소 처리 단위이다. 세상의 기본 단위인 원자가 모여 옥텟을 이루어 분자를 형성하는 것과 연상시킬 수 있다. 마지막으로 8은 원 두개가 결합한 형태이다. 이정도면 결합하여 가득 채워 하나를 이룬다는 느낌이 새겨질 것이다. (익숙해지면 10과 다른 8(octet)만의 가득찬 느낌을 가지게 된다.)



형식 전하 (formal charges)


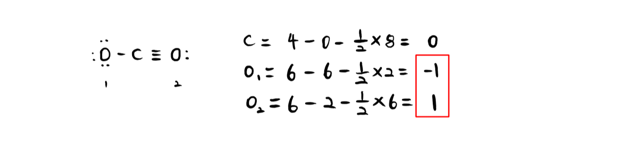
원자가 전자를 쉽게 볼수 있기에 각 원소들의 전하(charges, + - )도 쉽게 알 수 있다. 이를 형식 전하(formal charges)라 한다. 분자에서 원자들의 형식 전하는 결합 전 원자의 원자가 전자 수와 루이스 구조에서 원자 주위 전자 수의 차이이다. 다르게 말해 결합하면서 변한 전자 수를 나타낸다. 따라서 형식 전하를 다음과 같은 식(결합 전 원자의 원자가 전자 수 - 비결합 전자 수 - 1/2 결합 전자 수)으로 나타낼 수 있다. 분자의 형식 전하는 분자 내 원자가 가진 형식 전하의 합과 같다. 이는 원자 내 전하 분포를 알 수 있어 유용하다.

그림 2. 이산화탄소와 오존 형식 전자 계산, 오존의 모든 산소의 형식 전하가 다르다.


또한 한 분자를 여러 루이스 구조로 나타낼 수 있는데 이때, 형식 전하가 0에 가까울 때 실제 구조에 가깝다. 예를 들어 이산화탄소를 그림 2와 다른 루이스 구조(그림 3)로 나타낼 수 있지만 산소(O)의 형식 전하가 각각 -1, 1이다. 따라서 형식 전하가 모두 0인 루이스 구조(그림 2)가 실제 구조에 가깝다. 즉, 형식 전하를 통해 조금 더 정확한 분자 구조를 예측할 수 있다.


그림 3. 이산화탄소 다른 루이스 구조의 형식 전하


하지만 이런 형식 전하는 실제 전하가 아니다. 또한 모든 원자와 분자가 반드시 octet을 이루어 안정화되는 것도 아니다. 우리는 앞서 오비탈과 전자 배치를 익히는데서 그 이유를 알게 되었다. 만약 루이스 구조와 형식 전하가 어딘가 부족함을 느낀다면 앞 글의 내용들이 자신에 스며든 것이다. 그럼 그 부족함은 어디서 오는 것일까? 그건 우리가 어렵게 익힌 오비탈이 없기 때문이다. 즉, 여기에 양자역학이 없다. 따라서 거시적인 물체를 보는 관점에서 쉽게 이해할 수 있지만 보다 근본적인 설명은 되지 못한다.


그렇기에 결합을 알아보기 위해 양자역학, 원자, 전자 오비탈을 익힌 것이다. 이제 결합을 이해할 수 있는 최소 거리로 다가왔다. 준비물이 갖추어졌으니 그 안으로 한발 다가가 보자.


원자가 결합 이론 (Valence Bond Theory, VBT)


공유결합을 양자역학적으로 설명하는 이론이 있다. 원자가 결합 이론(Valence Bond Theory, VBT)분자 오비탈 이론(Molecular Orbital Theory, MOT)이다. 둘 모두 완벽한 이론이 아니며, 장단점이 각각 존재한다. 그리하여 경우에 따라 더 적절한 이론을 이용하여 설명한다.


이번 글에서 먼저 태어난 VBT을 알아보자. 이름의 원자가로 추측할 수 있듯이 원자가 전자만의 결합을 이야기한다. 그래서 루이스 구조에서 양자역학을 적용하여 생각하면 된다.

가장 간단한 수소 원자 둘이 결합한 수소 분자를 살펴보자. '수소 원자 둘은 서로 결합하여 전자를 하나씩 공유하여 두 개가 되어 1s 오비탈을 가득 채움으로써 안정화된다(duplet rule)'는 것은 앞의 글에서 알게 되었다. 이와 같이 전자를 공유할 수 있는 것은 두 수소 원자의 전자 오비탈의 겹침(overlap, 중첩)으로 가능하다. 풀어서 말해본다면 오비탈은 전자가 존재할 수 있는 확률이다. 즉, 두 오비탈이 겹쳐진다는 것은 겹쳐진 곳에는 두 개의 전자가 존재할 확률을 가진다는 것이 된다. 따라서 이 겹침이 공유결합이 된다. 이를 전제로 분자 오비탈을 설명하는 것이 원자가 결합 이론이다.

그림 4. 오비탈 겹침


어릴 적 자석을 가지고 놀 때를 상상해 보자. 자석의 같은 극은 반발력이, 다른 극은 인력이 작용한다. 이런 두 자석이 붙을 때, N극-S극-N극으로 붙게 된다. 같은 극 사이에 다른 극이 둘을 당김으로써 둘은 연결이 된다. 이 비유를 기억해두고 다시 원자로 넘어가 보자.


그림 5. 인력과 반발력이


오비탈의 겹침을 더 자세히 살펴보자. 멀리 있던 두 수소 원자가 서로 가까이 다가가면 서로의 핵과 전자의 인력이 작용하여 더 가까워지고 이내 겹치게 된다. 그러나 일정 수준이 되면 핵과 핵, 전자와 전자 사이에 반발력이 작용하게 된다. 그러한 반발력은 거리가 줄어들수록 점점 커진다. 그 결과 그림 6과 같이 인력과 반발력이 균형을 이루는 지점(거리)에서 가장 낮은 에너지를 가지며 두 수소 원자의 거리는 유지되고 결합을 이루게 된다.

그림 6. 두 수소 원자 간의 거리에 따른 퍼텐셜 에너지 변화


이렇게 분자에서 전자는 각각의 원자 오비탈을 그대로 가진다는 것이 VBT의 특징*이다. 이는 전자의 localization(편재화)를 가정한다. 즉 전자가 특정 위치에 제한 혹은 특정되어 있다는 것으로 루이스 구조에서도 같다. 이 때문에 VBT의 이점과 한계가 드러나게 된다. 이후 반대인 delocalization(비편재화)과 함께 자주 등장하게 되므로 단어를 기억해두자.


*MOT는 아니다.



파동 함수, HLSP theory


파동 함수를 통해 이와 같은 내용을 이야기할 수 있다. 더 근본적으로 알 수 있고 개념도 확장시킬 수 있으니 어렵더라도 살펴보자. 다만 너무 힘들지 않은 깊이로만 들어가 보자.


다시 슈뢰딩거 방정식을 떠올려보자. 수소 원자의 파동 함수는 슈뢰딩거 방정식으로 구하였다. 하지만 전자가 하나 더 늘어나기만 해도 정확한 파동 함수를 나타낼 수 없었다. 그래서 조금씩 보정해 나가는 방법을 사용하였는데 분자도 마찬가지 방식으로 파동 함수를 찾아간다.


식 1. 3차원 슈뢰딩거 방정식


수소 원자와 수소 분자와의 차이는 분자의 양성자와 전자가 각각 2개라는 것이다. 그 차이는 퍼텐셜 에너지(V)로 나타난다. 여기서 퍼텐셜 에너지는 앞서 말한 양성자(원자핵)과 전자들 간의 인력과 반발력이다. 따라서 입자들 간의 거리에 따라 퍼텐셜 에너지는 달라진다. 그리하여 수소 원자 두 개가 서로의 상호작용이 없는 먼 거리에 있을 경우에는 퍼텐셜 에너지가 0으로 하고, 수소 원자 A와 수소 원자 B가 수소 분자 C로 결합할 때, 수소 분자의 파동 함수는 다음과 같이 두 수소 원자의 파동 함수 곱으로 나타낼 수 있다. 여기서 ψA는 원자 A의 1s 파동 함수, ψB는 원자 B의 1s 파동 함수, a는 원자 A에 속한 전자, b는 원자 B에 속한 전자를 나타낸다.* 이 파동 함수를 통해 그림 6과 유사한 그래프를 얻을 수 있다. 그리고 그래프의 극소값이 결합되면서 가장 낮은 에너지 상태를 보여준다. 즉, 극소값만큼 안정화된 것이다.


*일반적으로 원자를 a, b로 전자는 1,2로 표기한다. 본문에서는 결합 전의 전자가 속한 원자를 쉽게 알아보기 위해 위와 같이 표기하였다.

식 2. 원자 A와 원자 B가 결합한 파동 함수, 전자가 다른 원자에 포함된 상태


식 2의 파동 함수로 얻어진 퍼텐셜 에너지 극소값은 약 24kJ mol-1(핵 간 거리가 약 1Å에서)을 갖는다. 하지만 실험에서 측정한 값인 432kJ mol-1 (핵 간 거리가 0.74Å에서)과 많은 차이를 보인다. 왜 그럴까? 공유결합이란 전자를 공유하는 것이다. 그런데 앞의 식 2에는 전자들이 각각의 핵에만 속해있다. 만약 전자들이 원래의 속해있던 원자가 아니라 다른 결합한 원자에 속한다면 어떻게 될까? 전자 a가 원자 B에, 전자 b가 원자 A에 속하는 경우 말이다. 이가 전자를 서로 주고받는 공유가 되는 경우일 것이다. 따라서 이와 같은 점도 고려해야 한다.


그런데 식 2의 상태와 전자가 교환된 상태를 구별할 수가 없다는 점이 있다. 만약 구별할 수 있다면 동등한 특성을 가진 새로운 state(상태)를 얻을 수 있지만 이와 같이 구별할 수 없는 경우에는 동등한 물리적 상태를 나타내게 된다.(물리적 상태를 설명할 때 redundancy을 나타낸다) 따라서 전자가 바뀐 상태의 파동 함수는 변하지 않는다. 그래서 두 파동 함수의 합(식 3)으로 파동 함수를 나타낼 수 있다.


식 3. 원자 A와 원자 B가 결합한 파동 함수, 이온 결합 상태


이 파동 함수에서 구해진 퍼텐셜 에너지 극소값은 약 300kJ mol-1(핵 간 거리가 약 0.9Å에서)을 갖는다. 초기의 파동 함수에 비해 상당히 실험값과 가까워졌다. 하지만 아직도 고려하지 않은 것이 있다. 바로 전자 a, b가 원자 A의 핵에 쏠려있는 상황*이다.


*이온 결합이라 하는데 쉽게 NaCl, 즉 Na의 전자 하나가 Cl에 속해있는 결합으로 소금이 이와 같다. 앞서 주기율표(결합과 반응은 전자를 주고받음이다 part)를 알아볼 때 이야기하였으나 추후, 결합의 종류에 이야기할 때 다시 정리하자.


식 4. 원자 A와 원자 B가 결합한 파동 함수


수소 원자끼리의 결합에서는 발생하기 어려운 상황이지만 반드시 불가능하지는 않다. 따라서 이와 같은 상태도 포함하면 파동 함수는 식 4와 같이 나타낼 수 있다. λ는 ψA(aA(b)와 ψB(aB(b)로 나타내는 이온 파동 함수가 전체 파동 함수에 기여하는 값이다. 앞서도 말했듯이 수소 분자의 이온 상태는 전자 간의 반발력으로 인해 극히 드물기에 λ는 아주아주 작은 값이다.(λ << 1) 하지만 이로 인해 극소값은 더 낮아진다.


더 나아가 수소 분자에서 전자가 하나의 핵이 아닌 두 핵에서 받는 더 효과적(적절한) 핵전하의 인력과 원자 간의 전자 구름 polarize(편극)이나 distort(왜곡)를 고려하면 더 발전된 파동 함수를 얻을 수 있다.


이 모든 과정을 통해 얻어진 파동 함수를 기여한 과학자들(Heitler-London-Slater-Pauling)의 이름을 따와서 HLSP theory라 한다.



이점과 한계점 그리고 앞으로


위 과정을 살펴보면 전자가 존재할 수 있는 영역(상황)이 넓어짐에 따라 에너지가 감소함을 알 수 있다. 이는 슈뢰딩거 방정식에서 1차원의 상자의 길이 L제곱이 에너지와 반비례하는 것과 같다. 다른 부분에서도 유사한 개념이 있었다. 차후 resonance(공명)에서 더 자세히 이야기할 예정이니 기억해두자.


VBT는 원자가 전자로만 결합을 쉽게 설명해준다. 이를 이용한 hybrid obital(혼성 오비탈)로 도식화도 쉽게 할 수 있다. 그리하여 구조 예측도 쉽고 설명하기에 용이하다. 하지만 자기성 예측이 실제와 다른 경우가 있으며(산소의 상자기성), 옥텟을 이루지 않는 화합물을 설명하기 어렵다. 이외에도 한계점이 있어 분자 구조를 온전히 설명하지 못한다. 하지만 앞서 와 같은 장점이 있어 여전히 VBT를 이용한 분자 구조에 대한 연구가 진행되고 있다.

그림 7. 옥텟을 이루지 않는 화합물


σ-bond와 π-bond


수소 말고도 다른 이원자 분자들도 같은 방법으로 생각할 수 있다. 단지 원자가 전자가 결합하므로 결합하는 오비탈만 다를 뿐이다. 그런데 수소의 s오비탈은 하나의 전자만을 더 받아들이기에 단일 결합만 가능하다. 그럼 더 큰 번호의 원자, p오비탈을 가진 원자는 어떨까? 다중결합에서 보았듯이 더 많은 결합이 가능하다.


오비탈의 출발점은 다중결합이었다. 다중결합은 단지 결합수가 증가하는 것이 아니기에 오비탈부터 알아봐야 했다. 이제 과정들을 거쳤으니 시작해보자.


기억을 떠올리자면 단일 결합은 σ-bond(Sigma bond, 시그마 결합)이고 이중결합부터는 삼중결합까지 σ-bond에서 π-bond(pi bond, 파이 결합)가 하나씩 추가된다고 하였다. σ-bond와 π-bond 모두 bond(결합)이므로 오비탈의 중첩이라는 점은 같다. 그럼 무엇이 다를까?

그림 8. 결합의 종류


간단히 말하면 결합하는 방향성이다. σ-bond는 두 원자를 잇는 선을 따라 intermuclear axis(핵 간 축, z 축)으로 오비탈이 겹쳐 결합(head to head)하고 π-bond는 핵 간 축과 직교하는 축(x축과 y축)에 따라 놓인 오비탈이 측면(side by side)으로 결합한다. 이로 인해 σ-bond는 두 핵 사이의 핵 간 축이 전자 밀도가 가장 높지만 π-bond은 핵 간 축이 전자 밀도가 0인 마디가 된다. 또한 σ-bond에 비해 결합의 거리가 멀기에 결합이 약하고 그에 따라 에너지가 높다. 이에 속한 전자를 π-electron(파이 전자)라고 하며 반응성이 높다.

그림 9. 시그마 결합

그림 10. 파이 결합


그럼 왜 이런 결합이 생성되는 걸까? 쌍둥이도 살아온 환경에 따라 달라진다. 전자도 마찬가지 아니겠는가? 그럼 잠깐 우리가 쌓은 지식을 통해 추측해보자.


결합이 세 개나 있는 삼중결합을 보면 이 좁은 곳에 전자가 6개가 있다는 것이 이상하게 느껴질 것이다. 왜냐면 전자는 서로 반발한다. 그래서 오비탈이라는 자신만의 방(공간)에 존재한다. 그 방은 서로가 가장 멀리 떨어져 최대한의 공간을 가지려 한다. 따라서 같은 에너지를 가지는 p오비탈은 x, y, z 축을 따라 존재하게 된다. 이것을 기억하고 삼중결합을 한 오비탈을 다시 들여다보자.


가장 먼저 거리가 가까운 z축의 두 오비탈이 밀도가 높은 σ-bond를 이루어 가장 짧은 거리가 되는 공간을 차지하고, z 축으로 고정된다. 따라서 나머지 오비탈은 y축과 x축을 따라 있게 되어 옆으로 결합해야 한다. 또한 σ-bond가 있는 공간을 제외하고 반발력을 최소로 하여 다음으로 가까운 거리에서 결합할 수밖에 없다. 그리고 p오비탈의 중간은 비어있는 마디이다. 따라서 측면으로 결합하는 π-bond는 σ-bond가 있는 핵 간 축, z 축이 마디가 될 수밖에 없는 것이다. 즉 삼중결합이라고 해서 6개의 전자가 한꺼번에 결합한 것이 아니며 같은 공간에 있는 것이 아니다.(이는 추후, hybrid obital에서 도식화되어 쉽게 볼 수 있으며, MOT에서도 확인할 수 있다)



π-bond도 결합이다


앞서 결합을 자석으로 비유했듯이 어릴 적 두 자석 사이의 철가루를 두어 자력을 눈으로 확인했던 기억을 떠올려보자. 이로서도 비유할 수 있는데 σ-bond는 두 자석이 붙어있다고 할 수 있고, π-bond는 완전히 붙어 있다기보다는 거리를 두고 서로의 자력의 영향력에 있다고 볼 수 있다. 자석 주위에 자력에 의해 철 가루가 일정한 형태를 이루듯이 직접 붙지 않아도 빈 공간에 충분히 힘이 미친다는 것은 눈으로 확인할 수 있다.

그림 11. 철가루로 볼 수 있는 자석의 자력

그렇기에 π-bond도 확연한 결합이며 힘(bonding energy, 결합 에너지 : 결합을 끊을 때 필요한 에너지)을 갖는다. 다만 멀리서 결합하여 σ-bond보다 결합력이 약하며 다른 원자나 분자와 더 쉽게 반응할 뿐이다. 따라서 π-bond가 있는 이중결합이 단일 결합보다 반응성이 높다. 그리고 π-bond가 둘 있는 삼중결합은 당연히 이중결합보다 더 높다.


반응성도 자석과 비유할 수 있는데 자석을 분리할 때, 완전히 붙어 있는 자석보다 거리를 두고 떨어진 자석을 분리할 때 힘이 덜 든다. 결합도 마찬가지이기에 상대적으로 σ-bond보다 π-bond가 약한 이유도 같다. 그래서 다른 분자와의 반응에서도 π-electron이 더 쉽게 반응할 수밖에 없다. 때어낼 때 적은 힘이 들기 때문이다.



인력과 반발력이 작용하는 연애


화학 연재의 가장 처음 글에서 SN 반응을 연애에 비유해보았다. 이번에는 인력과 반발력이 작용하는 결합이다. 밀고 당기는 힘은 원자에게만 해당하는 것은 아니다. 밀고 당기는 힘, 밀당을 확실히 느낄 수 있는 관계는 연애이다.


하지만 사람들이 흔히 말하는 밀당으로 만들어진 사이는 안정한 분자를 만들 수 없다. 왜냐면 bond는 둘이 하는 것이다. 그런데 상대의 감정을 일방적으로 움직이게 하는 것은 본인만 안정할 뿐 상대는 늘 불안정속에 살게 된다. 혹은 그 반대가 된다. 그렇게 하나가 안정된 만큼 다른 하나는 더 불안정해진다. 그런 결합은 이내 해리되고 만다. 원자 결합과 인간관계의 목적은 모두의 안정이기 때문이다.


밀당은 그런 밀당이 아니라 너무 가까우면 밀고, 너무 멀면 당기며, 서로가 안정되는 거리를 찾아가는 과정이다. 사람에게 호감을 가지면 당연히 물리적으로나 감정적으로나 가까워지고 싶다. 그렇게 계속 다가가다 보면 불편함이 생길 때가 있다. 여러 이유가 있겠지만 한 가지는 서로가 안정한 거리가 다르기 때문이다. 좋아하는 이라면 매 순간 같이 있고 같은 감정을 가지고 싶겠지만 반드시, 모든 사람이 그런 것은 아니다. 사람마다 원하는 일이 있고, 취미가 있고, 잘하는 것이 있다. 그리고 기쁨을 느끼는 것도, 슬픔을 느끼는 것도 다르며, 그 깊이와 속도도 다르다. 또한 같이 해야 하는 것이 있고, 혼자 해야 하는 것도 있다. 그렇기에 사람마다, 때와 장소마다 적절한 거리가 있다. 그렇기에 사람 간의 적당한 거리는 쉽게 찾아지는 것이 아니다. 따라서 거리를 밀고 당기며 둘에게 맞는 거리를 찾는 과정이 필요한 것이다.


다행히 우리는 그 방법이 DNA에 새겨져 있다. 그것은 '그대'에 대해 잘 알고 싶어 하는 본능이다. 그것으로 그대가 안정한 거리를 알 수 있다. 그래서 본능적으로 그대의 마음, 성격은 물론 직업, 전공, 취미, 특기 등이 궁금해진다. 사소하게 좋아하는 음식, 좋아하는 색, 혈액형까지 많은 것들을 알고 싶어 진다. 하지만 그런 점들이 아니라 자신의 감정과 거리만이 소중하여 상대를 알지 않으려 한다면 안정한 거리를 찾지 못한다.


이와 같은 상황도 있으나 반대도 있다. 다시 강조하면 결합은 혼자서 하는 것이 아니다. '그대'란 좋아하는 '상대'이기도 하지만 '자신'이기도 하다. 그렇기에 자신의 마음, 성격, 좋아하는 것들, 싫어하는 것들을 모르거나 오판을 하고 있다면 둘에게 안정한 거리를 찾을 수가 없다.


그래서 연애를 하다 보면 자신도 모르는 자신을 알게 된다. 자신의 감정에 따라, 상황에 따라, 상대에 따라 어떠한 생각을 하는지, 행동을 하는지 알게 된다. 그리고 그것을 통해 장점은 더 좋게, 단점은 없애면서 자신은 성장해간다. 그것을 통해 상대는 물론 자신을 사랑하는 법도 알게 된다. 연애는 자신의 가장 원초적인 감정을 비추는 거울이다.


하지만 이들을 알면서도 연애가 쉽지 않은 것은 너무나 가까이서 그대들을 보고, 감정의 격류에 쉽게 휩쓸리기 때문이다. 그래서 모든 것들이 다 지나고 나면, 물결이 잔잔해지면 조금씩 자신이 어떤지, 상대가 어떤지 더 잘 보이기 시작한다. 하지만 그때는 이미 연애는 사라지고 후회가 남았을 때가 많다.


그렇기에 연애 중에 서로의 인력과 반발력이 균형을 이루는 거리를 찾는 것도 중요하지만 그 관계를 바라보는 거리 또한 중요하다. 때론 가까이서 그 감정들에 충실하고, 때론 한발 떨어져서 작용하는 감정들과 상황을 바라봐야 한다. 상대가 어떤지 그리고 자신은 어떤지 한 발 떨어져서 바라볼 필요가 있다.



사람과 사람의 거리


연애뿐만 아니라 두 번째 글에서는 공유결합을 인간관계에 비유하였다. 따라서 연애 말고도 인간관계에서도 생각할 수 있다. 많은 원자들이 모여 다양한 물질을 이루듯이 사람들이 모여 다양한 사회를 이루고 있다. 우리는 많은 사람들과 연결되어 상호작용을 하여 일종의 결합관계를 이루고 있다.


우리가 누군가를 좋아하고 싫어하는 감정을 가장 먼저 떠올리겠지만 인력과 반발력은 단순히 그것만은 아니다. 그래서 연인뿐만 아니라 가족이나 친구 또는 직장 동료에도 안정한 거리가 있다. 그렇게 원자와 원자의 안정한 거리가 있듯이 사람과 사람 간에도 안정한 거리가 있다.


인간은 각자의 생각과 마음을 가지고 있다. 완전히 같은 사람은 없다. 조금씩 다르다. 그래서 너무 붙어있으면 서로의 충돌이 잦아진다. 반대로 너무 떨어져 있으면 서로의 인식이 적어져 π-bond처럼 연결이 약해진다. 그러다 변화에 연결이 끊어지기도 한다. 그래서 인력과 반발력이 조화를 이루는 적절한 거리를 유지해야 연결은 탄탄해지고 분자는 안정해지듯, 여러 명의 내가 연결된 우리도 안정해진다.


하지만 사람들은 종종 그것을 잊는다. 그래서 상대를 좋아한다고, 필요하다고, 너무 가까이 혹은 너무 빠르게 거리를 줄이려 한다. 그러면 반발력이 갑자기 커져 오히려 멀어지는 경우가 있다. 그것은 자신의 거리만을 강조하여 상대의 영역을, 거리를 존중하지 않았기 때문이다. 그 결과 상대는 자신의 범위에 침입했다는 생각에 방어적으로 행동하게 된다. 그렇기에 연애를 하든, 친구를 만나든, 사업을 하든 사람과의 관계를 생각한다면 상대의 영역과 거리를 존중해야 된다. 그렇게 서로의 거리를 존중하며 우리가 되어야 안정해진다.



결국 원자는 분자를 이룬다.


하지만 그 거리를 알기란 쉽지 않다. 앞서 말했듯 완전히 같은 사람은 없다. 원자의 양성자, 중성자, 전자 수도 다르며 그에 따라 작용하는 인력도 반발력도 다르다. 결국, 각자가 다르듯 원하는 거리도 다르고 안정되는 거리도 다르다. 그렇기에 인력으로 가까워지다 너무 가까워지면 반발력이, 그러다 너무 멀리 지면 다시 인력이 작용하는 반복되는 과정을 거치어 적절한 거리를 찾게 된다.


하지만 말처럼 단순히 반복되는 과정이라면 아무도 세상살이가 어렵지 않을 것이다. 이 때문에 상처받고, 울고, 괴로워한다. 원자도 그리 간단한 과정은 아니다. 그 과정에서 에너지가 방출되고 흡수된다. 그래서 어느 원자는 결합하고 어느 원자는 결합하지 않는다. 다만 원자는 포기하지 않고 다시 시도하여 결국 결합하여 안정화되어 새로운 분자가 된다.


사람도 크게 다르지 않다. 힘들지만 더 안정되기에, 더 행복하기에 사람들과 연결되려 한다. 먼저 부모와의 관계에서 시작해, 학교를 거쳐 사회에 나와 많은 시도와 시행착오를 겪으며 방법을 조금씩 익혀나간다. 그리고 새로운 우리가 되어 내가 어려워하는 것을, 못하는 것을 할 수 있게 하는 '더 나은 우리'라는 존재가 되게 한다.


또한 그 과정들이 힘든 것만은 아니다. 원자가 전자를 주고받듯, 사람은 사랑하고, 정을 나누고, 생각을 교환하며 따뜻한 마음과 좋은 생각을 주고받는다. 그 과정 속에서 나는 더 나은 내가 될 수 있고 인간으로서 안정감과 소속감을 느낀다. 그렇기에 그 과정 또한 소중한 우리의 삶이다.



다양하고 많은 원자들이 모여 안정한 분자를 이루듯 다양하고 많은 사람들이 모여 따뜻한 세상을 이루길. 그 세상에서 많은 사람들이 행복하길. 그리고 사랑하는 사람과 함께 하는 삶이길.



Chemistry And Life. 2022, 1, 7~9



오늘 저녁시간쯤에 업로드할 예정이었는데 최종 확인 때 파동 함수에서 전자가 교환되는 부분에서 exchange degeneracy를 넣고 싶었어요. 에너지가 낮아지는 요인이기도 하고요. 전자 배치 때 전자 교환과 유사한 개념이거든요. 그런데 이게 어디서 들었던 개념인 건지 혼란스러웠어요. 정확한 출처가 없기에 자료를 찾다가 늦어져서 빼기로 했어요. 굳이 여기까지 하지 않아도 될 거 같기도 하고요. 다시 확인은 해봐야겠지만 공부에 손을 놓은 지 오래라 자신은 없네요.^^(독자분께서 알려주시면 좋구요)


그렇게 이번 글도 참 많이 고친 거 같아요. 프로필에 몇 번 말씀을 드렸지만 예상과 다르게 내용이 많았어요. 그래서 너무나 오래 걸렸죠. 감정적인 문제도 있고요. 가장 먼저 VBT, MOT로 결합을 설명하면 되겠지라고 쉽게 생각했던 게 오산이었어요. 앞서 익혔던 내용을 양자역학적으로만 생각하면 된다고요. 그런데 첫 글부터 보는 게 아니라면, 이과 공부를 해본 적이 없다면 너무 뜬구름 잡는 듯이 먼 이야기가 될 거 같았어요. 그래서 전공서를 보며 한 발짝씩 하기로 했어요. 그런데 이게 제 타입이 아니라 조금 답답했어요. 쓰는 것도, 이야기하는 것도요. 이러면 재미도 반감될 테고요. 그래서 지금도 이게 맞나 싶어요. 그래도 재미만 아니라 화학 지식을 전달해야 하기에 거쳐가야 하는 과정이기도 한 거 같아요.


실험할 때나 화학도들과 이야기할 때 적당한 예시들이 있었어요. 이럴 땐 VBT로 어떨 땐 MOT로 자연스럽게 이야기들이 이어져 갔는데, 이렇게 글을 남길 줄 알았다면 기록해둘걸 그랬어요. 대학원 때 접했던 분자들은 비전공자들이 익숙지 않아 멀리 느껴질 거 같아 학부 때 한 내용들이 괜찮을 텐데 너무 오래돼서 정확히 기억이 나질 않네요. 도서관 휴게실이나 분식집, 귀갓길에 이야기했던 거 같은데 느낌만 남아있네요.


마냥 눈에, 뇌에 새겨두기만 했던 내용들이 이야기하면서 정리되고 이해되는 게 참 재밌는데, 그걸 전해드리고 싶은데...... 아쉽네요. 혼성 오비탈, 공명, MOT가 끝나면 다시 시도해봐야겠어요. 정리하는 기회로요. 그때까지 기억이 나야 할 텐데 말이죠^^. 지인들에게 물어봐도 그랬나?라는 대답만 돌아와서 온전히 저의 뇌만 의지해야 할 거 같아요.


올해 들어 조회수가 화학 글이 많기에 더 많이 적고, 더 잘 쓰고 싶은데 벚꽃 글에도 말씀드렸듯이 부정적인 감정들이 조금씩 남아있네요. 주변 일이 맘대로 되지 않기에 그렇겠지요. 어떻게든 잘 해내야겠지요. 다음 편은 혼성 오비탈인데 그리는 게 또 걱정이네요. 뭐, 해봐야겠죠!


오랜만에 올리는 글에 죄송한 마음이 듭니다. 그래서 덤이 더욱더 길어졌어요. 변명은 찔릴수록 길어지지요. 잘 쓰기 위한 과정이라 생각해 주시길...... 그리고 이런 저의 글을 찾아주셔서 늘 감사합니다.

keyword