brunch

작은 세계를 방정식으로 그리다.

슈뢰딩거 방정식과 좌표 위의 오비탈 그리고 인생의 방정식과 삶

by 어린왕자 Dec 17. 2021

(이번 글에는 수식이 많습니다. 수식이 많이 낯설다면 '이렇게 해서 눈에 보이는 형태가 되는구나'정도로 쓱 보셔도 됩니다.)



슈뢰딩거는 어려워


학부 시절 화학에서 가장 날 괴롭히던 인물은 바로 슈뢰딩거였다. 한없이 부족한 수학 실력을 가진 나에게 슈뢰딩거의 수학적 테크닉과 물리, 화학에 대한 아이디어는 화려함이고 탄복함을 넘어 벽이었다. 내게 수학적 테크닉이란 시험 문제 풀이 요령뿐이었다. 처음으로 미적분 개념을 제대로 익히지 못한 게 후회되었다. 물리화학 시간 내내 숫자가 없는 미적분을 한다는 것은 신입 화학도에게도 외계어였다.


식 1. 가장 간단한 형태의 슈뢰딩거 방정식


학점을 위해서라면 이미 몇십 년 전 풀이가 있기에 외우면 그만이지만, 화학적 개념을 위해서는 오비탈이 필요하고 그를 위해서는 슈뢰딩거 방정식을 알아야 한다. 그래서 풀이를 보고 또 보면서 과정과 결과를 익히고 그를 통해 새로운 사실을 깨달아야 했다. 그렇게 앞선 이들의 길을 따라가다 보면 그 길들이 머릿속에 새겨지게 된다. 십 년이 넘는 시간은 그 자국을 닳게 하여 흔적만이 남았어도 말이다.


식 2. H 해밀턴 상수, 복잡한 수들을 H 하나의 상수로 묶었다.


그리고 몇 년 후, 대학원에서 선배들의 대화중에 '슈뢰딩거 때문에 얼마나 힘들었는데!! 그.....'라는 말을 우연히 들었다. 그 말을 듣고 '나만 힘든 게 아니었구나'하며 한참을 웃었다. 그리고 전자과 친구와 이야기하다 알게 된 사실은 전자과에도 슈뢰딩거와 같은 존재가 있었다. 맥스웰이라고......



2차원 한 줄의 방정식을 3차원 세상으로


앞선 글에서 원자 모형을 알아보았고, 현재 오비탈(확률)로서 원자를 나타낸다는 것을 알았다. 그렇다면 한 줄의 방정식이 어떻게 오비탈이라는 형태를 표현할 수 있을까?


사람이 살아온 과정을 알면 그 사람을 어느 정도 알 수 있듯이, 오비탈도 마찬가지로 조금 더 이해할 수 있고 자세히 느낄 수 있다. 앞서 언급했지만 쉬운 내용이 아니다. 그러니 그 과정을 짧게 줄여 흐름을 따라가며 중요한 내용들만을 은은하게 머릿속에 스며들도록 해보자.



상자 속의 입자 (particle in a box)


1차원 상자(퍼텐셜 우물) 속에 입자의 파동 방정식은 양자역학에서 가장 쉬운 문제이다. 미시세계를 극단적으로 단순화한 것으로 이를 통해서 양자역학의 기본적인 개념을 익힌다. 수식이 많지만 최소화한 내용들을 따라가 보자.


그림 1. 1차원 상자 속의 입자


조건은 다음과 같다. x=0부터 x=L까지인 상자 속에 입자가 놓여있다. 이 상자 안은 퍼텐셜 에너지가 0이고 밖은 무한대로 정의한다. 입자는 밖으로 빠져나가려면 에너지가 무한대 필요하므로 상자 안에 완전히 갇혀 있게 된다. 하지만 상자 내에서 입자에 작용하는 힘은 없다. 그렇다면 V=0이므로 상자 속의 위치에 대한 파동 방정식은 eq.1과 같다. (H 해밀턴 상수에서 -hπ^2/8^2m만 남고 모두 제거)


식 3. '1차원 상자 속의 입자' 슈뢰딩거 방정'

eq.1에 따르면 파동함수 Ψ(프사이)는 두 번 미분 시 자신의 함수가 나오므로 sin 함수와 cos 함수로 나타낼 수 있다. 따라서 시행해(trial solution)의 Ψ는 식 4와 같이 나타낼 수 있다.


식 4. 시행해


이제 시행해에서 문자로 표기된 상수들의 값을 하나씩 알아가 보자.


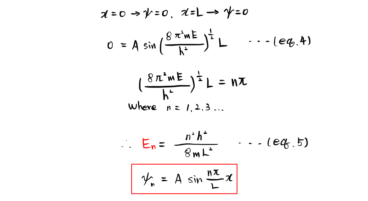
Ψ는 연속이어야 하고, 입자가 상자 양끝에서 발견된 확률은 0이므로, x=0에서 0이어야 한다. 그런데 cos 함수는 경계면인 x=0에서 0이 아니라 1이 되므로 B는 0이 돼야 한다.(cos 0 = 1). 따라서 파동 함수에서 cos함수는 기여하는 바가 없다. 따라서 Ψ는 eq.2와 같이 더 간단히 표현된다.

식 5. B값 결정


이를 x에 관해 Ψ를 미분하면 다음과 같이 된다. 이를 식 eq.1에 대입하면 k값을 얻을 수 있다. 그리고 얻은 k값을 Ψ식에 대입한다.

식 6. k값 결정

x=L일 때도 0이어야 하므로 sin nπ어야 한다.(sin nπ = 0, A가 0이 되면 모든 값이 0이 되어 상자 속의 입자를 발견할 확률이 0이 된다.) 따라서 n은 1,2,3과 같은 정수가 되어야 하고 이를 통해 양자화되어있다는 것을 알 수 있다. 또한 E(에너지)로 표현하면 eq.5로 나타난다. En는 n번째 energy level(에너지 레벨)이다. 이제 E값을 대입하여 파동함수를 얻는다.

식 7. En값 결정

다음은 이 식을 입자를 발견할 전체 확률은 1(정규화, normalization, 상자 안에서 입자를 발견할 확률은 100%)이라는 조건을 적용하면 A = √2/L이 되므로 파동 함수의 모든 상수는 특정값으로 정해지고 최종적으로 eq.6이 된다. (L은 상자의 길이이므로 오직 x에 대한 파동함수 Ψ를 알 수 있다.)


이를 그래프로 나타내면 그림 2와 같다. 그리고 얻은 Ψ 제곱하면 입자를 발견할 확률 밀도가 된다.

식 8. 모든 상수 값 결정과 Ψ식 완성
그림 2. 파동 함수와 확률 밀도


이 그래프는 저번 글에서 보았기에 다소 익숙할 것이다. 다시 강조하면 L이라는 넓이의 공간에 입자가 존재할 확률은 Ψ^2 그래프에서 알 수 있다.


상자 속 입자 문제는 슈뢰딩거 방정식에서 아주 간단한 풀이이다. 이도 이항 같은 계산 부분을 생략하여 간략화하였다. 그래도 어렵다는 것을 잘 안다. 이는 수학이라는 언어가 익숙하지 않기에 더 그렇다. 그래도 1차원의 상자 속 입자를 통해 몇 가지 중요한 개념은 얻을 수 있다.



1차원 상자 속 입자를 통해

그 개념을 다시 짚어 보면

1. 에너지는 정수배로 양자화(불연속) 되어 있다.


2. 0보다 큰 최소 에너지를 가진다. (h^2/8mL^2, 최소 에너지가 0이 아니다.) 정지 상태에 있을 수 없다.(불확정성의 원리)


3. 입자의 파동성은 n에 의존하며 확률은 Ψ^2이고, 항상 양수이다. 확률의 최대점과 0이 지점(마디)이 존재한다. 또한 에너지가 높을수록 입자가 존재하지 않는 곳(마디)이 늘어난다.


4. 에너지(E)는 질량(m)에 반비례한다. 거시 세계에서는 질량이 아주 크므로 에너지 준위의 차이가 미미하여 양자화되어 있지 않고, 연속적으로 변할 수 있다. 또한 에너지는 계(상자) 크기(L)의 제곱에 반비례하므로 거시 세계의 크기에는 에너지가 연속적으로 변하게 된다. 다르게 말하자면 거시 세계의 에너지 차이는 크기와 질량에 비해 아주 미미하여 차이가 없는 값이 된다.


다시 정리하자면 미시세계 에너지는 1, 2, 3, 4......처럼 정수만 존재하나 거시 세계 에너지는 1과 2 사이에 1.1, 1.38과 같이 무수한 많은 단계가 존재한다. 이 차이점으로 인해 우리는 미시세계와 거시 세계를 다른 세계로 느끼게 된다.



3차원에 적용하면

1차원 상자 속 입자의 파동 함수를 보았다. 하지만 우리가 인지하는 세상은 3차원이다. 따라서 1차원의 상자 속 입자를 3차원으로 확장해야 한다. 원자 중에 가장 간단한 수소 원자를 살펴보자. 3차원의 직교 좌표(x, y, z)에서 슈뢰딩거 방정식은 다음과 같다.

식 9. 3차원에서 슈뢰딩거 방정식

이때, x = r sin θ cos φ, y = r sin θ sin φ, z = r cos θ로 변환하여 구좌표 (r, θ, φ)로 표현할 수 있다. 전자는 핵과의 거리(r)가 가장 중요한 변수이므로 3차원에서는 구형을 띠게 된다. 따라서 직교좌표보다는 구좌표를 이용하는 것이 오비탈을 표현하기에 더욱 용이하므로 구좌표로 진행한다.

직교좌표와 구좌표
그림 3. 직교좌표와 구좌표 변환

따라서 직교 좌표(x, y, z)로 나타낸 3차원의 슈뢰딩거 방정식을 구좌표 (r, Θ, Φ)로 표현하면 식 10과 같다. 여기서 퍼텐셜 에너지(V)는 핵과 전자의 인력으로 -e^2 / 4πε0r이다.(ε0는 유전율, permittivity)


식 10. 구좌표로 표기한 슈뢰딩거 방정식


이제 식을 풀이하면 Ψ를 x, y, z 대신에 r, θ, φ로 표현할 수 있다. 알고 있다, 식은 더 복잡해졌고, 이미 앞에서 머리 아픈 수학을 많이 했다. 그러니 아주 복잡한 중간의 자세한 미분 풀이는 빼고 결과만을 살펴보자.


이제 Ψ는 방사방향 함수(R(r))과 각 운동량 함수((Θ(θ)Φ(φ) 혹은 Y(θ,φ))의 곱으로 표현할 수 있다는 것을 기억하자. 식 11처럼 r, θ, φ로 변수 분리하여 풀이를 진행한다. 너무 복잡하게 얽힌 세상의 문제를 하나씩 분리하여 조금씩 해결하듯이 말이다.

식 11. 변수 분리



양자수(Quantum number)


그리고 그 과정에서 다음의 3가지 양자수(양자수 조건)가 등장한다. 3차원에서 운동이므로 3개의 양자수를 가진다. R에 대한 식에서 주양자수(n)가, Θ에 대한 식에서 각 운동량 양자수(l)가, Φ에 대한 식에서 자기 양자수(ml)의 조건을 찾을 수 있다. 양자수에 대한 특징은 다음과 같다. 양자수는 오비탈의 집 주소와 같으므로 기억해두자.


주양자수(Principal quantum number, n) : 전자의 에너지와 파동 함수의 크기를 결정한다. 정수배로 양자화되어 있어서 1,2,3과 같이 정수 값을 갖는다.


각 운동량 양자수 (angular momentum quantum number, 부양자수, 방위 양자수, l) : 궤도 함수의 모양을 결정하고 궤도 함수의 에너지에 작은 영향을 미친다. 0 ~ n–1(주양 자수-1) 값까지 가진다. 이때, 값이 0 = s, 1 = p, 2 = d, 3 = f 오비탈 형태를 가지며, g이후 오비탈 명은 알파벳 순으로 진행된다. (g, h.......)


자기 양자수(magnetic quntum number, ml) : 궤도 함수의 방향을 결정한다.(각 운동량 벡터), -l... 0...+l 값까지 가진다.


오비탈을 전자의 집이라고 생각하면, 주양자수는 집의 전체 크기를, 각 운동량 함수는 집의 형태를, 자기 양자수는 집의 방향을 나타낸다고 할 수 있다. 즉, 집이 '48평이고, 아파트이며, 남향이다'라는 점이 양자수로 결정된다.



4번째 양자수


이후 슈테른-게를라흐(Stern-Gerlach) 실험을 통해 더 찾아낸 양자수가 스핀 양자수이다. 실험의 내용을 간단히 말하면 불균일한 자기장으로 홀 전자를 가진 원자(은 전자)들을 쏘았을 때 하나는 위로, 하나는 아래로, 총 2개로 갈라지는 사실을 통해 두 종류의 스핀이 있다는 것을 찾아냈다.


그림 4. 슈테른-게를라흐(Stern-Gerlach) 실험


스핀 양자수(spin quantum number, ms) : 자기장 하에서 전자 자기 모멘트의 배향 결정, 전기적으로 하전 된 입자가 회전할 때 자기 모멘트를 가지고 있기 때문에 전자의 스핀처럼 묘사되나 정확한 설명은 아니다. 양자역학적인 성질로서 전자의 고유한 특성으로 인식한다. 그리고 특이하게도 다른 양자수와 달리 정수가 아니라 +1/2, -1/2 값을 가진다.


*양자수의 약자인 n, l, ml, ms는 이탤릭체로 표기한다. 그리고 ml과 ms에서 l과 s는 아랫 첨자로 표기한다.(브런치에서 지원하지 않는 기능이라 그대로 표기)



방사방향 함수(the radial function)와 각 운동량 함수(the angular function)


다시 구좌표로 변환하여 나타냈던 방사방향 함수와 각 운동량 함수로 돌아가자. 방사방향 함수 R(r)는 핵으로부터 주어진 거리(r)에서 전자를 발견할 수 있는 확률이다. 그리고 각 운동량 함수 Θ(θ)Φ(φ)는 원자 중심으로부터 주어진 거리에서 한 지점으로부터 다른 지점까지 확률이 어떻게 변화하는가를 결정한다. 말을 풀어보자면, 전자를 발견할 확률(분포)이 오비탈이다. 각 운동량 함수는 오비탈이 어떠한 형태와 방향을 갖게 되는지를 보여준다.


n, l, ml 세 양자수에 대해 방사방향 함수 R(r)와 각 운동량 함수 Θ(θ)Φ(φ)는 표 1과 같다. (여기서 붉게 표시된 양자수와 r, θ, φ만을 보아도 된다. 덤으로 자세히 보면 규칙성이 있다는 것을 알 수 있다.)

표 1. 양자수에 대한 방사방향 함수와 각운동량 함수



오비탈 이름


표 1의 값으로 오비탈을 그리기 전에 종류에 따른 오비탈 이름부터 알아보자. 2Px라는 오비탈을 예로 살펴보자. 여기서 2는 주양자수(n)와, p는 각 운동량 양자수(l)와, x는 자기 양자수(ml)와 관련 있다. 즉, 2 level energy를 가진 x 축 방향으로 위치한 p오비탈이라는 뜻이다. '48평 남향 아파트이다'처럼 말이다. 이는 차후 익힐 전자 배치에서 주소처럼 사용되니 기억해두자.

*다시 언급하자면 각 운동량 양자수가 1=s, 2=p, 3=d, 4=f... 이 된다.


그림 5. 오비탈 이름



방정식을 그림으로


이제 드디어 방정식을 좌표 위에 나타내 보자. 우선 방사방향 함수 R(r)와 반지름 r인 구형과 r+dr인 구형을 살펴보자. 여기서 r과 r+dr사이의 부피는 4πr이며, 이를 방사방향 함수에 곱하여 제곱하면 방사방향 확률 함수(radial probability funciton)가 된다. 즉, 핵으로 부터 거리 r에서 전자를 발견할 확률은 4πr^2R(r)^2이 된다. 이로서 r값으로 전자를 발견할 확률을 구한다. r값에 따른 확률은 그림 7과 같다.

그림 6. r과 dr
그림 7. 거리(r)에 따른 전자를 발견할 확률, 단위는 Å(옴스트롱)


표 1. 에서 보면 s-오비탈은 l과 ml값이 0이다. 따라서 θ, φ값이 없고 상수만이 존재한다. 그에 따라 r값만이 오비탈에 영향을 주므로 r값이 같으면 확률도 같게 되고, 방향도 없으므로 구형이 된다.


하지만 p-오비탈은 l과 ml값이 0이 아니다. 따라서 θ, φ값에 따라 특정 형태를 갖게 되는데 좌표로 옮기면 (그림 10)계란이 대칭으로 연결된 형태(아령)가 된다. 자세히 보면 파동 함수의 한쪽은 양, 반대쪽은 음의 영역이 되며(양과 음에 물리적 의미는 없다), 그 사이는 확률이 0인 마디가 있고, 핵이 위치한다.


오비탈을 좌표 위에 전자구름으로 나타내면 그림 8과 같다. 각 점은 전자가 존재할 수 있는 위치이며, 그에 따라 진할수록 확률은 높고, 옅을수록 확률이 낮다는 의미가 된다. 여기서 주양자수가 클수록 오비탈은 크다. 그리고 전자가 옅은 구간이 있는데 이곳이 확률이 0인 마디다.

그림 8. 1s, 2s, 2p, 3d 전자 구름*

*Ref. Generated from a program by Robert Allendoerfer. Project SERAPHIM, Division of Chemical Education, Inc.


전자구름 대신에 전자를 발견할 확률이 90%까지 표시하는 방법이 경계도면이다. 가장 많이 사용하는 방법으로 이를 나타내면 오비탈은 그림 9~12와 같이 표현된다.


그림 9. 1s 오비탈, 2s 오비탈
그림 10. px 오비탈, py 오비탈, pz 오비탈
그림 11. dxy 오비탈, dxz 오비탈, dyz 오비탈
그림 12. dx2-y2 오비탈, dz2 오비탈


앞서 l에 대해 설명하였듯이 오비탈의 형태는 l에 의존하며 l 값이 증가하면서 s, p, d, f, g..... 순으로 오비탈이 모양을 이룬다.


ml은 배향에 영향을 주는데 p-오비탈의 경우 ml이 -1, 0, 1로 3개를 가지며, 따라서 x축, y축, z 축에 따라 3가지 방향을 가지게 된다. 즉, p-오비탈은 3개가 존재한다. 하지만 에너지는 동일하며 이를 '축퇴되었다(degernarate)'라고 한다. 같은 방법으로 d-오비탈은 5개, f-오비탈은 7개가 된다.



과정을 요약


과정을 더 간단히 요약해보자.

1. 3차원 슈뢰딩거 방정식은 x, y, z직교 좌표 대신에 r, θ, φ의 구좌표로 변환한다. (중심으로부터 거리가 가장 중요하므로, 중요한 값에 집중)

2. R(r)Θ(θ)Φ(φ)로 파동함수를 변수 분리하여 풀이한다. (연결된 변수(원인)를 분리 단순화한다)

3. 3개의 양자수 조건을 얻는다. (상황을 결정할 수 있는 조건 발견)


4. 양자수에 대한 R(r)으로 특정 위치에서 전자를 발견할 확률을 얻고, Θ(θ)Φ(φ)로 한 지점에서 다른 지점까지 확률의 변화를 얻는다. (각각의 원인으로부터 조건을 부여하여 결과를 얻는다)


5. 해를 좌표 위에 그리면 도식화된 오비탈이 된다. (결과 값을 눈에 보이는 물체로 얻는다)


문제의 중요한 부분을 중심에 두고 원인들과, 조절 가능한 선택을 분리하여 단순화하고, 주어진 상황에 대한 조건을 찾아 결과를 얻는다는 것은 우리가 평소 문제를 해결하는 과정과 비슷하다. 수학은 멀리 있는 듯 보이지만 의외로 사고와 행동에 배어있다.



오비탈의 내면과 외면 모두 중요하다


오비탈을 형태만으로 따지자면 에너지가 증가할수록 크기가 커지며 점점 쪼개지는 형태로 변하는 것을 알 수 있다. 퍼즐을 맞출 때 형태에 따라 맞추게 된다. 즉, 원자들이 결합할 때 오비탈의 형태는 중요한 역할을 하게 된다. 사람도 마음의 모양이 맞아야 같이 할 수 있듯이 말이다. 또한 분자 내의 결합에도 영향을 주며 이는 분자의 성질에도 영향을 미친다.


그리고 오비탈에 익숙해지면 형태에만 의존해서 마치 우리가 익숙한 거시 세계의 물체처럼 생각하게 된다. 마치 찰흙을 붙이거나 레고 블록을 조립하듯이 말이다. 그러면 '퍽'하고 벽에 막힐 때가 있다. 그것은 가장 중요한 것을 잊었기 때문이다. 바로 확률양자화이다. 이는 근본적으로 고전역학과 차이점을 나타내게 하는 요소이므로 항상 배경지식에 있어야 한다. 기억의 힌트를 남기자면 미시세계에서는 벽을 그대로 둔 채로 통과할 수 있다.


이런 오비탈은 화학반응에서 아주 중요한 역할을 한다. 그러니 과정을 통해 알게 된 오비탈의 내면과 결과로 얻은 오비탈의 외면 모두 기억에 혹은 느낌에 새겨두자.



다전자 원자


우리는 전자가 1개인 수소를 살펴보았다. 그런데 전자가 2개 이상인 원자에서는 슈뢰딩거 방정식의 해와 조금의 차이를 보인다. 이는 전자 간의 상호작용(반발력)이 있기 때문이다. 그로 인해 핵과 전자 사이에 인력도 줄어들어 핵의 유효 전하량이 줄어든다.(가리움 효과, screening effect) 따라서 앞서 살펴본 수소와 다른 슈뢰딩거 방정식 해가 필요하다. 하지만 슈뢰딩거 방정식으로는 한계가 있다. 즉, 수소(1 전자) 계처럼 정확한 해를 얻을 수 없다. 그리하여 오비탈 근사 법을 사용한다.


그중에 SFC(self-consisdent field, 자체 일관성 장)법이 있다. 간단히 설명하면 전자 간의 상호작용이 없다고 가정한 후, 파동 함수를 구하여 평균 전자밀도를 추측, 이를 이용하여 유효 퍼텐셜을 구하여 파동 함수와 에너지를 구한다.


이 과정은 한 번만 하는 것이 아니다. 추측한 값은 전자 간 상호작용이 없기 때문이다. 추측한 파동 함수로 전자 간의 반발력을 추측하여 개선된 파동 함수를 구하고 이 파동 함수로 다시 과정을 반복하여 전 반복 과정의 파동 함수와 오차범위의 차이로 거의 같은 함수로 수렴할 때 self-consisdent field을 이룬다고 한다. 그리하여 아주 많은 반복이 있기에 슈퍼 컴퓨터에 맞긴다.


아직도 근사법들이 연구되고 있으며, 실험값과 아주 비슷한 값을 얻을 수 있다. 그래서 완전히 맞지 않는다고 해서 의미가 없는 것은 아니다. 이와 유사한 계산으로 반응의 원인을 파악하고 결과를 예측하고 있다. 실제로 반응을 발견하고 이를 계산으로 이론적인 원인을 찾은 후, 반응을 발전시키거나 다른 분야로 확장하여 응용하고 있다.


슈퍼 컴퓨터를 능가하는 양자 컴퓨터도 개발 중이고 알파고 같은 AI도 있으니 언젠가 정확한 다전자 오비탈을 얻을 수 있지 않을까? 또는 슈뢰딩거 같은 천재들의 지성으로 다시 슈뢰딩거 방정식과 같은 한 줄의 식으로 세상을 표현하는 날이 올 수 있지 않을까?


양자 터널 효과(tunnel effect), 터널링(tunneling)


앞서 1차원 상자 속 입자에서 에너지 장벽을 무한대로 설정한 이유가 있다. 그 이유는 장벽 퍼텐셜 에너지보다 입자의 운동에너지가 더 작더라도 상자의 외부에서 입자가 발견되기 때문이다. 이를 양자 터널 효과라고 한다. 이는 파동성을 가지고 있기 때문이다.


거시 세계의 사람을 살펴보자. 사람이 벽을 넘기 위해서는 벽의 높이만큼 뛰어올라야 한다. 그러기 위해서는 벽의 높이보다 더 강한 힘, 빠른 속도가 있어야만 벽을 넘을 수 있다. 위치에너지보다 운동에너지가 커야지만 중력을 이기고 벽의 높이보다 높게 존재할 수 있기 때문이다.


하지만 미시 세계의 입자는 언덕의 높이보다 작은 운동에너지로도 가능하다는 것이 양자 터널 효과이다. 즉, 거시 세계 기준으로 말한다면 벽을 넘는 것이 아니라 통과했다는 의미가 맞을 것이다.

그림 13. 터널 효과

이도 슈뢰딩거 방정식을 통해 계산이 가능하다. 어려운 수학을 거쳐야 하므로 자세한 수식 설명은 생략하겠다. 하지만 이제는 수식 없이도 의미를 알 수 있을 것이다. 그렇다, 상자 외부에 존재할 확률이 있다는 것이다. 이는 차후에 알아볼 분자 활동에도 나타나게 되고, 더 나아가 반응에도 영향을 주게 된다.



방정식과 인생 선배들이 남긴 말


우리는 간단히지만(어렵기도) 한 줄의 방정식을 3차원에서 표현하는 과정을 살펴보았다. 이 과정은 앞으로 화학반응에 근본적인 이해를 도울 것이다.


글의 시작점에서 언급했듯이 출발과 과정을 알면 결과를 알 수 있고, 그로 인해 다른 결과도 유추할 수 있다. 인생의 출발과 과정, 결과를 통해 그 사람에 대해 알 수 있듯이 말이다. 그렇게 알게 된 성향으로 다른 선택도 유추할 수 있게 된다. 그래서 사람들은 종종 '너는 그럴 줄 알았어', '너는 그런 선택을 할 줄 알았어', '너는 잘할 줄 알았어'와 같은 말을 하는 것이다.


또한 사람들은 '생은 선택의 연속이다'라는 말을 한다. 하지만 자세히 작게 뜯어본다면 선택 후, 자신이 어찌하지 못하는 흐름에 따라가고 그 흐름 끝에 결과를 얻게 된다. 그리고 그다음의 선택을 하고 과정을 거치고 결과를 얻기를 반복한다. 마치 방정식에 어떠한 숫자를 선택하여 넣은 다음 일정한 해를 얻듯이 말이다.


그렇다면 인생의 방정식을 안다면, 역산을 통해 원하는 해만을 얻을 수 있을 것이다. 그렇게만 된다면 인생 선배들이 '세상은 그리 만만치 않으며, 인생은 그리 단순하지 않다.'라는 말을 하지 않았을 것이다. 방정식을 정확히 안다는 것은 '세상이 돌아가는 과정이라는 진리를 얻었다'는 말과 같기 때문이다. 또한 그 방정식이 하나뿐이라는 법도 없으니 말이다.


하지만 다행히 '생은 그리 복잡하지 않다'라고 말을 하는 인생의 선배들도 있다. 그것은 우리가 복잡해 보이는 식에서 변하지 않는 수인 상수를 축약하여 간단한 문자로 표현하듯이, 자신이 조절할 수 없는 부분은 상수로 간단히 생각함으로써 자신이 조절할 수 있는 부분만을 변수로 남기어 방정식을 간단히 만든 것은 아닐까? 그렇게 함으로써 자신이 할 수 있는 곳에 집중하여 최대한 자신이 원하는 해를 얻어내는 방법을 찾은 것이 아닐까?



인생의 방정식 찾기


앞서 SCF법을 간단히 보았다. 방정식을 예측하고 수정을 진행하며 하나의 방정식에 도달할 때까지 반복한다. 사람의 선택과 비슷하지 않은가?


우리는 상황과 사람을 추측하고 판단하여 선택하고, 그 선택의 답으로 만족에 그치지 않고, 후회와 반성을 하면서 다음 선택에는 더 좋은 결과를 얻기 위해 노력한다. 그렇다, 우리는 살면서 방정식 또는 방정식을 다루는 방법을 조금씩 익혀간다.


그것이 경험이다. 방정식에 이러한 값도 넣어보고 저러한 값도 넣어보면서, 또는 방정식을 추측하고 추측한 방정식을 수정하면서 어떠한 해를 얻을 수 있는지 경험을 쌓아간다. 그 쌓인 경험은 정확한 방정식의 힌트가 되어가고 다음 선택에서 원하는 해를 얻는데 가장 중요한 역할을 해준다.


또한 파동 함수처럼 인생도 파동성을 가진다. 따라서 오르고 내려감을 반복한다. 그러니 오르고 내려감은 당연한 것이니 너무 마음을 뺏길 필요가 없다. 우리는 올라가는 것이 목표가 아니라 앞으로 나아가는데 목적이 있다.


그렇기에 이번에 원하는 해를 얻지 못했다고 해서 포기한 듯한 실패감을 가질 필요는 없다. 그것은 원하는 해를 얻기 위한 시행착오이며, 성공으로 가는 과정이기 때문이다. 그래서 인생의 선배들은 '실패는 성공의 어머니'라는 말을 전하였다.



인생의 정답


슈뢰딩거 방정식으로 세상의 근원인 원자를 표현했다고 하지만 가장 단순한 수소 원자만을 정확히 나타낼 수 있었다. 전자가 하나 더 늘었다고 해서 정확한 해를 얻을 수 없었다.


우리는 수소 원자보다 더 다전자 원자로 구성되며 다양한 원자들이 결합하여 더 다양한 분자들로 구성되어있다. 그런 존재가 혼자 살지 않고 여러 존재들과 공존하고 있다. 그러니 얼마나 많은 변수들이 존재하겠는가? 그렇다면 얼마나 많은 반복 과정을 거쳐야 정답에 가까워질 수 있겠는가?


모든 사람들은 미세하게, 미묘하게 다르다. 그러니 자신의 답은 자신이 찾아야 한다. 다른 이들이 찾아줄 수 없다. 남들이 벽은 부수거나 넘거나 돌아가는 방법밖에 없다고 하지만 벽을 통과하는 확률도 반드시 존재한다. 그러니 자신만의 방법으로 답을 향해 묵묵히 걷고, 뛰고, 쉬고를 반복하며 나아가자.


그리고 지금 반드시 정답을 찾을 필요가 없다는 것을 느꼈을 것이다. 정답이 아니더라도 분자의 운동과 반응을 예측할 수 있고, 발전, 응용시킬 수 있다. 인생도 크게 다르지 않다. 사람이 매번 원하는 정답만을 얻을 수 없다. 하지만 앞의 답으로, 근사한 답으로 다음 선택에서 더 나은 예측과 선택을 할 수 있고, 더 발전한 나로 나아갈 수 있다.


인생은 그렇게 지루하지만 반복되는 과정 속에서 웃고, 울고, 화내고, 즐기며 답을 향해 가는 것이 아닐까? 그래서 그 과정이라는 인생이 가치가 있는 것이 아닐까?



Chemistry And Life. 2021, 1, 30~35



Ref.


Raymond Chang, Physical Chemistry for the chemical and biological sciences』, University Science Books(2000), p581~600.

Clayden, Greeves, Warren and Worthers Organic chemistry, Oxford University Press(2001), p86~93

Gray L. Miessler, Donald A. Tarr Inorganic chemistry』, 김정, 김주창, 박영태, 이진규, 정진승, 최문근 공역, 자유아카데미(2005), p23~37




우선 많이 기다린 신 분들에게는 죄송하다는 말을 드리고 싶네요. 꼭 마감이 있는 건 아니지만 그래도 매주 글을 찾는 분들이 있으시니까요. 그리고 기다렸는데 다소 어려운 내용이라 죄송한 마음이 드는 건 어쩔 수 없네요. 그렇다고 그냥 넘어갈 수 있는 내용은 아니라서요. 화학에서 가장 기본이 되는 내용이랍니다. 어쩌면 세상의 기본이 될 수도 있고요.


그리고 슈뢰딩거가 10년이 넘어서까지 저를 괴롭힐지 몰랐네요. 그래서 학부 때 봤던 전공책에 의지해서 기억을 붙여봤어요. 덕분에 오래 걸렸지만 미적분도 다시 보고, 그 과정에서 가장 아름답다는 오일러 등식도 만나고, 교수님 설명을 이해하지 못하서 혼자서 공부하던 때도, 물리화학 실험실과 cowork했던 일도 떠올랐어요.


당시 반응을 발견하고 논문이 나오고 그 반응을 계산화학을 통해 이론적으로 증명하는 과정을 거쳐답니다. 그 과정에서 부족한 부분도 알게 되었고, 더 발전시킬 요소도 찾았지요. 화학은 이론이 실험으로 증명되고, 실험이 이론으로 증명되어, 서로를 끌어주며 나아가고 있어요. 그것을 직접 경험했지요. 정말 새롭고 좋은 경험이었어요.


또한 앞으로 계산화학이 제 글에서 등장할 일이 없을 거 같아요. 이제 어려운 수식은 등장할 일이 없다는 것이겠지요. 그래서 여러 가지 두려움을 각오하고 글로 옮겼습니다.


이렇게 이번 글이 저에게도 어렵기는 했으나 재밌고 좋은 경험이었어요. 그런데 독자분들은 어떨지 모르겠네요. 이유를 말씀드렸으나 걱정이 되는 건 어쩔 수 없네요. 혼자 보자고 적은 글이 아니니까요. 여러분도 무언가 가져가시는 게 있었으면 합니다. 재미까지 있으면 아주 좋구요. 1/3 정도를 다음 글로 넘겼는데도 많네요. 긴 글 읽어주시는 분들 항상 감사합니다. 그리고 오비탈을 그려준 동생에게도 '고마워~'


다음 주도 글을 올릴 수 있을지 모르겠네요. 저번 주 쉬어서 보여드리고 싶은 마음은 많으나 백신에, 서울에 일이 있어서 며칠 가봐야 하거든요. (지금도 백신 때문에 헤롱헤롱 합니다. 회복하면 글이 수정될지도......) 업로드가 어려울 경우 작가 소개란에 남기도록 하겠습니다. 모두 감기, 코로나 조심하시며 연말 잘 보내시길 바랍니다.

keyword
이전 09화원자와 사람 그리고 확률