brunch

원자와 자신의 본모습

쌓음 원리에 따른 원자 오비탈 전자 배치와 예외 그리고 이유

by 어린왕자 Jan 20. 2022

앞서 슈뢰딩거 방정식을 오비탈로 그려보았다. 이제 오비탈이 어떠한 형태를 가졌는지도 알게 되었다. 그렇다면 어떤 오비탈에 전자들이 위치할까?


오비탈은 전자의 파동함수이다. 하지만 전자 혼자서 만들어내는 것이 아니다. 핵과 상호작용으로 만들어진다. 그래서 오비탈은 일종의 공간으로 전자들이 오비탈에 '들어간다', '채운다', '배치된다' 등과 같은 표현을 사용한다. 그럼 우리가 글 속에서 자주 봐왔던 C(탄소)의 전자는 어떤 오비탈에 들어갈까?


사람은 안정된 생활을 원하는 사람도 있고, 재밌는 생활을 원하는 사람도 있다. 하지만 대체로 안정된 일상에서 재미를 찾는 사람들이 많을 것이다. 원자도 에너지가 안정한(stable) 상태로 존재하다가 에너지를 받아 재밌는(exciting) 상태가 된다. 따라서 원자도 일상은 안정한 상태를 유지한다. 이제 오비탈에 대한 지식으로 원자가 가장 안정한 상태의 전자 배치를 알아보자.



오비탈 쌓기

가장 우선 오비탈의 에너지 순으로 정리가 필요하다. 안정한 상태란 에너지가 가장 낮은 상태이기 때문이다. 이를 바닥상태(ground state)라고 하며 원자는 일반적으로 이 상태로 존재한다. 오비탈에서 가장 구별이 쉬운 방법으로, 에너지에 큰 영향을 주는 주양자수(principal quantum number)를 보면 된다. 주양자수가 낮을수록 에너지가 낮기 때문이다. 즉 1s < 2s < 3s 순으로 에너지가 높아진다.


수소 원자의 경우에는 주양자수가 같으면 에너지가 같다. (2s=2p) 하지만 다전자에서는 각 운동량 양자수(angular momentum quantum number)도 관련 있다. 2s 오비탈과 2p 오비탈을 비교하였을 때, 2s 오비탈이 핵과 더 가까이 위치할 수 있다. 그리하여 2p 오비탈의 전자는 2s 오비탈의 전자에 의해 핵과의 인력이 가려 막아지게 된다.(shielding, 가리움 효과(screenig effect)) 따라서 2p 오비탈의 전자가 2s 오비탈의 전자보다 에너지가 높다.


그림 1. 오비탈의 에너지 순서


그리하여 주양자수로 구분하여 각 운동량 양자수 차례로 그림 1과 같이 적어둔 상태에서 사선으로 에너지가 증가함을 알 수 있다. (1s < 2s < 2p < 3s < 3p < 4s < 3d < 4p < 5s < 4d...) 이에 따라 가리움 효과가 커져 주양자수가 크더라도 에너지가 더 낮은 경우도 발생한다. (4s < 3d)



전자 쌓기

에너지가 낮은 오비탈부터 전자를 채우면 가장 에너지가 낮은 바닥상태가 된다. 물을 부었을 때 낮은 곳부터 채워지는 것과 유사하다. 이렇게 낮은 에너지의 오비탈부터 채워지는 것을 쌓음 원리(Aufbau principle)라 한다.


그림 2. kelchkowsky의 규칙에 따른 오비탈 에너지 순서


여기서 앞서 설명한 부분을 쉽게 할 수 있는 방법이 있다. klechkowsky의 규칙으로 n+l(주양자수+각운동량수)값이 작은 순으로, n+l 값이 같을 경우에는 n값이 작은 오비탈부터 채우는 규칙이다. 이때 한 오비탈에는 스핀 양자수가 +1/2인 1개, -1/2인 1개전자 두 개 이하만이 존재할 수 있다.(이후 설명할 파울의 배타 원리) 표기는 그림 3과 같이 위, 아래의 화살표로 한다.

그림 3. 한 오비탈에 스핀양자수 +1/2, -1/2 두 개만이 존재한다.


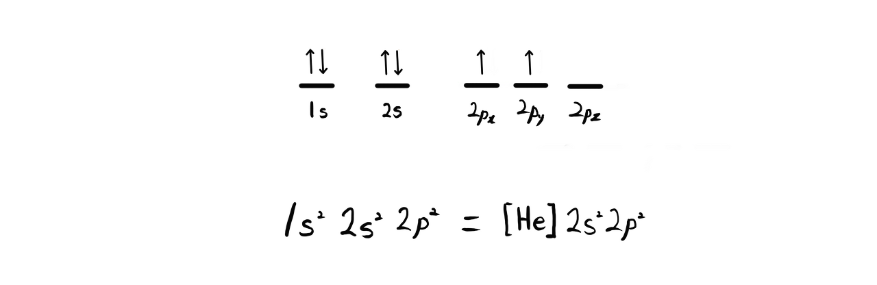
그럼 이 원리에 따라 탄소의 전자가 어떤 오비탈에 자리 잡고 있는지 알아보자. 탄소(C)는 전자를 6개 가지고 있다. 에너지가 낮은 오비탈부터 채워가면, 1s 오비탈에 두 개, 2s 오비탈에 두 개 , 2px 오비탈에 한 개, 2py 오비탈에 한 개가 위치하게 된다. 이를 그림 4로 표현해서 보면 쉽게 이해할 수 있다. 표기는 1s2 2s2 2p2(s,p는 이텔릭체로, 전자 개수는 윗 첨자로, 띄워쓰기 없이 표기, 그림 4에서 아래)로 한다. 이때 [He]은 1s2의 전자 배치를 가지므로 이와 같이 1s2를 대신 표현할 수 있다. 이후 오비탈이 점점 많아지면 표기가 아주 길어지는데 이를 이용하여 간단히 표기할 수 있다.(다음 글에서 알아볼 18족 원자를 [ 대괄호 ] 안에 표기한다.)


그림 4. 탄소(C)의 전자 배치와 표기



훈트의 규칙(Hund's rule)


여기서 하나의 p오비탈을 보면 두 개를 다 채우지 않고 하나씩 다른 p오비탈(px, py)에 전자가 들어간다. 이는 한 오비탈에 전자가 두 개 들어가면 전자 간의 coulombic 반발 에너지(coulombic energy of repulsion) πc만큼 서로 반발한다. 따라서 이 반발력을 줄이고자 다른 오비탈에 들어가는 것을 선호한다. 사람도 방을 혼자 쓰기를 선호하는 것과 비슷하다고 볼 수 있다. 그리하여 서로 간의 마찰을 최대한 줄이는 것이다.


그림 5. 전자 간의 반발 에너지


또한 px 오비탈과 py 오비탈의 전자가 스핀 양자수가 같은 것을 선호한다. 이는 같은 스핀의 경우 두 오비탈의 전자가 교환되어도 같은 배치가 된다. 이로서 더욱 에너지가 낮아지는데 이를 교환 에너지(exchange energy, πe)라고 한다.


이는 양자역학적인 성질이다. 이제는 그 말이 확률과 관련 있다는 것을 연결시킬 수 있을 것이다. 즉 한 전자가 px, py 두 오비탈에 존재할 확률을 가짐으로써 상대적으로 안정화되는 것이다. 거시계의 설명으로는 정확하게 할 수 없지만 비유해본다면 (언제든지 옮길 수 있는) 방 두 개를 가지는 것 또는 두 개 크기의 방을 가지는 것과 유사한 효과이다. 따라서 교환 가능한 방법이 많을수록 에너지가 낮아진다.


그림 6. 교환 에너지 πc


그렇다면 s 오비탈의 전자는 왜 2개가 들어가는 것일까? 쉽게 예상했겠지만 전자 간의 반발력을 피해 전자가 p오비탈에 위치하는 것보다 s 오비탈에 2개가 같이 들어있는 것이 더 에너지가 낮기 때문이다. 왜냐면 s 오비탈과 p 오비탈의 차이가 πc보다 크기에 s 오비탈에 같이 존재하는 것이 더욱 에너지 측면에서 이득이기 때문이다. (p 오비탈 에너지 - s 오비탈 에너지 > πc )


2s 오비탈의 방이 이미 2px, 2py 오비탈을 합친 것보다 크기 때문이다. 반면 2px, 2py 오비탈은 같은 2p 오비탈로 축퇴되어 방 크기가 같다. 따라서 큰 방인 2s 오비탈을 먼저 차지하고 2px, 2py를 차지하는 것이다.


그림 7. 훈트 규칙에 따른 에너지 안정성


이와 같이 전자가 p 오비탈에 하나씩 나누어져 존재하는 것을 훈트 규칙이라 하며 가능한 최대의 전체 스핀을 갖도록 전자가 들어가는 것을 말한다. 짝짓지 않은 전자 수(홀 전자)에 1을 더한 값(n+1)을 다중도(multiplicity)라 하는데 훈트 규칙을 다르게 표현하면 (스핀)다중도가 높을 것을 선호한다고 말한다.



파울의 배타 원리(Pauli exclusion principle, 排他原理)


결국, 각각의 오비탈에 들어간 전자의 네 가지 양자수를 살펴보면 모든 양자수가 같은 전자는 없다. 이를 '파울의 배타 원리'라고 한다. 다른 말로 하면 '똑같은 파동함수를 가지는 전자는 없다'는 것이다.


조금 앞으로 돌아가 하나의 칸으로 설명한 오비탈에 스핀 양자수가 다른 두 개의 전자만이 존재할 수밖에 없는 것이다. 집마다 주소가 다르듯, 전자의 주소도 다르다. 즉, 집이 있는 곳에 또 집을 지을 수 없듯이 누군가가 있는 공간에 다른 이가 있을 수 없다.


그림 8. 탄소 전자의 각각의 양자수


*양자역학적인 원리로 '전자의 총 파동 함수(공간부와 스핀부)는 두 전자를 교환하면 그 부호가 반대(+ → -)로 바뀌어야 한다'( antisymemetric, 반대칭을 이루어야 한다)' 이는 페르미온(fermion)의 특징이다. 전자는 페르미온 중의 하나이다. 이를 오비탈에 적용하면 '양자수가 같은 전자는 있을 수 없다'는 사실이 된다.



- 예외


에너지가 낮은 오비탈부터 전자가 들어가지만 앞의 오비탈을 다 채우지 않고 다음으로 넘어가는 예외가 있다. d 오비탈과 f 오비탈이다. 3d 오비탈이 있는 Cr(Chromium, 크로뮴)의 경우 전자가 24개 이므로 [Ar]4s 2개 3d 4개이다. 하지만 [Ar]4s 1개 3d 5개가 된다. 4s 오비탈을 다 채우지 않고 다음 오비탈에 들어가는 것이다. 3d 오비탈에 있는 전자들은 에너지 차이는 없지만 ml값이 다른 오비탈(3dxy, 3dxz...)이므로 다른 공간에 분포한다. 따라서 가리움 효과가 작아 핵에 더 강하게 끌리게 된다. 그 결과, 가장 에너지가 낮은 상태가 된다.


또한 Cu(Copper, 구리)도 전자 배치가 4s 1개 3d 10개가 된다. 이것은 3d 오비탈을 가득 채움으로서 안정성을 갖게 된다. 이를 '반충원, 완전충원된 부껍질의 안정성(stability of half-filled and completely filled subshells)'이라 한다.


그림 9. Cr(크롬)과 Cu(구리)의 전자 배치



교환 에너지와 균일한 전자 분포


같은 스핀의 수는 교환 에너지(πc)만큼 안정해진다. d 오비탈의 5개의 동일한 스핀은 그만큼 안정성을 높여주는 것이다.


또한 s 오비탈의 경우 구형으로 이미 대칭성을 가지고 균일하게 분포되어 있다. 하지만 d 오비탈은 축에 따라 5개로 나누어져 있다. 즉, 전자 배치에 따라 대칭이 가능하기도 하지만 x축, y축, z 축에 한쪽으로 몰려서 비대칭 불균일 할 수 있다. 따라서 s 오비탈을 제외한 나머지 오비탈은 반만 채워지거나 완전히 채워지면 대칭을 이루어 상대적으로 안정화된다. 이도 앞서 훈트 규칙을 비유한 2개의 방을 동시에 가지는 것과 유사한 효과이다.



그림 10. s 오비탈 (왼쪽 위), 5가지중 3개의 d 오비탈



그렇다면 앞의 원소들은 위와 같은 현상이 없을까? 그 답은 교환 에너지(πc)를 알아볼 때 이미 나와있다. 4s 오비탈과 3d 오비탈의 에너지 차이가 부껍질의 안정성으로 얻는 효과에 의해 역전될 만큼 작기 때문에 가능하다.


앞으로도 균일한 전자 분포는 원자, 분자의 에너지 안정성을 높여주는 중요한 요소이므로 꼭 기억해두자. 들쑥날쑥한 그림은 마음의 요동을 일으키지만 균일한 그림은 편안함을 주는 것과 비슷하다.



예외를 따르지 않는 예외


같은 이유로 Cr과 Cu처럼 전자 배치를 가지는 원소가 많다.(s 오비탈을 채우지 않고, d, f 오비탈을 우선 채움) 하지만 이 이유에 적용되지 않는 전자 배치를 가지는 원자도 있다.


처음으로 돌아가 보자. 원자는 낮은 에너지 상태를 선호한다. 그러기 위해 낮은 에너지의 오비탈 순으로 전자가 들어간다. 그리고 이 에너지에 영향을 주는 것은 핵의 인력과 전자 간의 반발력이다.


원자 번호가 작을 때는 양성자와 중성자, 전자의 수가 적기에 n+l이 잘 지켜진다. 하지만 원자 번호가 커질수록 양성자와 중성자 숫자는 늘어나고 그에 따라 핵전하(인력)는 커진다. 또한 전자의 수도 늘어남에 따라 상호작용 할 수 있는 전자도 늘어나고 에너지도 늘어난다. 이때 모든 전자가 동일한 반발력을 작용하는 것이 아니다. 전자와의 거리에 따라 반발력이 다르게 적용된다. 교환 에너지나 전자 분포도 변수에 넣어야 한다. 그렇기에 원자 번호가 큰 원자에는 n+l이 지켜지지 않는다.


이를 계산하고 예측하는 방법도 연구되고 있다. 그중에 하나가 앞선 글에서 보았던 SFC법이다. 4s 대신 3d 오비탈을 채우는 이유도 다양한 측면에서 설명되고 있다. Slater 규칙과 rich periodic correlation도 그중 하나이다. 이는 전이 금속(transition metal)을 이야기할 때 자세히 알아보자.



낮은 곳에서부터 차곡차곡


전자는 낮은 에너지의 오비탈부터 자리를 잡는다. 원자의 구성 성분인 전자가 낮은 에너지 상태가 되어 원자도 에너지가 낮은 상태를 얻을 수 있고, 원하던 안정한 상태가 된다. 사람도 안정한 삶을 원한다. 때론 재밌는 일도 있어야겠지만 많은 시간은 안정한 상태를 선호한다. 안정한 삶을 얻는 방법 중 전자가 선택한 방법도 좋은 방법 중 하나이다. 자신의 능력을, 성과를, 마음을 아래부터 차곡차곡 쌓아가는 방법 말이다.


그래서 오비탈을 에너지 순으로 나열하듯이, 우리에게도 정리가 필요하다. 무엇이 필요한 것인지, 무엇을 해야 하는지 고민하고 차례를 정해야 한다. 나아가 그것들을 얻기 위한 단계도 생각해야 한다. 그렇게 정리하고 정해놓은 길을 조금씩 걸어가며 이룬 것들을 차곡차곡 쌓아가다 보면 원하는 자신이 될 수 있다.


하지만 몸이 먼저 자리기도 하고, 마음이 먼저 자라기도 한다. 또한 필요한 경험과 능력이 원할 때 얻어지는 것도 아니다. 모든 것이 때가 있다고 말하지만 내가 원할 때 때를 맞춰오는 것이 아니다. 그렇게 인생에서 필요한 것들이 차례대로 얻어지는 것이 아니다. 그에 따라 고민하고 방황도 하기에 생이 어렵다고 말한다.


다만 그때그때 얻었던 것을 구분하여 차곡차곡 쌓아두고 어느 곳에 두었는지 알고 있다면 쉽게 찾아 언제든지 활용할 수 있다. 또한 그것들을 찾는데 불필요한 에너지 소모도 없을 것이다. 그렇게 자신을 아는 것이 중요하다.


어느 오비탈에 전자가 존재하는지 아는 것이 차후 반응에 예측이 쉽듯이 자신이 어떤 사람인지, 어떠한 감정을 가지고 행동하는지, 어떤 것을 선호하는지, 어떤 것을 잘하는지 알고, 어떤 경험들과 능력들을 활용해야 하는지 안다면 생에서 모든 일들이 보다 쉽고 원하는 방향으로 나아갈 수 있을 것이다.



전자 배치의 중요성


원자들을 구분하는 기준은 양성자의 수이다. 양성자가 1개이면 수소(H), 2개이면 He(헬륨)이 된다. 그렇다면 전자는 왜 중요할까?


우리는 원자가 다르면 다른 반응을 보인다는 것을 알고 있다. 반응이란 원자의 전자를 주고받는 것이다. 그렇기에 원자의 종류에 따라 전자 수가 다르고 그에 따라 전자의 오비탈이 다르기 때문에 반응은 달라진다. 따라서 반응하는 원자와 그 원자들의 전자를 알아야 하는 것이다. 결국 가장 본래의 모습인 전자의 바닥상태를 알아야 반응을 예측할 수 있다.


사람들은 종종 사람 간의 chemi가 중요하다고 한다. 사람도 마찬가지로 다른 사람과의 관계성이 중요하다. 사람은 서로 상호작용하며 살기 때문이다. 따라서 사람의 관계성을 이해하기 위해서는 원자처럼 자신과 타인을 이해하는 것이 중요하다.


그것을 위해 가장 가까운 존재인 자신을 아는 것이 먼저이다. 많은 타인들을 알기 전에 자신이 무슨 원자인지 알아야 어떤 원자와 결합이 가능한지, 반응이 가능한지, 어떠한 과정을 거쳐야 하는지 알 수 있다. 타인이란 대상은 바뀌지만 자신이라는 대상은 바뀌지 않기 때문이다.



안정한 상태를 기억하자


바닥상태, 안정한 상태는 일상에서 가장 많은 시간을 유지하고 있는 모습이다. 그렇기에 원자의 본모습이다. 사람 또한 일상에서 가장 많이 유지하는 상태로 자신의 모습을 나타낸다고 할 수 있다.


전자는 에너지를 받으면 다른 오비탈로 이동하게 된다. 원자는 가장 안정한 바닥상태에서 벗어나게 되는 것이다. 물론 에너지가 있어야 반응을 하지만 너무 과한 에너지는 원하는 반응이 아닌 다른 반응을 이끌게 된다.


사람 또한 적당한 에너지를 받으면 생활에 도움이 되지만 너무나 큰 에너지를 받으면 마음이 뜨게 되고 안정한 상태에서 벗어난다. 이로 인해 자신의 능력, 감정, 경험들이 어디에 있는지 놓치게 되고, 이내 자신을 100% 제대로 쓰지 못하게 된다. 이를 사람들은 '자신을 놓치다'라고 말한다. 그렇게 자신이 자신이 아니게 된다.


자신을 놓친 사람들은 자신을 조절할 수가 없다. 조절할 수 없는 자신은 원하는 곳이 아니라 알지 못하는 곳으로 데려다 놓는다. 그렇기에 자신이 어떤 사람인지 알고 그런 상태로 되돌릴 수 있는 것이 중요하다. 그래서 안정한 상태를 알고 기억해야 한다.



단순함이 모여 복잡함으로


원자가 커질수록 변수는 많아지고 복잡해져 일정한 규칙에서 벗어나는 존재가 생겨난다. 원자의 구성은 양성자, 중성자, 전자로서 단 3가지로 구성되어 있다. 이렇게 단순해 보이는 구성요소는 개수와 배열로 많은 차이점을 만들어내고 복잡해 보이는 세상을 이루고 있다. 그 세상 중에 '나'라는 존재도 있다.


그러니 '나'라는 존재는 생각보다 그리 단순하지 않다. 따라서 나를 아는 것도 앞서 말처럼 쉽지 않다. 그렇기에 오랜 시간이 걸린다. 그에 비해 아주 작은 전자는 빠른 시간 내에 안정한 상태로 돌아간다. 하지만 크게 생각해보자. 우리보다 아주 큰 우주의 시간에 비한다면 어떠할까? 인간도 전자도 큰 차이가 없지 않을까? 우주 입장에서는 인생의 시간이란 전자의 시간과 같을지도 모른다. 그러니 아직 자신을 모른다고 조바심 내지 말자. 생은 자신을 알아가는 과정이기도 하니까.


우리는 자신을 얼마나 알고 있는가?


Chemistry And Life. 2022, 1, 1~3



Ref.


Raymond Chang, Physical Chemistry for the chemical and biological sciences』, University Science Books(2000), p601~605

Clayden, Greeves, Warren and Worthers Organic chemistry, Oxford University Press(2001), p87~89

Gray L. Miessler, Donald A. Tarr Inorganic chemistry』, 김정, 김주창, 박영태, 이진규, 정진승, 최문근 공역, 자유아카데미(2005), p37~47

Raymond Chang, Essential chemistry』, 화학교재편찬위원회 공역, 청문각(2002), p187~197




정말 오랜만에 글을 보여드리네요. 3주 만에 업로드하는 건 여행 글을 마치고 휴재한 이후 처음인 거 같네요. 프로필에 남긴대로 바쁜 일도 있었지만 계속해서 잔병치레를 했답니다. 그래서 체력이 떨어진 건지 어제부터 감기 기운이 있네요. 그러니 봐주세요^^


글과 삽화 작업이 90% 이상 마쳤지만 너무 길어져서 반으로 나누었습니다. 나누는 과정도 생각보다 쉽지 않네요. 글의 흐름이 끊기게 되니까요. 특히 뒤에 붙이는 사설은 새로 써야만 했답니다. 뒤에 내용이 화학적으로도 연결되기에 사설도 연결되니까요. 그 이틀을 보냈는데 몸 상태가 영 별로입니다. 특히 집중력이 떨어져서 글 쓰는 시간이 길어지고 그럼 체력도 빠지고 점점..... 그래도 더 이상 미룰 수 없어 조금 버닝을 해보았습니다.


그래서 '무리한 감이 글에 남겨지지 않을까' 걱정이 됩니다. 올리기 전에는 쓰는 걱정, 올리고 나면 안 좋을까 봐 걱정이네요. 아무튼 뒤 글도 사설만 적으면 되니 다음 주에 연달아 올리도록 하겠습니다. 주말 푹 쉬어 안정한 상태를 꼭 회복하겠습니다!!


글만은 재밌는 글이 되길 바라며 늘 찾아주시는 분들 감사합니다. 그럼 다음 주에 뵙겠습니다~~!

keyword
이전 10화작은 세계를 방정식으로 그리다.