brunch

너와 내가 섞여있는 세상

오비탈의 혼성화와 혼성 오비탈

by 어린왕자

화학과에서 조별 과제는 거의 없다. 몇몇 이유가 있지만 무엇보다도 공부할 양이 많기에 진도가 가장 우선이다. (다 못 끝내면 보강을 한다. 급하면 주말도 한다. 그래서 정말 효율적으로 빠듯하게 강의하신다.) 그래서 교수님과 선배들은 신입생에게 과 이외에 활동은 하지 않는 것을 권한다. 따라서 학과 행사 외에는 딱히 같이 할 일이 없어 보인다. 거기다 화학과에는 내향적인 사람들이 조금 더 많다. 그래서 각자 따로 행동할 거 같지만 또 그건 아니다.


오히려 빠듯한 환경으로 전공만 듣게 되니 강의실에서 내내 보게 된다. 대학 전의 교실 생활과 비슷한 면이 많다. 그런 내향적인 사람들이 화학이라는 하나의 관심사를 가진 20대 또래라 의외로 단체로 잘 움직인다. 앞서 이야기했듯이 과제도 나누어서 같이하고 공부도 모여서 한다. 막히는 부분이 있으면 동기에게, 선배에게 물어가면서 한다. 반대로 같은 이유로 화학에 관심이 없다면 조금 같이 지내기 힘든 과이다. 왜냐면 자신과 다른 특이한 무리로 보이기 때문이다.


또 다른 TMI로는 보통, 이과(문과의 반대)가 아닌 이상 자대(자연대)와 공대(공학대)를 구분하지 않는다. 그래서 일반적으로 이쪽 분위기로 알려진 공대 문화와 비슷할 거라 생각하는데 사실 많이 다르다. 자대의 경우 자유로운 편이다. 선후배 문화도 강하지 않기에 선배라는 호칭보다 형, 누나, 오빠, 언니가 훨씬 익숙하다.


환경도 있겠지만 화학도 한 명, 한 명이 그러한 성향이 있다. 조금 자유롭고, 호기심도 많고, 관심사에 깊게 빠지는 편이다. 남녀 비율이 5:5인 것도 여러 이유 중 하나다.(라떼는 공대는 남자가 압도적으로 많고, 자대는 남녀가 비슷하지만 물리는 남자가, 생물은 여자가 많았다. 화학과만 딱 반반이다.)


이러한 환경에서 저러한 사람들이 그러한 화학과를 이루고 있다.



VBT가 안 맞는데?


앞글에서 이야기하였던 VBT(Valence Bond Theory)를 통해 C(탄소) 화합물의 결합을 알아보자. C의 전자 배치는 1s2, 2s2, 2p2이다. 여기서 p오비탈에 반만 채워져 있는 오비탈은 2px, 2py 두 곳이다. VBT에 따르면 전자 하나만 존재하는 오비탈만이 겹침(중첩)되므로 이 두 오비탈만이 결합이 가능하다. 그러나 우리가 알다시피 탄소는 4개의 원자까지 결합이 가능하다.

KakaoTalk_20220614_161804143.png 그림 1. methane의 C와 원자의 C


또 한 가지, 탄소에 4개의 수소가 결합하면 결합각은 109.5°이다. 하지만 3개의 p 오비탈은 서로 직교해있다. 즉 90°이다. 따라서 Cs오비탈과 p오비탈이 원상태 그대로 결합하지 않는다는 것을 추측할 수 있다.



Hybrid obital(혼성 오비탈)


단순히 octet(옥텟)만을 생각한다면 원자가 전자가 4개이므로 8-4=4이다. 따라서 전자 4개가 더 결합하면 안정될 수 있다. 그런데 우리는 앞서 결합은 오비탈의 겹침(중첩)이라고 하였다. 그렇다면 4개의 오비탈이 다른 원자의 오비탈과 겹치기 위해서는 4개의 오비탈(2s, 2px, 2py, 2pz 오비탈)이 모두 결합에 참여해야 한다. 쉽게 생각해서 기존 C의 전자 배치에서 2s오비탈의 전자 하나가 비어있는 2pz오비탈에 들어가면 쌍을 짓지 않는 전자(unpair electron, 반만 채워진 오비탈)가 4개가 된다. 이 가정이라면 하나의 문제점이 해결된다.

KakaoTalk_20220613_201933616.png 그림 2. C 전자의 이동

하지만 또다시 다른 문제가 발생한다. CH(수소) 4개가 결합한 methane(CH4, 메테인)의 4개의 σ-bond(시그마 결합)는 동일하다. '당연히 동일해야 하는 게 아닐까?'라는 막연한 생각이 들겠지만 만약 앞의 가정대로라면 달라야 한다.


우리는 오비탈의 전자 배치에서 오비탈의 에너지 차이(오비탈 쌓기 part)가 있다는 것을 알았다. 그리하여 에너지 레벨이 낮은 순으로 전자는 채워져 갔다. 즉, 2s오비탈과 2p오비탈의 에너지 레벨이 다르다. 또한 오비탈의 형태가 다르다. 그렇기에 2s오비탈의 σ-bond와 2p오비탈의 σ-bond는 달라야 하는 것은 아닐까?

KakaoTalk_20220614_161920337.png 그림 3. s 오비탈과 p 오비탈은 다르다


이 문제를 해결하는 방법이 바로 혼성 오비탈이다. s 오비탈과 p 오비탈이 혼합되어 에너지 레벨이 축퇴된 sp 혼성 오비탈이 생성되고 이내 수소 원자와 결합하여 모두 동일한 σ-bond를 형성하는 것이다. 이와 같이 s오비탈과 p오비탈이 혼합되는 것을 오비탈을 Hybridization(혼성화)한다고 하며, 생성된 오비탈을 Hybrid obital(혼성 오비탈)이라 한다.



혼성 오비탈의 종류

C에 결합이 4개만 가능하지만 반드시 4개의 원자가 결합하는 것은 아니다. triple bond(삼중결합)까지 가능하기에 2~4개의 원자가 결합 가능하다. 이때 각각의 혼성 오비탈은 조금씩 다르다. 탄화수소 화합물인 methane(CH4메테인), ethlyene(C2H4, 에틸렌), acetylene(C2H2, 아세틸렌)으로 혼성 오비탈을 좀 더 알아보자.


2s, 2px, 2py, 2pz오비탈이 혼성화되면 sp3(숫자는 윗 첨자로 표기) 혼성 오비탈이 된다. 표기 그대로 1개의 s 오비탈과 3개의 p 오비탈이 혼성되어 있다는 뜻이다. 4개의 오비탈이 혼성화되었으니 4개의 혼성 오비탈이 생성된다. 모두 합쳐져 하나가 되는 것은 아니다. 파울의 배타원리를 기억한다면 쉽게 알 수 있을 것이다. 그림과 같이 전자 배치를 보면 더 쉽게 다가온다. 이대로 빈자리에 수소의 1s오비탈의 전자와 결합하면 methane이 된다.

KakaoTalk_20220614_162404093.png 그림 4. C 오비탈 혼성화


마찬가지로 2s, 2px, 2py오비탈이 혼성화되면 sp2 혼성 오비탈이 되고, 2s, 2px 오비탈이 혼성화되면 sp 혼성 오비탈(x, y, z는 방향을 뜻한다)이 된다. sp3 혼성 오비탈과 같이 혼성화된 오비탈의 수만큼 혼성 오비탈이 형성된다. 혼성화되지 않은 오비탈은 p오비탈 그대로 남는다.



혼성 오비탈의 형태


혼성 오비탈을 자세히 살펴보면 형태는 s오비탈과 p 오비탈을 섞어 놓은 듯한 모습을 가진다. p 오비탈처럼 두 개의 로브로 가운데가 마디로 비어있다. 하지만 두 로브는 크기가 확연히 다르다.


KakaoTalk_20220613_201500012.png 그림 5. 혼성 오비탈


이러한 형태를 가진 혼성 오비탈이 마디를 중심으로 sp3 혼성 오비탈은 109.5° 간격으로, sp2 혼성 오비탈은 120° 간격으로, sp 혼성 오비탈은 180° 간격을 이루며 겹쳐진다. 그리고 큰 로브에 다른 원소와 결합한다.


KakaoTalk_20220613_201512921.png 그림 6. sp3 혼성 오비탈
KakaoTalk_20220613_202007568.png 그림 7. sp2 혼성 오비탈
KakaoTalk_20220613_201431185.png 그림 8. sp 혼성 오비탈


그럼 혼성화되지 않고 남은 오비탈은 무엇을 할까? 우리는 앞 글에서 σ-bond과 π-bond(파이 결합)을 알아보았다. 이 둘의 차이는 결합의 방향성임을 이야기하였다. 이를 다시 떠올리며 살펴보자.


sp2 혼성 오비탈은 2px, 2py오비탈이 혼성되므로 2pz와 직교하여 위치한다. sp2 혼성 오비탈이 지면에 따라 납작하다면 2pz 오비탈은 그 지면 위아래로 튀어나오게 된다. 따라서 결합하려는 두 2pz 오비탈은 옆으로만 결합이 가능하다. 즉, 남은 p오비탈은 π-bond를 이룬다. 이중결합은 2pz로 하나, 삼중결합은 2py, 2pz로 두 개의 π-bond를 이루고, 마치 σ-bond를 감싸듯이 결합한다.

KakaoTalk_20220614_163535040.png 그림 9. p 오비탈 결합


KakaoTalk_20220613_201416198.png 그림 10. acetylene의 σ-bond와 π-bond



s 오비탈과 p 오비탈의 혼합


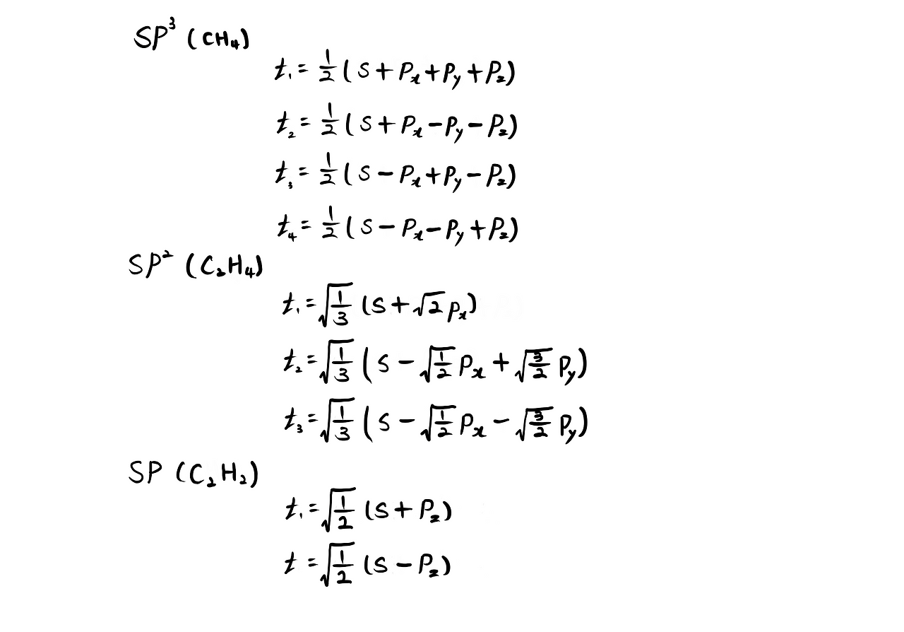
혼성 오비탈을 수학적으로 나타내면 식 1. 과 같다. t는 혼성 오비탈이고, 괄호 앞의 수는 정규화 상수(normalization constant)를, 부호는 오비탈의 방향을 나타낸다.


KakaoTalk_20220614_162755045.png 식 1. 혼성 오비탈


식에서 sp3 혼성 오비탈은 1/4 s 오비탈, 3/4 p 오비탈 성격을 가지며, sp2 혼성 오비탈은 1/3 s 오비탈, 2/3 p 오비탈, sp 혼성 오비탈은 1/2 s 오비탈, 1/2 p 오비탈의 성격을 가지는 것을 볼 수 있다. 즉, s 오비탈과 p 오비탈의 혼성 비에 따라 혼합된 성격이 나타난다.


이를 물리적으로 설명한다면 C에 H가 다가옴으로써 정전기적 상호작용(C와 H 간의 핵과 전자 간의 인력과 전자와 전자 간의 반발력)이 발생한다. 그로 인해 C의 오비탈이 왜곡된다(distorted). 따라서 s 오비탈과 p 오비탈은 온전한 특성을 잃고 부분적으로 s 오비탈과 유사하고, 부분적으로 p 오비탈과 유사한 오비탈을 형성한다.

혼성화를 통해 methane, ethlyene, acetylene의 결합각 및 형태와 같은 기하 구조를 설명할 수 있었다.

KakaoTalk_20220614_163535040.png 그림 11. 탄소 화합물 구조식과 기하 구조


정리해보면 s 오비탈과 p 오비탈이 혼성된 오비탈의 수만 큼 동등한 sp 혼성 오비탈을 형성하여 H의 s 오비탈과 σ-bond를 이루고, 혼성화 되지 않은 p 오비탈은 π-bond를 이룬다.



C 외 다른 원자들

C뿐만 아니라 다른 원자도 혼성 오비탈로 설명할 수 있다. N(질소)는 1s2, 2s2, 2p3의 전자 배치를 갖는다. 탄소와 마찬가지로 s 오비탈과 p 오비탈이 혼성화되면 sp3 혼성 오비탈을 형성한다. 다만 C보다 전자가 하나 더 있으므로 4개의 혼성 오비탈 중 하나의 혼성 오비탈은 전자가 두 개로 가득 차있다. 따라서 3개의 sp3 혼성 오비탈만 결합이 가능하다. 2개의 전자가 이미 차 있는 sp3 혼성 오비탈은 결합하지 못하므로 none bonding orbital(비결합 오비탈), lone pair electron(비결합 전자)이 된다.


KakaoTalk_20220613_201646271.png 그림 12. methane과 amonia 결합각


N에 H 3개가 결합한 분자가 NH3(암모니아)이다. 기하구조는 sp3 혼성 오비탈이므로 사면체 형태를 가진다. 하지만 비결합 전자로 인해 methane과 달리 정사면체가 아니다. 비결합 전자는 결합 전자에 비해 반발력이 강하다. 따라서 다른 전자를 더욱 강하게 밀어내어 비결합 전자와 결합 전자 간의 거리는 더 멀어지고, 결합 전자와 결합 전자 간의 거리는 가까워진다. 그 결과, 결합각이 109.5° 보다 작은 107.2°가 된다. 그로 인해 삼각뿔(Trigonal pyramid) 형태가 된다.



d오비탈의 혼성화

s, p 오비탈에 더해 d오비탈도 혼성화가 가능하다. 그리하여 dsp2, dsp3, d2sp3(숫자 모두 윗 첨자로 표기) 혼성 오비탈을 형성한다. 각각 사각형, 삼각 이중 피라미드(Trigonal bipyramid), 팔면체의 기하구조를 이룬다. 당연히 d 오비탈이 있으므로 금속의 결합이다.


KakaoTalk_20220613_201631347.png 그림 13. d 오비탈을 포함한 혼성 오비탈


혼성 오비탈은 VBT를 기본으로 발전시켜 결합을 쉽게 설명할 수 있는 이론이다. 그리하여 자기성과 비편재화를 설명하기 어려운 VBT의 단점, 한계를 같이 하고 있다. 그럼에도 결합과 기하학적 구조를 설명하는데 유용하여 여전히 많이 사용되고 있다.



VSEPR

기하 구조 예측을 위한 쉬운 이론이 있다. Valence Shell Electron Pair Repulsion (원자가 껍질 전자쌍 반발, VSEPR) 이론이다. 이는 루이스 구조에서 발전시킨 것으로 상대적으로 단순하며, 구조 예측을 쉽게 할 수 있다.


이름에서도 알 수 있듯이 원자가 전자쌍이 원자 내 다른 전자쌍과 최대한 거리를 두어 반발력을 최소화하는 형태를 가지게 하는데 근거를 두고 있다. 따라서 methane은 결합 쌍이 4개이므로 이들을 가장 멀리 배치하면 결합각이 109.5°를 이루는 정사면체 형태가 된다. formaldehyde(포름알데하이드)는 삼각 평면 구조를, carbon dioxide(이산화탄소)는 선형 구조를 나타내게 된다.

KakaoTalk_20220614_164553269.png 그림 14. 탄소 화합물 구조식, 기하 구조


이 이론에서도 암모니아(NH3)의 결합각을 설명할 수 있다. 공유 결합 전자쌍은 두 원자핵으로부터 인력을 받기 때문에 하나의 원자핵으로부터 인력을 받는 비공유 전자쌍보다 더 강하게 끌린다. 따라서 비결합 전자쌍 – 비결합 전자쌍 > 비결합 전자쌍 - 결합 전자쌍 > 결합 전자쌍 – 결합 전자쌍 순대로 반발력이 강하다. 그리하여 비공유 결합 쌍을 포함하고 있는 암모니아는 결합각이 109.5° 보다 작은 것이다. 물(H2O)도 마찬가지로 비공유 전자쌍을 두 개 가지고 있다. 그 결과, 물(H-O-H)의 결합각은 104.5°로 암모니아 결합각보다 더 작다.


KakaoTalk_20220614_182643157.png 그림 15. 물의 결합각과 전자쌍 반발력 크기


이 이론은 다중결합을 단일 결합으로 취급하므로 결합의 세기와 차이를 나타내기 어렵다. 그리고 전이금속 화합물 중에서는 이 이론으로 설명할 수 없는 화합물이 다수 있다. 하지만 많은 화합물이 혼성 오비탈과 같은 결과를 나타내고 쉽게 기하구조를 예측할 수 있어 많이 사용되고 있다.


성격이 남아있다

혼합되어 새로운 결합이 되어도 혼합된 구성물의 성질, 성격이 완전히 없어지는 것은 아니다. 일부의 성격은 이어져 새로운 생성물에 전해진다. 이는 오비탈도, 사람도 마찬가지다.


앞서 sp3, sp2, sp 혼성 오비탈의 차이는 p오비탈의 개수이다. 이로 인해 생성되는 오비탈의 수도 달라지지만 성격 또한 그 때문에 달라진다. 우리는 s오비탈과 p오비탈의 차이를 알고 있다. 그리고 sp3 혼성 오비탈은 1/4이 s 오비탈, 3/4이 p 오비탈이다. 이 둘만으로 이미 추측이 가능하다.


s 오비탈은 구형이고 p 오비탈은 두 개의 긴 로브(달걀, 아령) 형으로 s 오비탈의 비중이 높을수록 혼성 오비탈은 구형에 조금 더 가깝기에 다른 원자와 σ-bond 길이가 짧고 강하다. 에너지도 s 오비탈이 p 오비탈에 비해 작으므로 s오비탈의 비중이 높을수록 에너지는 낮게 된다.



집단은 개인의 모임이다

사람은 어떠한가? 연애를 하다 보면 혹은 결혼 생활을 하다 보면 서로 닮는다는 말을 듣기도 한다. 서로가 가까워지면서 서로의 모습이 비슷해진다는 말이지만 조금 더 생각해보면 서로의 모습이 새로운 관계에도 없어지는 것이 아니라 남아있는다는 말도 된다. 단지 나뿐 아니라 상대에게도 나타난다는 것이다. 그리하여 이러한 과정을 통해 점점 하나가 되어간다.


친구 때문에 나라면 쉽게 하지 않을 새로운 것을 경험하고, 취향을 존중함에 따라 많은 것들을 공유하게 된다. 심지어 회사도 마찬가지다. 다만 회사 전체를 따졌을 때 회사원 수가 천명, 만 명을 넘는다면 1/10000이므로 크게 티가 나지 않을 것이다. 하지만 그것도 작게 팀으로 본다면 자신의 성격이 팀에게도 나타난다.


회사는 일을 하는 곳이지만 결국 그 일을 하는 것은 자신이다. 아무리 회사에 맞춘다고 해도 자신의 습관과 처리과정이 일에 적용될 수밖에 없다. 그리하여 팀에 변화나 발전을 줄 수 있다. 물론 반대도 가능하다. 그 변화가 이점이 되기도, 단점이 되기도 한다. H가 다가와 C의 s 오비탈과 p 오비탈이 변하여 결합하듯이, 변화하지 않는다면 발전과 외부의 변화에 대처할 수 없다. 만약 자신의 방법이 방해가 된다면 그것을 바꾸면 된다. 그렇게 서로에게 영향을 주게 된다. 또한 회사만을 위해서만이 아니라 자신을 위해서도 변화가 필요하다. 단순한 반복과 회사의 지침만을 따른다면 자신의 책상, 그 자리에서 더 나아갈 수 없기 때문이다.


물론 너무 자신만의 색을 짙게 해서도 안 된다. 자신만이 있는 곳이 아니다. 혼성 오비탈에서도 자신만을 드러내는 경우는 없다. 모두 일정 분량을 차지하며 그만큼의 영향을 미친다. 자신의 성격만 강요한다면 굳이 혼성될 필요가 없기 때문이다. 필요에 의해, 보다 안정한 결합을 위해 혼성되었다는 것을 잊어서는 안 된다.


너와 내가 우리를 만든다.


전체에서 자신이 너무 작다고 느껴질 때가 종종 있다. 냉정히 본다면 인류 전체 80억 중의 하나로 작을 수밖에 없다. 하지만 그것은 누구나 다 마찬가지다. 그리고 우주에서 보자면 셀 수 없이 많은 별 중 하나에 속해 있는 많은 행성 중에 하나에 사는 생명체일 뿐이다. 집을 우주로 한다면 우리는 먼지보다 작을 것이다. 그래도 없는 것이, 존재하지 않는 것은 아니다. 하나하나가 쌓여 셀 수 없이 많은 존재가 된다. 수많은 원자들이 모여 새로운 분자를 만들듯이 작은 하나가 있어야만 큰 하나가 되고, 무수히 많은 것이 된다.


그러니 하나도 소중한 구성원이다. 하지만 기준이 너무 크다면 지금은 자신의 세상을 조금 줄여보자. 한국으로, 학교로, 회사로, 가족이라는 세상으로 말이다. 아니면 자신에게 집중해보자. 자신도 많은 원자들이 모여 이루어진 것이다. 의미 없어 보이는 많은 각질도 내 피부를, 내 몸을 보호한다. 그러니 결코 의미 없는 이는 없다. 조금씩 자신과 다른 사람들에게 영향을 미치며, 그 영향은 또 다른 사람들에게 전해져 세상은 이루어진다. 그러니 혼성 오비탈처럼 우리의 성격은 큰 집단에도 그대로 배어 있다. 그렇기에 동물 중에서도 인류라는 특성이, 그 인류 안에서도 한국인이라는 특성이 있고, 또 그 안에서도 우리라는 특성이 드러나게 되는 것이다.


결국, 이러한 나와 저러한 네가 있기에 그러한 우리가 된다.



Chemistry And Life. 2022, 1, 10~12



Ref.


Raymond Chang, Physical Chemistry for the chemical and biological sciences』, University Science Books(2000), p623~628.

Clayden, Greeves, Warren and Worthers Organic chemistry, Oxford University Press(2001), 105~108



오비탈을 그릴려니 쉽지가 않네요. 완벽한 모양이 중요한 내용은 아니지만 대충 그렸다는 느낌이 든다면 자신에게 싫을 거 같아서요. 그리고 생각보다 그림이 많네요. 그래서 한 달에 한편이 목표인데 더 걸렸네요. 물론 개인적인 일도 있지만요. 앞의 글들을 모아 브런치 북으로 발행했었는데 그게 브런치 메인에 올라왔는지 조회수가 평소보다 많습니다. 그래서 더 빨리 다음 글을 올리고 싶었지만 그렇지 못했네요. 요즘 점점 글 쓰는 일로 먹고살면 더 자주 많이 글을 쓸 수 있을 텐데라는 생각이 듭니다. 일러스트 프로그램도 팍팍 사고 말이죠. 그러려면 우선 글을 더 잘 써야겠죠.^^


이론화학을 어서 끝내고 반응 쪽으로 넘어가고 싶은데. 오늘 이야기도 단순히 한다면 오비탈이 섞여 새로운 오비탈을 만든다 하면 끝나지만 이러면 '초록색에 검은 줄 있는 과일은 수박이다'와 다를 바가 없어요. 그렇게 되면 비슷한 내용을 구별하기도 어렵고 응용은 전혀 되지 않지요. 이 내용을 기초로 하여 다른 곳에 적용, 발전시켜야 하는데 연결이 되지 않는다면 단순한 정의나 단어의 뜻을 익히는데 그칠 테니까요. 그래서 좀 더 근본적으로 파고들다 보니 자꾸 길어지네요. 물론 덜어낸 것도 많습니다. 더 파고들고 싶으신 분들은 Bent's rule도 찾아보시면 도움이 되실 겁니다. 뭐, 그래도 학교 강의가 아니니 재미가 있어야 할 텐데 말이죠. 푸념은 여기까지. 잘 쓰는 건 제 몫이니 여러분은 재밌게 봐주세요. 자주 뵐 수 있도록 더 노력하겠습니다.


언제든 제 글을 찾아주시는 분들께 늘 감사합니다.

keyword
매거진의 이전글원자의 겹침과 사람의 거리