brunch

인생과 분자의 다양한 반응 결과

SN1, SN2 반응으로 인한 결과물의 특징, 다양한 반응 경로와 결과.

by 어린왕자

진학


대학원 진학이라는 큰 방향을 정했지만 아직 더 분기점이 남았고 그에 따라 선택도 남았다. 바로 세부 전공을 정해야 한다. 아마 모든 학문이 그렇듯이 학사에서 석사로, 석사에서 박사로 진학할수록 세분되고 깊어진다.


우선 화학을 크게 유기화학, 무기화학, 물리화학, 분석화학, 생화학으로 나뉜다. 하지만 여기에서 끝이 아니다. 다시 더 세부 전공으로 나뉜다. 그리고 그 분야를 연구하는 연구실과 교수님을 찾아야 한다. 반드시 원하는 연구실에 들어갈 수 있는 것은 아니지만, 그래도 마음 가는 분야를 연구해야 힘들다는 대학원 생활을 보다 재밌고 덜 힘들게 할 수 있지 않겠는가.


살면서 많은 분기점을 만나고 지난다. 그리고 때론 목표, 도착지로 가는 길이 외길이라고 생각하고 무작정 달렸으나, 더 많은 분기점을 만날 때가 종종 있다. 분자도 마찬가지로 단순하다고 생각했던 반응에 많은 분기점이 있고 그에 따라 다양한 종류의 결과물을 만들어 낸다. 인생의 결과가 다양한 것처럼 말이다.



분자의 3차원


그럼 단순하게 보였던 SN1, SN2 반응은 어떠할까? 앞서 SN1과 SN2 반응에서 경로만 다를 뿐 같은 결과물을 보였다. 그림 1만 봐서는 1 mol의 분자가 반응할 경우 100% 모두 똑같은 결과물이 만들어질 것 같다. 하지만 그것은 의외로 간단하지 않다. 그 이유는 2갈래로 갈리는 분기점이 하나 존재한다. 또한, 구조가 변형되는 다른 길이 생기기도 한다. 이번에도 그 이유를 알아보고 생각해 보자.


KakaoTalk_20210509_201931543.png 그림 1. SN1, SN2 메커니즘


늘 그렇듯 그림 1을 보며 다시 메커니즘을 상기해 보자. 그리고 어떤 단계에서 결과물이 달라지는지 고민해 보자. 답은 다들 예상했듯이 당연히 새로운 분자가 들어가는 단계, 즉 NuC 결합하는 단계이다. 이를 정확히 이해하려면 종이의 2차원으로 나타냈던 분자를 3차원으로 표현해야 한다.


분자를 3차원으로 표현하는 방법 중 하나로 wedge and dash structures (쇄기와 대시 구조)가 있다. 이 방법은 화면 앞쪽은 쇄기 실선을, 화면 뒤쪽은 쇄기 점선으로 표현한다.


KakaoTalk_20210718_194034659.png 그림 2. 쇄기와 대시 구조


4개의 원자와 연결된 C (탄소) 화합물은 2차원에서 사각형 형태로 표현되었지만 3차원으로 표현하면 사면체의 형태를 이룬다. 이러한 구조를 갖는 이유는 C와 결합한 원자들 간에 척력이 작용하여 원자 사이의 공간을 최대한 두기 위한 것이다. 이로 인해 척력이 가장 작은 먼 거리에 있을 때 가장 안정한 구조를 가진다. 사람도 서로간의 공간이 필요하고 그로 인해 스트레스가 줄어드는 것처럼 말이다.



SN1 반응의 특징 : enantisomer와 racemate


그럼 하나의 결합이 없는 C+은 어떠한 모습일까? 서로 최대한 공간을 가지는 형태는 360º를 3으로 나눈 120º만큼 거리를 두게 되어 삼각형 형태를 이루게 된다. 이후 이 상태의 C+을 향해 Nu-이 다가온다. 이때 C+ 화합물이 종이의 평면에 놓이게 된 상태에서 Nu-은 종이 앞쪽과 뒤쪽, 두 방향으로 들어올 수 있다. 그 결과, Nu-C+ 앞으로 결합한 화합물 하나와 뒤로 결합한 하나, 총 두 가지 종류의 화합물이 생성된다. 구성은 같으나 배열이 다른 화합물이 생성되는 것이다. 고작 Nu- 결합 방향이 다르다는 이유만으로도 말이다. 이를 3차원으로 나타내면 그림 3과 같다.


KakaoTalk_20210718_200024451.png 그림 3. SN1 enantisomer 생성 과정


여기서 C와 결합한 4개의 분자 중 하나라도 같은 것이 있다면 결합하는 방향에 상관없이 같은 화합물이 될 것이다. 하지만 4개의 분자 모두 다른 분자인 chiral molecular(이때, C를 chiral center라고 한다) 일 경우, SN1 반응 이후 생성된 두 결과물은 미묘하게 달라진다.


chiral은 손이란 뜻으로 결과물은 마치 같은 손이지만 왼손과 오른손처럼 생성된다. 이런 화합물을 Isomer라 하고 그중에도 거울상 이성질체 혹은 광학 이성질체, enantisomer 라 한다. 말 그대로 거울에 비친 듯이 형태를 이루고 있고 광학활성을 가지고 있으나 다른 편광을 가지고 있다. 하지만 밀도, 끓는점과 같이 물리적 화학적 성질은 동일하다.


여기서 잠깐, 그럼에도 불구하고 차이를 두는 이유는 무엇일까? 바로 몸속에서 활성이 다르기 때문이다. 생명체의 효소는 이 두 화합물을 구별하여 반응한다. 두 화합물을 구별하여 표기하는 방법으로 표준법인 R/S 법과 생화학과 생물학에서 주로 사용하는 L/D 법이 있으며, 아미노산은 L-form이며 당은 D-form이다. 그리하여 우리가 먹는 약도 반응하는 한쪽 form만을 구별하여 합성한다. 다른 form이 우리의 몸과 반응하지 않으면 상관없으나 반응할 경우 치료가 아니라 독약으로도 작용할 수 있기 때문이다. (실제로 큰 피해가 있었다.) 우리 몸은 이 차이를 구별할 만큼 미세하며 정교하다.


결국 SN1 반응에서 Nu-이 C+의 앞으로 50%, 뒤로 50% 결합되어 정확히 반반으로 이루어진 결과물이 생성된다. 이를 racemate라 한다.



SN1 반응의 특징 :rearrangement


SN1 반응의 갈림길은 여기에서 끝나지 않는다. 우리는 C 주위에 결합한 CH group이 많을수록 C+가 생성되기 쉬우므로 3차 C에서 SN1 반응이 일어날 확률이 높다고 하였다.


만약 그림 4의 출발물질과 같이 X가 2차 C에 결합되어 있고 C 옆에 3차 C이 결합되어 있다고 가정해 보자. Nu-이 SN2 반응을 일으킬 만큼 강하지 않는 상황에서는 2차 C에서 X가 떨어지며 C+가 되어 SN1 반응이 일어나야 한다.


하지만 2차 C이기에 반응 속도는 그리 빠르지 않을 테고 100% 반응이 일어나지 않는 경우도 있다. 이때, 3차 CC+가 된다면 SN1 반응이 더 쉽고 빠르게 일어지 않을까? 여기서 분자들은 이 소망을 현실로 이루어 줄 수 있다. 바로 3차 C의 H가 2차 C+으로 이동하여 3차 CC+가 된다. 이를 rearrangement(재배열)이라 한다.


이 상태에서 Nu-이 들어오게 되면 X가 결합된 CNu-가 결합하는 것이 아니라 그 옆의 3차 CNu-가 결합하게 되어 또 다른 화합물이 생성된다. 즉 2차 CNu-이 결합한 결과물 하나(그림 4의 ①)와 3차 CNu이 결합한 결과물 하나(그림 4의②)로, 두 가지의 결과물이 생성되는 것이다. 이 둘도 isomer이며 그중에 Stucture isomer이다.


KakaoTalk_20210718_202052679.png 그림 4. SN1 rearrangement


SN2 반응의 특징 : inversion


SN2 반응은 메커니즘처럼 SN1 반응보다 간단하다. Nu-C-X정반대 방향(180º)으로 들어가게 되는데 이는 비어있는 C-Xanti bonding orbital에 결합하기 위해서이다. obital이란 전자구름으로, 지금은 전자가 위치하는 공간이라고만 알아두자. 쉽게 말해 C-X결합에 의해 반대편에는 전자가 비어있게 되고 이렇게 텅 빈 공간으로 Nu-이 들어오는 것이다.


이를 완전히 이해하기 위해서는 orbital을 시작으로 HOMO와 LUMO의 개념까지 알아야 한다. 우리가 해왔던 것처럼 천천히 화학적 개념을 익혀가면 이후 쉽게 이해할 수 있는 시간이 다가온다. 아주 중요한 개념으로 그때 이야기하자. 왜냐면 확률이라는 화학적 개념이 없다면 정말 뜬구름 같은 이야기이다.


KakaoTalk_20210718_203032406.png 그림 5. SN2 inversion


본론으로 돌아와 쉽게 말해서 X의 180º 방향에서 Nu-C 향해 들어오게 되고 그로 인한 steric effet에 의해 나머지 결합된 분자들이 inversion(반전)이 일어나게 된다. 왜냐면 Nu-가 들어옴에 따라 C에 결합된 나머지 원자들과 가까워져 공간이 비좁아지게 되는데, 마침 반대편에 X가 빠져나가므로써 공간이 생기게 되어 그쪽으로 향하는 것이다. 결국 태풍이 부는 날 우산처럼 뒤집히게 된다.


따라서 SN2 반응을 통해서는 racemate도 없고 rearrangement도 없으므로 SN1 반응만큼 다양한 화합물이 나올 수 없다. 즉, inversion 된 하나의 화합물만 생성된다. Nu의 강한 힘으로 빠르게 진행되므로 SN1처럼 이곳, 저곳을 살피며 고민할 틈도 없이 하나의 길로 빠르게 진행되는 것이다.



Isomer


이렇게 재료는 같으나 경로에 따라, 조건에 따라 다양한 조합이 발생된다. 그 다양한 조합으로 다양한 배열, 구조를 가지게 되는데 이렇게 생성된 결과물을 isomer(이성질체)라고 한다. 이번에 두 가지 isomer에 대해 알았으니 나머지도 간단히 알아보자.


isomer에서 'iso'란 '같다, 동등하다'라는 의미를 가지는 어두로 앞서 말했듯이 형성하는 원자의 구성은 같으나 구조나 배열이 다른 화합물을 말한다. 즉, C3H8O은 C(탄소) 3개, H(수소) 8개, O(산소) 1개로 간단히 구성되어 있지만 어떻게 놓여 있느냐에 따라 물리적, 화학적 성질이 다른 물질이 된다. 이것을 실생활에서도 볼 수 있는데 DNA 염기 4가지의 다양한 배열만으로 다른 사람이 된다. (다만 enantisomer는 물리적, 화학적 성질이 같다)


KakaoTalk_20210718_203816504.png 그림 6. C3H8O isomer


Isomer 분류


이성질체를 분류하면 그림 7과 같다.

KakaoTalk_20210718_205520125.png 그림 7. isomer 분류


먼저 constitutional isomer(Stucture isomer)와 stereoisomer로 나뉜다. constitutional isomer는 앞서 예시에서 본 것과 같다. 즉, C3H8O에서 O의 위치가 어디에 있는가로 isomer가 된다. O가 없이 C와 H만으로 구성되어 있더라도 하나의 C에 몇 개의 C가 결합되어 있느냐에 따라서도 isomer가 된다. 이와 같은 차이가 어떠한 결과를 보여주는지 SN1, SN2 반응을 통해 알 수 있었다.


그리고 앞서 말한 enantisomer가 stereoisomer에 속한다. 그리고 stereoisomer에서 enantisomer를 제외한 나머지를 diastereomer라 한다. diastereomer는 거울상이 아닌 화합물이다. 그리고 여기에 이중결합이 있는 cis-trans isomer (geometric isomer)과 단일 결합으로 이루어진 comformer(rotamer)가 포함된다.



Diastereoisomer(Diasteromer)


Chiral center를 가지고 있다고 해서 모든 화합물이 거울상이 아니다. Chiral center가 2개가 있으면 그림 8과 같은 화합물의 종류를 가진다. 여기서 B는 심지어 chiral 분자도 아니다. 선을 중심으로 대칭되기 때문이다. 이와 같은 분자를 meso compound라 한다. 그리고 A와 C, A와 D가 diastereomer 관계로 거울상이 아닌 것이다. 그래서 enantisomer와 달리 물리적, 화학적 성질이 다르다. 참고로 chiral center가 n개 있다면 2^n 만큼 stereoisomer 개수를 가질 수 있다.


KakaoTalk_20210718_213033939.png 그림 8. Diastereoisomer와 meso compound


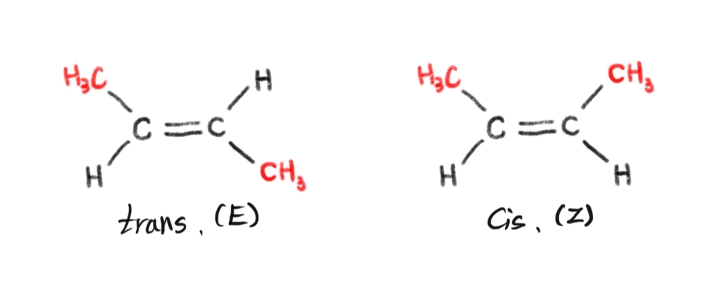
cis-trans isomer(geometric isomer)


cis-trans isomer는 이중결합으로 인해 회전이 불가능하다. 실 두 가닥을 양손에 잡고 돌리면 서로 꼬이듯이 말이다. 그래서 그림 9와 같이 원자 번호가 큰 분자가 같은 방향에 위치하면 cis 혹은 Z(zusammen), 반대 방향이면 trans 혹은 E(entgegen)가 된다. 여기서도 steric effect에 의해 trans가 cis에 비해 에너지가 낮아 안정하다.


KakaoTalk_20210718_213453242.png 그림 9. cis-trans isomer 예시


comformer


conformer은 말 그대로 형태가 다른 분자들이다. 단일 결합은 이중결합과 달리 회전이 가능한데 그에 따라 다양한 형태를 이루고 steric effect에 의해 에너지가 다르다. Cis- trans와 마찬가지로 큰 원자가 가까울수록 에너지가 높다. 쉽게 비유해 본다면 한 줄의 실이 뭉쳐져 꼬여있는 것보다 일자로 펴져 있는 것이 안정한 형태인 것이다.


KakaoTalk_20210718_215529920.png 그림 10. comformer 예시


또 다른 반응 경로 : Thermodynamic control


저번 글에서 반응속도에 대해 이야기하였다. 빠르고 적은 에너지로 갈 수 있는 경로에 대해서 말이다. 하지만 모든 반응은 속도에만 의존할까? 속도 한 가지에만 의존한다면 분자는 가장 빠른 속도를 내는 길만을 갈 것이고 하나의 반응은 하나의 경로만을 거쳐 하나의 결과물만을 만들 것이다. 우리는 오늘 하나의 반응에서 다양한 경로로, 같은 경로지만 다른 결과물을 생성한다는 것을 알았다. 그렇다면 속도가 아니라 다른 변수는 무엇일까? 그것은 에너지 상태이다.


KakaoTalk_20210719_000718844.png 그림 11. kinetic control과 Thermodynamic control


많은 사람들이 대체로 안전하고 편안한 삶을 추구한다. 그래서 빨리, 쉽게 가기보다는 더 안정된 목적지를 향해 가는 이도 있다. 분자도 주어진 조건에서 열역학적으로 안정된 상태가 되기를 원한다. 따라서 분자도 여러 목적지중에 이 길을 택하기도 한다. 속도에만 의존하는 경로가 아니라 속도가 느리더라도 더욱 안정된 상태가 되는 경로를 선택하고 그에 따른 결과물이 되기도 한다. 그것을 thermodynamic control이라 하고 속도에 의존하는 반응은 kinetic control이라 한다. 쉽게 말해 낮은 전이 상태로 인해 적은 에너지로 빠르게 진행하는 것을 kinetic control, 상대적으로 적은 에너지를 갖는 결과물을 생성하는 것을 thermodynamic control이라 한다.


그렇다면 이 경로는 왜 속도가 느릴까? 이유는 의외로 간단하다. Ea(활성화 에너지)가 상대적으로 크기 때문이다. 따라서 더 많은 에너지가 필요하므로 속도가 느리게 된다. 더 원하는 결과를 얻기 위해 더 많은 노력과 시간을 들인 것이다.


사람들은 20대에는 겁이 없다고 한다. 그리고 안정보다는 열정과 재미를 원하다고 한다. 나도 그랬다. 하지만 20대에는 즐겁지만 한편으로는 이유 없이 불안했다. 특히 대학 시절 더 그랬던 거 같다. 그래서 재미도 원했지만 늘 안정되고 싶었고 마음의 평화를 얻기를 원했다. 이것을 사람들은 욕심이라고 했다. 하지만 분자는 그들의 말과 다르다. 재미만을 위해, 안정만을 위해 빠르고 쉬운 길을 선택한다면 보다 안정된 결과물을 얻지 못한다. 오히려 더 많은 에너지, 더 많은 열정과 재미, 노력, 시간을 들여야만, 어려운 길을 가야만 보다 안정된 결과물을 얻을 수 있다.


또한, 앞서 kinetic control은 reversible(가역) 반응인 경우가 많다. 즉, 결과가 생각과 다를 경우, 되돌아갈 수 있다는 뜻이다. 하지만 thermodynamic control에 의한 경우 되돌아가지 못하는 경우가 훨씬 많다. 높은 에너지가 필요한 것뿐 아니라 이러한 위험 요소도 있다. 하지만 분자들은 더 안정된 분자가 되기 위해 시도하고 도전한다.



선택과 시도, 도전


아이러니하게도 살아온 시간이 길어질수록 안정을 원하지만 그 길이 위험요소가 많고 어려운 길이라면 선택하기 더욱 어렵다. 반대로 자신이 청춘이라는 에너지를 가지고 있다면 시도해 볼 수 있지 않을까? 되돌아가지 못한다는 위험요소도 있지만 한 방향으로 흐르는 시간에 지배받는 우리에게 되돌아간다는 선택지는 이미 없다. 그리고 시도하지 않는다면 결과도 없다. 물론 더 많은 에너지, 열정, 노력, 시간이 필요하다. 그렇지만 그 뒤에는 무엇보다 안정된 자신이 혹은 더 값진 것을 얻을 수 있는 목적지가 기다리고 있다.


그리고 하나의 부탁이 있다면 반드시 그 과정에 재미와 함께 가라. 재미가 없다면 안정이 아니라 열정과 시간, 노력에 자신의 에너지를 다 태워버려 에너지가 없어졌을 뿐인 상태가 된다. 그건 우리가 원하는 안정한 상태가 아니라 그냥 식어버린 상태이다. 하지만 재미와 함께 한다면 중간중간 가는 길이 즐거운 목적지가 될 것이고, 작은 목적을 이루거나 다시 도약이 필요할 때 쉬는 이유가 되어줄 것이며, 최종 목적지에 안정된 상태를 보다 즐길 수 있는 내가 있을 것이다.



다양한 결과


원하는 결과물을 향해 걸어갔지만 생각과 달리 rearrangement(재배열)나 inversion(반전) 같은 일도 일어나고 enantiomer처럼 50:50 도박 같은 미묘한 선택이 큰 차이의 결과로 다가올 수도 있다. 그렇게 생은 생각보다 많은 분기점과 선택이 존재한다. 또한 배열이 다르면 다른 화합물이 되듯, 일의 순서에 따라 일의 성공과 실패에 영향을 주며, 결과물이 달라지기도 한다.


화학반응의 경로가 다양한 듯, 결과물이 다양하듯 인생도 수만 가지가 존재한다. 아니, 이 지구의 인구만큼 다양한 생이 존재한다. 사람마다 조건이 다르고 원하는 바도 다르며 살아온 시간이 다르다. 그래서 속도에 의존해서 가는 방법이건, 에너지에 의존해서 가는 방법이건 길 끝은 정확히 알 수 없다. 다만 추측하여 갈 뿐이다.


길을 선택하고 걸어가는 자신만이 그 결과를 확인할 수 있다. 그러니 남보다는 자신만의 길을, 자신의 생을 걸어가자. 그리고 그 길 끝에 만난 결과물을 즐겨보자. 원하는 결과물을 만났다면 그것과 함께 자신의 선택에 즐거움과 행복을 얻을 것이며 설사 생각과 다른 결과물을 얻었을지라도 실망보다는 자신을 칭찬하자. 길을 걸어왔다는 것이, 결과물을 얻었다는 것만으로도 대단한 일이니깐 말이다. 그리고 또 다른 길을 걸어갈 수 있는 능력과 원하는 결과물을 찾을 수 있는 능력이 있다는 것의 증거, 증명이기 때문이다. 그리고 혹시 아는가 원하지 않던 그 결과물이 더 좋은 결과물일지.


때론 원하지 않던 결과물이 인생을, 세상을, 나를 바꾸기도 한다.



Chemistry And Life. 2021, 1, 12-14



Ref.



Clayden, Greeves, Warren and Worthers Organic chemistry, Oxford University Press(2001), p29, 328~331, 384~396, 420~423

Francis A. Carey organic chemistry』, 유기화학교재연구회 공역, 자유아카데미(2004), p305~334, 361~367, 374~376




저번 글을 끝내고 계획은 thermodynamic control과 enthalpy(엔탈피), entropy(엔트로피), gibbs free energy (깁스 프리 에너지)를 논하면서 자발적 반응에 대해 이야기하려 했어요. 물이 높은 곳에서 낮은 곳으로 흐르는 것처럼 반응이 자연적으로 일어나는 흐름을 이야기하려고요. 그리고 그에 따른 선택도 같이 이야기하고요. 그런데 저번 주에 이어 또 수식이 나오면서 어려운 분위기를 조장하고 SN1, SN2 반응과 멀어지는 거 같아 다시 쓰게 됐어요. 덕분에 1주일을 헤매면서 보냈지요. 결국 출발점으로 돌아와 SN1, SN2 반응의 특징을 설명하면서 분기점에 대해 이야기하기로 정했어요. 덕분에 1주일 만에 쓰느라 벅차네요. (혹시나 늦은 시간까지 기다리시다 잠드신 분들 죄송합니다. 어떻게든 오늘 안에 올렸지만 1~2시간 늦었네요.)


더욱이 SN 반응의 마지막이라 고민도 있었어요. 물론 기초적인 E 반응과 addition 반응도 남았고, 아직 많은 기초 개념이 남았기에 글은 한참 남았지만요. 명명법과 구조식을 그리는 것도 안 해서 여기까지 오는 설명이 쉽지 않았어요. 그래서 담주부터는 이름 짓기나 그리기 같은 것을 시작하려 해요. 한글 배우는 거랑 비슷한 면이 있어서 생각보다 쉽고 재밌을 거예요. 이번처럼 또 길이 달라질 수도 있겠지만 재밌고 지식이 있는 글을 전하겠다는 마음만은 달라지지 않을 겁니다.


마지막으로 다양한 길이 존재하는 만큼 답이 존재한다고 생각해요. 독자 여러분들은 그 답을 얻으실 거라 믿어요. 다만 어느 길을 걷든 우리가 걷는 길 위에 행복과 축복, 사랑이 있기를 작게 소망해 봅니다.

keyword
이전 05화반응의 속도 그리고 인생의 속도