brunch

분자 이름과 그대 이름의 의미

분자 명명법과 구조식 그리고 분자와 사람 이름의 의미

by 어린왕자

외모가 곧 이름


어릴 적 '늑대와의 춤을'이라는 영화로 아메리카 원주민의 이름 짓는 법을 알게 되었다. 백인 주인공이 원주민에 동화되는 이야기로 그 백인 주인공의 원주민식 이름이 Dances with Wolves(늑대와의 춤을)이다. 이유는 간단하다. 늑대와 춤을 추고 있었기 때문이다. 그 늑대의 이름은 White Socks(하얀 양말)이다. 늑대의 발이 하얀 발이기 때문이다. 너무나도 외관적인 이름이나 영화를 보면서 그 이름의 의미를 알 수 있었다.


어르신들이 하는 말 중에 '이름대로 산다'라는 말이 있다. 불리는 이름이 생에 영향을 준다는 뜻일 것이다. 또는 그만큼 이름이란 생에서 중요하다는 의미일 것이다.


그럼 분자는 어떨까? 아메리카 원주민식의 이름과 비슷하게 '생긴 대로 불려진다'라는 말이 맞을 거 같다. 그 이유는 생긴 외형이 이름이 되기 때문이다. 그래서 반대로 이름만 들어도 생긴 모습을 알 수 있다. 모르는 사람의 이름을 알아도 외모를 알 수는 없지만 모르는 분자는 이름을 알면 외모를 알 수 있다.


그럼 생긴 대로 이름 지어지는 분자의 이름 짓는 법이 궁금하지 않은가? 이 방법을 알고 나면 그림으로 지칭하거나 뭉뜨그려 말하는 어려움이 사라질 것이다. 양이 많으므로 원리를 따라 기본적인 내용만을 알아보자.


이름 짓는 법(명명법)에는 크게 두 가지 방법이 있다. 하나는 오래전부터 내려오는 관용명(trivial names), 또 다른 하나는 현대에 개발되고 정립된 IUPAC 명(IUPAC systematic nomenclature)이다. 그래서 다음과 같은 화합물의 이름이 두 가지이다.

KakaoTalk_20221024_183422980.png 그림 1. 화합물의 두 가지 이름 (관용명 위, IUPAC명 아래)



외계어? 그림?


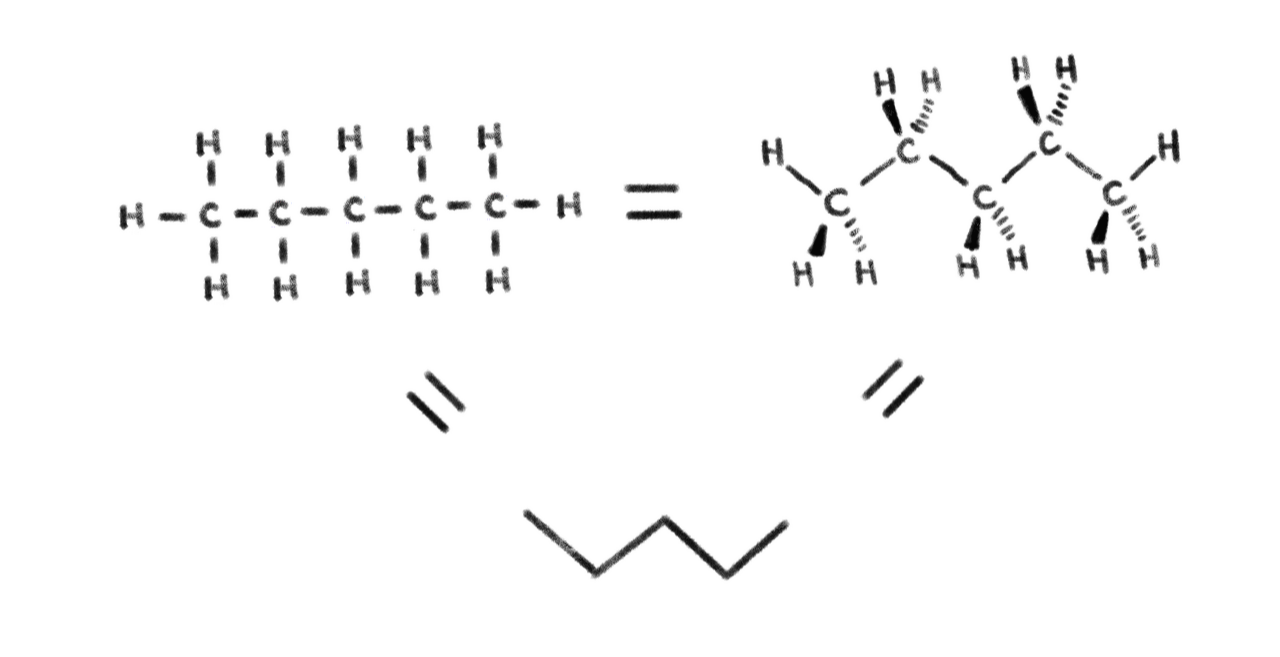
여기서 잠깐 유기화합물을 skeletal formula(골격 구조식)라 불리는 표기법으로 아주 간단하게 나타낼 수 있다. 정말 아주 간단하게 그리는 방법이니 알아놓고 가자.


앞선 글에서 탄소화합물을 wedge and dash structures (쇄기와 대시 구조)를 사용하여 3차원으로 그려 표현하였다. 이를 2차원으로 다시 옮겨 사슬 형태로 나타낸다. 그런데 여기서 C(탄소)라는 원소 기호를 생략한다. 또한 C와 결합한 H까지 생략한다. 가장 많이 사용되는 원소의 생략으로 그림 2의 아래와 같이 화합물을 W 형태로 아주 간단하게 그려 나타낼 수 있다. 사람들은 화학의 상징으로 벤젠을 많이 사용한다. 벤젠(benzene, 그림 3 위)도 C와 H가 생략되어 우리가 자주 접하는 그림이 되는 것이다.


KakaoTalk_20210809_195302197.png 그림 2. pentane의 구조식


하지만 물의 경우 C가 없고 H2O로만 구성되었기에 H-O-H로 표현할 수 있다. 하지만 화학적으로 물을 설명할 때 직선으로 그려진 H2O 보다 굽어진 형태를 많이 보았을 것이다. 왜냐면 O에는 비공유 전자쌍이 존재하기 때문이다. 따라서 물도 O를 중심으로 사면체로 구성되고 직선이 아닌 우리가 자주 본 꺾인 형태인 그림 3과 같은 형태로 나타낸다. 이를 Lewis structure(루이스 구조)라 한다.


이런 물의 구조는 지구를 가장 많이 덮고 있는 물질이지만 가장 특이한 물질로 만들어주는 이유이다. 유기화합물은 말 그대로 대부분 C, H, O로 구성되어 있기에 C와 C에 결합한 H가 생략되지만 다른 원소들은 생략하지 않고 반드시 원소 기호를 적어야 한다.


KakaoTalk_20210809_193602766.png 그림 3. benzene과 물의 구조식



그대의 이름은?


이제 화합물을 간단히 나타내는 구조식을 알았으니 본격적으로 이름 짓는 법(명명법)을 알아보자. 먼저 관용명은 일반적인 단어처럼 입으로 전해지면서 혹은 어원을 따서 또는 처음 발견한 사람에 의해 지어진 이름이다. 그래서 딱히 규칙성이란 것이 없다. 언어의 자의성처럼 말이다. 그래서 관용명은 앞서 말한 것처럼 이름만 안다고 외모를 알기 어렵다. 하지만 IUPAC 명명법은 가능하다.


IUPAC이란 International Union of Pure and Applied Chemistry(국제 순수 응용화학 연합)의 약자이다. 이름대로 이곳에서 만들어진 명명법이다. 접두사+모체+접미사로 구성되어 일반적인 단어와 구성이 같다. 따라서 가장 중심이 되는 줄기 부분을 모체로 정하고 나머지 가지 부분을 접두사와 접미사로 표현하면 된다. 여기서 중심이 되는 것은 전체적으로 가장 많은 부분을 차지하고 있는 부분이 되며 특징적인 부분은 접두사의 가장 앞부분이나 마지막 접미사로 사용되어 강조한다. 한국인이니 매뉴얼보다는 간단한 실전으로부터 익혀보자.


KakaoTalk_20210809_195930208.png 그림 4. ethanol의 명명법 및 다양한 이름


그림 4에서 가장 위에 그려진 화합물을 보자. 생략된 C(탄소) 2개, H(수소) 5개에 연결된 O(산소) 1개와 H(수소) 1개가 있다. 우선 가지 없이 단일 결합으로 구성된 탄화수소(C와 H로 구성된 화합물)의 이름은 그리스어를 사용하여 표 1과 같이 명명한다. C 2개의 탄화수소를 찾으면 ethane이란 걸 알 수 있다. 여기에 OH가 결합하면 alcohol이 된다. 이를 -ol로 하여 접미사로 사용하면 우리가 아주 잘 아는 ethanol이 된다. 이때, 단일 결합 화합물을 뜻하는 접미사 ane에서 e을 빼고 ol을 붙여 사용한 것이다.


KakaoTalk_20210809_193910309.png 표 1. alkane의 탄소수의 따른 이름


우선시되는 이름 (PINs)


문제는 그림 4와 같이 이를 다르게 표현하는 방법도 있다는 점이다. OH를 접미사로 사용하지 않고 Hydroxy라는 접두사로 사용하는 방법도 있다. 따라서 1-Hydroxy-ethane도 가능하다. 여기서 숫자 1은 무엇을 의미할까? ethanol의 경우 모체에 결합한 것이 OH 1개라서 그럴까? 아니다. 첫 번째 탄소에 결합한 OH라는 뜻이다. 이렇게 표현한 이유는 ethane의 경우 OH가 결합 가능한 부분이 2곳이기 때문이다. 앞선 글에서 익혔듯이 결합 위치가 다르면 isomer가 되어 전혀 다른 물질이 되기 때문에 구분해야 한다.


여기서 더 큰 문제는 alcohol을 줄여서 사용하지 않고 ethyl alcohol 표기하는 방법도 있다. alcohol을 모체로 하고 ethane을 가지로 표현한 것이다. 가지 부분을 치환기라고 말하는데 이를 표기할 때는 -ane 대신 -yl을 사용한다. 이러한 문제점 혹은 어려운 점을 해결하기 위해 PINs( Preferred IUPAC Name)을 선정하여 다른 이름보다 사용을 권장하고 있다. 따라서 일반적인 대화에서는 문제가 없지만 특허나 규제와 같은 법 차원에서 혼동을 방지하기 위해 PINs를 사용하는 것이 권장한다. IUPAC Name도 언어로서 가장 많이 사용되는 것을 권장한다. 즉, 우리가 알고 있는 이름 ethanol이 PINs이다.



Funtional Group


그럼 여기서 왜 OH가 결합한 탄소가 첫 번째(1) 탄소일까? 이유는 질문에 있다. OH가 결합하였기 때문이다. OH가 있기에 alcohol이 된다. 이와 같이 특정한 작용을 하는 그룹을 Funtional Group(FG, 작용기)이라 하고, 이와 결합한 탄소를 우선하여 앞번호로 정해진다.


그럼 여러 종류의 FG(표 2)가 결합한 경우는 어떻게 번호를 정할까? 이는 ridical > anion > cation > zwitter ion > carboxylic acid > carboxylic acid derivative (acid anhydride > eater > acyl halide > amide) > nitrile > aldehyde > ketone > alcohol > hydroperoxide > amine > ether 차례대로 순서가 정해진다. 여기서 새로운 이름들이 나왔으므로 그들의 얼굴을 알아보자.


KakaoTalk_20221024_190209727.png 표 2. 대표적인 Funtional Group(FG)


ridical(라디칼)이란, 비공유 전자가 2개로 1쌍을 이루는 게 아니라 1개 만을 가지고 있는 화합물이다.

zwitter ion (쯔비터 이온, 양쪽성 이온)은 한 분자 내에서 양성과 음성 둘 다 가지고 있는 화합물이다.

아미노산이 zwitter ion이다. carboxylic acid(카복실산)은 -C(=O)-OH 를 포함하는 화합물로 식초가 대표적이다.

carboxylic acid derivative는 -C(=O)-OH구조에서 H를 대신해 alkyl(R)이 결합하면 eater(에스터), halide가 결합하면 acyl halide, amine(N 원소에 비공유 전자쌍을 포함한 화합물)이 결합하면 amide(아마이드), C(=O)이 하나 더 결합하면 acid anhydride(산무수화물)라 한다. 매니큐어의 머리 아픈 향이 ester이다.

nitrile(나이트릴)은 C와 N(질소)이 삼중 결합한 화합물이다. 청산가리가 여기에 속한다.

aldehyde(알데하이드)는 C(=O)에 H가 결합한 화합물로 영화 괴물에 원인이었던 formaldehyde가 대표적이다.

ketone(케톤)은 C(=O)의 C 양쪽에 alkyl로 결합한 화합물이다. 건강식품 중에 키톤이라고 불리는 제품을 종종 봤을 것이다.

hydroperoxide는 -OOH가 결합한 화합물로서 이곳에 H가 결합하면 과산화수소 소독약이 된다.

amine(아민)은 N(질소)에 비공유 전자쌍을 포함하여 결합한 화합물이다. 화장실의 암모니아가 아민이다. amino acid(아미노산)은 탄화수소에 amine과 carboxylic acid가 결합되어 있어 붙여진 이름이다.

ether(에터)는 O(산소)가 alkyl들 사이에 결합한 화합물이다. 앞선 시간에 촉매로 접했던 crown ether가 여기에 속한다.



동일한 FG가 많다면


만약에 OH가 두 개 결합했다면 ethan-ethol일까? 아니다. 1,1-ethandiol이라 표현한다. 이때, di가 두 개라는 의미이며, 세 개 일 경우 tri, 네 개는 tert, 다섯 개 이후로는 penta처럼 5개의 탄화수소 접두사인 pent에서 a를 붙여 사용한다. 그리고 1-Hydroxy-ethane 경우 하나인 OH가 탄소 어디에 결합해도 같은 화합물이므로 1과 한 개를 뜻하는 mono를 생략한다. 만약 동일한 화합물이지만 사용한다면 강조의 의미이다.


여담으로 과학분야에서는 그리스어, 라틴어를 많이 사용하는데 mono와 같은 단어의 뜻을 익혀두면 화학 및 다른 분야에서도 뜻을 유추하기 쉬울 것이다. 혼자서 연기하는 monodrama(모노드라마)나 글자의 첫 자만 딴 monogram(모노그램), 혼자서 말하는 monolog(독백)처럼 말이다.


KakaoTalk_20210809_202433288.png 그림 5. polyhydric alcohol 명명법



다중결합 명명법


이제 다중결합이 포함된 탄화수소에 대해 알아보자. 우선 단일 결합 화합물은 alkane, 이중결합은 alkene, 삼중결합은 alkyne으로 불린다. 그래서 단일 결합으로 이루어질 경우 접미사 -ane이 사용된 것이다. 이와 같이 이중결합은 -ene, 삼중결합은 -yne를 접미사로 사용하면 된다.


그리고 다중결합도 하나의 FG라고 생각하면 쉽다. 따라서 그림 6과 같은 예시에서 alkane과 같이 표기 후, 접미사를 -ene로 바꾸고 이중결합의 위치를 숫자로 표시하면 된다. 여기서도 마찬가지로 이중결합이 작은 숫자가 되도록 번호를 시작하면 된다.


그렇다면 이중결합과 삼중결합이 둘 다 있는 화합물은 어떻게 할까? 접미사 -ane을 -enyne으로 바뀌기만 된다. 이때 이중결합과 삼중결합이 작은 숫자가 되도록 정하면 되는데 만약 방법이 두 가지 이상이 존재한다면 이중결합을 우선시한다.


KakaoTalk_20210809_193854481.png 그림 6. 다중결합 화합물 명명법


여기까지 기본적인 chain(사슬) 형태의 유기화합물 명명법이다. 기본적인 화합물의 이름을 익혀야 하는 머리아픔이 있지만 가치 있는 자들의 타고난 이름 정도는 익혀두자. 예시와 같이 익혀두면 실생활에서 문뜩문뜩 떠올릴 수 있을 것이다.



다각형 화합물


사슬처럼 길게 배열된 화합물만 있을까? 아니다. 삼각형, 사각형, 오각형 같은 다각형으로 형성된 끝과 끝이 결합한 화합물도 있다. 이를 고리처럼 생겼다고 해서 cyclic(ring) compound(고리형 화합물)이라 한다.


이 화합물의 명명법도 간단하다. 앞에 원과 같이 끝과 끝이 이어진 형태를 뜻하는 cyclo를 넣으면 된다. 단일 결합으로 이루어진 5개의 탄소가 고리를 이루면 cyclopentane이 되는 것이다. 다중결합도 마찬가지이다. 앞의 규칙과 같이 진행하고 접두사로 cyclo만 붙이면 끝이다.


KakaoTalk_20210809_193923397.png 그림 7. 고리형 화합물 명명법


그렇다면 고리와 사슬 두 가지 모두 있는 화합물은 어떻게 할까? 여기서는 앞과 같이 1) 가장 긴 치환기를 우선하기도 하고 2) 공통된 부분을 중심으로 치환기가 최대가 되도록 하는 방법 두 가지가 있다. 그림 7과 같은 화합물이 있을 경우 cyclopentane에 사슬 치환기가 결합되어 있으므로 cyclopentane을 중심으로 하여 나머지를 치환기로 표기하면 된다. 반대로 사슬에 다수의 고리가 결합해 있다면 사슬을 중심으로 고리를 치환기로 표기하면 된다. 이렇게 할 경우 이름을 보고 바로 직관적으로 이해가 쉽게 화합물을 그릴 수 있다.



향을 가지는 화합물

앞의 내용들을 응용하여 aromatic(방향족) compound를 알아보자. aromatic이란 말 그대로 향이 나는 화합물인데 정확히 말하자면 pi 전자를 delocalization 되어 있는 고리형 화합물을 말한다. 지금은 명명법을 익히는 중이니 이중결합과 단일 결합이 반복적으로 결합하여 고리형을 이루어 전자가 골고루 존재하는 화합물이라고만 알아두자.

KakaoTalk_20210809_193935961.png 그림 8. aromatic compound


향이 난다면 대부분 aromatic compound이다. 그리고 chain compound의 alkane, alkene처럼 aromatic compound는 arene이라는 이름을 가지고 있다. 가장 대표적으로 앞서 보았던 benzene(벤젠)이 화학을 설명하는 배경 이미지로 가장 많이 사용되는 화합물이다. 여담으로 우리가 benzene을 접할 수 있는 건 뉴스에서 유사 석유나 화장품에서 검출되었다는 안 좋은 소식이라 화학은 몸에 나쁘다는 이미지를 주기도 한다. 인체가 화학물질로 구성되어 있음에도 말이다.


본론으로 넘어가 arene의 경우는 benzene을 중심으로 치환기의 이름을 붙인다. 이때 치환기가 둘 이상일 경우, 그림 8의 xylene처럼 1,2- 대신 o-(ortho ), 1,3- 대신에 m- (meta), 1,4- 대신에 p-(para)라고 표기할 수 있다.


사슬이 더 길 경우 benzene을 치환기로 표기하면 된다. 잠시 주의할 점이 있는데 그림 8에 보듯이 치환기로 사용될 때는 phenyl이라 부르며 methylbenzene이 치환기일 때 benzyl이라 한다.


arene의 경우 관용명을 그대로 사용하는 경우가 많다. 이는 향 때문에 화합물이 구별하기 쉬워 이른 시대에 많이 발견되어 이미 오랫동안 사용하여서 그대로 굳어진 것으로 보인다. benzene이 두 개 붙은 naphthalene(나프탈렌)도 일상생활에서 그대로 사용한다.


KakaoTalk_20221024_192804494.png 그림 9. aromatic compound 관용명



나머지 유기화합물과 무기화합물


탄화수소에 관해 아주 기본적인 구조는 마쳤다. 고리 속에 다른 원자가 있는 spiro compound 등 아직 다양한 화합물의 명명법이 있으나 이는 일상생활에서 접하기 힘들다. 이와 같은 유기 화합물은 글이 진행되면서 등장할 때 알아보자.


무기물 명명은 간단하나 원소 이름을 다 익혀야 한다. 따라서 이도 언급될 때마다 하나씩 익히도록 하자. 단순한 예를 든다면 가장 익숙한 소금의 경우 분자식은 NaCl이므로 sodium chloride라 한다. 그리고 우리가 매일 몸 밖으로 내뱉는 CO2carbon dioxaide이다. 이름에도 볼 수 있듯이 탄소 하나에 산소 두 개 뜻이다. 한글로 산화탄소이다.


alcohol에서 봤듯이 FG와 결합한 화합물들은 명명법을 반드시 살펴보아야 한다. ethanol처럼 우리의 실생활 바로 옆에 존재하는 화합물이기 때문이다. 명명법을 익히면 이름만으로 alcohol인지 ester인지 구분할 수 있다. FG의 특성까지 알게 된다면 이름만으로 화합물의 경향성이나 특성을 이해할 수 있다. 하지만 이번 글에서는 충분한 공부를 했으므로 다음 글에서 이어가기로 하자. 한 번에 많은 양을 머릿속에 넣으면 정리되지 않고 복잡할 뿐이다. 평소와 다른 운동량 뒤에는 반드시 충분한 휴식이 필요한 법이다. 화학을 강제로 주입시키기보다는 조금씩 자신에게 스며들게 했으면 한다.



분자 이름의 목적


명명법도 종류가 많고 그중에 IUPAC에서 허용하는 법도 있고 허용하지 않는 법도 있다. 하지만 대부분 관용명을 제외하고는 FG까지 익힌다면 어렵지 않게 분자식을 그릴 수 있다. 우리의 목적은 특정 화합물을 대화나 글을 통해 전하는 것이기에 이름을 들었을 때 분자식을 떠올릴 수만 있다면 어떤 명명법인지는 중요하지 않다. 우리의 이름이 한글 식이냐? 한문식이냐? 구분할 필요가 없듯이 말이다.


다만 추가하자면 CAS(Chemical Abstracts Service)에서 개발한 Chemical Abstracts Index, CA 색인 명명법이 있다. IUPAC 명명법을 기초로 만들어졌기에 대부분 내용이 같다. 하지만 화합물마다 CAS number라고 하는 고유의 등록번호가 있어 복잡하고 다양한 이름이 가능한 명명법에서의 모호함을 해결해준다. 그래서 혼동될 수 있는 화합물이 있다면 CAS number를 같이 표기하기도 한다. 이 번호는 유일하기 때문이다. 자신만 가지고 있는 주민등록번호처럼 말이다. 그리하여 우리가 주민등록번호를 사용하듯이 법적으로도 확실한 구분에 매우 유용하다.


KakaoTalk_20210809_212534271.png 그림 10. CAS No. 과 이름


앞서 잠깐 말했듯이 복잡한 화합물의 경우 모호함도 가지고 있을 뿐더러 너무 이름이 길어 이름만으로 구조식을 머리에서 떠올릴 수가 없다. 그렇게 되면 얼굴을 모르는 사람의 이름처럼 의미가 사라진다. 이름 대신 그림으로 그리거나 손과 말로 묘사하며 설명해야 하기에 명명법의 의미가 사라진다. 그리고 너무 긴 이름은 부르기 불편하다. 외국인의 midde name을 포함한 아주 긴 full name을 들어 본 적이 있다면 공감할 수 있을 것이다. 그럴 경우 보통 쉽게 부를 수 있는 짧은 이름을 말해준다.


화합물도 마찬가지다. 이런 화합물들은 이미 발견되어 많이 사용되는 경우에는 짧은 관용명이 있거나 앞의 이니셜만으로 약어로 부르는 경우가 많다. 새로운 화합물이나 친숙하지 않은 화합물일 경우 1-methyoxy-2-methylbenzene을 관용명 tolune을 이용해 o-methoxytoluene처럼 알려진 관용명 앞에 차이를 보이는 가지를 표기하기도 한다. 그럴 수도 없는 경우 쉽게 부를 수 있는 새로운 이름을 붙이거나 논문에서는 단순하게 product 1 혹은 compound 2이라고 칭할 때도 있다. 오히려 긴 이름이 인식에 방해되기 때문이다. 물론 출생신고 때 full name을 적듯이 한 번은 반드시 IUPAC name을 기입해야 한다.



그대에게 이름이란?


논문이나 실험에서 복잡하거나 생소한 화합물의 이름을 써야 할 경우 대학원생들이 쓰는 방법이 있다. 바로 chemdraw라는 프로그램을 사용한다. 이 프로그램은 분자식을 컴퓨터에서 쉽게 그릴 수 있는 프로그램으로 구조식을 그리면 이름을 알려준다. 내가 사용할 당시에는 오류도 종종 있어 재확인은 필수였다. 본인의 머리로 확인하고 기존의 논문에서 다시 확인한다. 그리고 웹상에서 CAS number도 확인하고 또 다른 이름도 확인한다. 이렇게 까지 확인하는 이유는 이름이 그들의 정체성이기 때문이다.


대화에서 주제인 제삼자의 이름을 틀리게 말할 경우 서로 다른 사람을 생각하며 말할 수 있다. 그렇게 되면 대화의 목적을 이룰 수 없다. 또 자신의 이름이 틀리게 불렸을 경우 기분 나쁘다. 그것은 자신의 일부이기 때문이다. 사람의 이름도 분자와 같이 자신의 정체성을 나타내기도 한다.


이름은 자신이 부르지 않는다. 타인이 자신을 지칭할 때 쓰는 단어이다. 즉 타인과의 관계에서 필수적인 요소이다. 그리고 타인은 대상에 대한 감정을 담아 이름을 부른다. 그리고 우리의 이름을 지어준 부모님께서 행복하게 살라는 그들의 소망이 담겨 있다. 그래서 이름이 불린 만큼 타인과 함께 보낸 시간이자 쌓여온 감정이자 소망이다.


정체성은 본질적으로 가지고 있는 특성으로 자신 스스로 내면을 바라보면서 절대적인 면을 알 수 있지만 상대적 면은 타인을 통해, 타인과의 관계를 통해서만 알 수 있다. 그렇게 우리는 두 가지 측면을 바라보고 알게 되면서 자신의 정체성을 온전히 알 수 있다.


분자와 달리 모르는 사람의 이름을 듣고 인물을 떠올릴 수는 없지만 알고 있는 사람의 이름은 지칭된 인물을 떠올릴 수 있다. 그렇게 이름과 사람은 연결되어 이름은 자신을 대표하게 된다. 자신이 무슨 생각을 했는지, 무슨 말을 했는지, 무슨 행동을 했는지 이름으로 알려지고 기록된다. 자신이 살아온 과거도, 앞으로 살아갈 미래도, 지금 현재도 자신은 특정된 이름으로 사람들의 입으로 전해질 것이며, 글로 기록되고 사람들의 머리와 가슴속에 기억될 것이다. 분자의 이름으로 그 분자의 특징이 기록되듯이 말이다. 그 기록으로 분자의 이름만으로 특징들을 알 수 있다. 그리고 사람 또한 자신의 시간이 지날수록 접한 사람이 많아질수록 평판은 더욱 쌓일 테고 자신을 접하지 않아도 사람들은 이름만으로 어떤 사람인지 알 수 있을 것이다. 그렇게 이름은 자신의 기록이자 대명사 된다.


앞서 우리의 이름에는 우리를 사랑으로 키운 부모님의 소망이 담겨있다고 하였다. 그 소망이 담긴 이름에 절망보다는 희망을 담자. 그래서 타인이 자신의 이름을 부를 때마다 그 희망들이 쌓여 자신과 타인에게 절망보다는 희망을 가지게 되고 불행보다는 행복을 가질 수 있게 하자.



잊지 말자. 우리의 이름은 소망이자 희망이다.



Chemistry And Life. 2021, 1, 15~19



Ref.


Clayden, Greeves, Warren and Worthers Organic chemistry, Oxford University Press(2001), p19~45

Francis A. Carey organic chemistry』, 유기화학교재연구회 공역, 자유아카데미(2004), p66~78, 150~153, 200~202, 399, 477~481

IUPAC Nomenclature of Organic Chemistry Recommendations 1979 and Recommendations 1993




정기적으로 올리는 일요일이 아니라 이틀 늦게 전하게 되네요. 이번 글도 참 많이 고쳤답니다. 탐구적인 내용이 아니라서 최대한 쉽게 볼 수 있도록요. 그래도 마지막까지 어렵지 않을까 더 손보고 싶기도 하네요. 그러다 끝이 나지 않을 것도 같네요. 온라인 글은 언제든지 고칠 수 있다는 게 장점이니 지금이라도 선보여 드리는 게 좋을 것 같아요. 만약 책이 나온다면 더 쉽게 볼 수 있게 쓰고 싶네요. FG와 결합된 화합물까지 썼지만 이것까지 한꺼번에 보여드리면 도망가실 거 같아 다음 편으로 보냈어요. 간단한 내용으로 쓰니 처음 접하시는 분들에게는 오인하거나 오해할 수 있는 부분이 많은 거 같았어요. 익숙한 저에게는 당연하다고 생각하지만 그렇지 않은 분들은 당연하지 않을 테니깐요. 그래서 보충해서 쓰다 보니 다소 길어졌어요. 유럽여행 글을 마치고 다시는 길게 쓰지 않으리라고 다짐했는데 이게 제 글 쓰는 습관인가 봐요. 대부분 내용을 썼지만 최대한 레고나 퍼즐의 매뉴얼처럼 쓰려고 다시 쓰고 있어요. 그림 그리는 밥 아저씨처럼 that easy를 시전 하고 싶은데 밥 아저씨처럼 본인만 쉬운 게 아닌가 싶기도 하네요.^^


글 마지막 제 사론에 우리의 이름은 소망이자 희망이라는 걸 전하고 싶었어요. 이름을 듣고 뜻을 묻고 지어진 이유를 듣다 보면 행복하라는 소망이 느껴졌거든요. 하지만 그렇지 않다고 생각하시는 분도 있고 이름에 대한 기억이 좋지 않다거나 사정도 있으신 분도 있을 테니 마지막까지 고민했답니다. 살다 보면 사연이 쌓이고 모든 것이 변하니 모든 사람들이 제 뜻과 같을 수는 없겠죠. 그래서 사정이 있으신 분들은 이름을 바꿔 보시는 건 어떨까요? 정말 말처럼 쉬운 일은 아니죠. 하지만 절망과 아픈 기억이 담겨 있다면 그 이름은 놔두고 새로운 이름에 희망을 담아 보시는 건 어떨까요? 자신이 행복하다면 좋은 방법이지 않을까요? 행복하기 위해 태어난 우리니까요. 잘 모르는 이가 조심히 말씀드려봅니다. 그리고 다음 글도 꼭 들려주세요. 마지막으로 제 글을 읽고 지식뿐만 아니라 소망과 희망도 담기길 바라봅니다.

keyword
이전 06화인생과 분자의 다양한 반응 결과