brunch
매거진 앎 핢 삶

PISA가 말하는 학습격차: 학습경제시대의 '생존 격차

by 정재익


[PISA가 말하는 학습격차: 학습경제시대의 '생존 격차']


주요국의 PISA 학업성취도 최하등급 학생비율 (OECD, 2018)

1. PISA는 18년도 서울대 교육학과 입학 면접에서 날 살려준 주제라 애착이 간다. 오전 면접 마지막에서 두 번째 순서라 그랬는지, 한 교수님께서는 내가 입장할 때부터 거의 반은 누워 계셨다. 그 자세 그대로 이렇게 말씀하셨다. “배부한 질문지는 잊고 데이터를 해석하고 싶은 대로 해석해 봐요.” 그 데이터는 KEDI가 발간한 보고서의 일부였다. 데이터의 요체는 ‘PISA 측정 결과, 한국 학생은 학업성취도는 높으나 학습 흥미가 낮다’는 통계 분석이었다. 그 해석을 그대로 수용했다가는 나만의 고유한 문제의식을 보여주지 못할 것 같아서 폭탄을 던지는 마음으로 외쳤다. “‘한국 학생들의 학업 성취가 탁월하다’는 KEDI의 해석부터가 타당하지 않습니다. 학습동기만이 아니라 학습역량도 우려스럽기는 마찬가지입니다.”


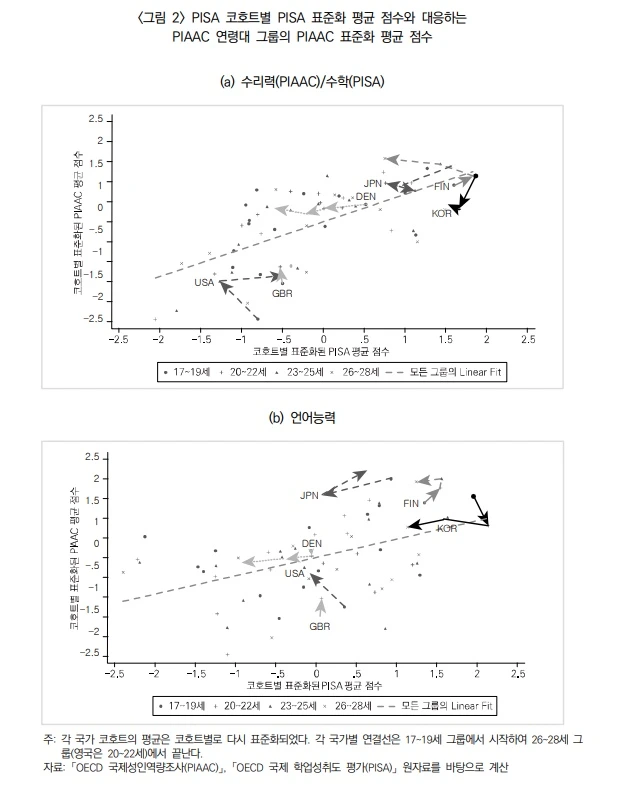
2. 지금도 나는 한국의 PISA 학업성취도 데이터를 그리 긍정적으로 해석하지 않는다. 두 꼭지 때문이다. 첫째, 우선 KEDI의 해석은 PISA의 평가 취지에 부합하지 않는다. PISA는 수험자를 OECD 학업역량에 근거해 1~6등급으로 나눈다(6등급이 제일 높다). PISA의 의도에 따르면 중요한 것은 ‘국가별 5등급 이상의 분포도’이다. 한국은 최근 이 지표에서 그리 국제적인 활약을 보이지 않았다. 둘째, 그마저의 성취 역시 지속 불가능하다. 한국의 성취도는 ‘고 3만 지나면 공부에서 손 뗄’ 소진형 학습자를 양산하는 처절한 관리학습의 결과일 뿐이다. 철저한 관리의 시간이 지나면 이 성취는 신기루처럼 허상이 되어 사라진다. 학습역량 위험군이 꾸준히 증가한다. 학습역량과 학습동기 모두 최고 수준인 학생은 적다. 어쩌면 우리 교육이 양산하는 인재들은 평생학습능력이 없는 단거리 달리기 선수들 뿐인지도 모른다. 실제로 한국은 성인기 지표인 PIAAC 성적이 학생 지표인 PISA 성적을 따라가지 못한다.(아래 그림들 참조)


PISA 대비 PIAAC의 성취도 (출처: 한국경제연구원 정책연구 2017-2)
PIAAC 성취도 중 '컴퓨터 기반 문제해결력' (출처: 위와 상동)


3. PISA-PIAAC 비교연구 결과만 문제인 건 아니다. “문해력과 연령대의 상관관계”가 보여주는 외국과의 비교연구 결과 역시 참담하다.(아래 그림 참조)

성인기가 되어 학습역량이 떨어지는 속도를 주목해야 한다. 학습역량 중 가장 기본이라 할 수 있는 ‘문해력’의 경우, 한국은 핀란드나 스웨덴, 일본에 비해 추락의 속도와 시작점 모두 심각하게 문제적이다. 위 세 국가의 경우 넉넉 잡아 30대 초중반까지는 성인학습을 통해 역량이 성장하다가 비교적 완만하게 추락세를 보이는 반면, 한국은 ‘취업준비 시즌’이 끝나면 곧장 떨어진다. 거침없이 추락하는 학습역량을 다시 일으켜 세울 대안적 해법이 필요하다. 지금처럼 ‘K-12’, 길게 잡아도 ‘유치원-대학’까지만 바라보는 교육담론구조에 파열을 내고 그 틈새에 새 호흡을 불어넣어야 한다.


4. 몸을 기울여 앉으셨다는 그 교수님께선 당시 내 해석에 문제가 있다고 지적하셨고 나도 질세라 받아쳤다. 지금 돌이켜 보니 무슨 말을 주고받았는지 일일이 기억나지는 않는다. 면접이 끝나고 ‘서울대학교 교육학과 교수진’을 인터넷에 검색하니 그분이 KEDI 전임 원장이셨던 것은 기억이 난다. 그분은 심지어 교육측정 평가(EME)가 전공이셨고 지금은 내 학부 지도교수님이시다. 혼쭐만 난 면접이었지만 ‘합격했으니 장땡’이라는 식으로 잊었다.


5. 그 뒤로 한참 잊고 지냈던 PISA에 다시 주목한다. ‘코로나 때문’이라고 언론에서 질타하는 학력 양극화가 실제로는 코로나 이전부터 있었다는 것을 PISA가 말해주기 때문이다. 코로나는 학습격차의 ‘원인’이라기보다는 문제를 부추기는 ‘환경’으로 규정하는 편이 낫다. 물론 환경은 체계에 피드백된다는 의미에서 코로나가 교육에 미치는 영향력을 무시할 수 없다. 다만 코로나의 영향만 제거한다고 해서 학습격차가 해소되지 않는다는 것은 분명하다. 원인도 해법도 모르는 이 ‘미지의 학습격차’는 우리가 손을 놓고 있는 사이에 한국인의 생애 전반으로 확장될 것이다.



노벨 경제학 수상자 슈티글리츠. '학습'을 주제로 하는 세련된 거시경제연구를 보여준다.

6. 세계경제포럼의 슈왑 회장, 그리고 노벨경제학상 수상자 스티글리츠의 말처럼 미래사회가 학습을 통해 변화에 적응할 줄 아는 자만이 살아남는 학습경제(Learning Economy)로 전회한다면 ‘학습격차’는 ‘생존 격차’로 탈바꿈할 것이다. “21세기의 문맹은 글을 읽고 쓸 줄 모르는 사람이 아니라 학습하고, 폐기 학습하고, 새로 학습하는 방법을 모르는 사람”이라는 미래학자 앨빈 토플러의 말은 미래의 일이 아니다. 오늘 우리의 문제다.


Engaging Minds(3rd edition) 중에서.




7. 교육문제를 지금보다 더 높고 확장된 층위에서 보아야 한다. 문제 해결의 모멘텀은 관찰의 층위를 문제의 층위보다 높일 때 비로소 발견된다는 아인슈타인과 베이트슨의 말은 옳다. 한국인이 노동시장과 사회구조의 틈에 끼어 어떤 학습 생애를 살도록 종용받는지를 이해하지 않고서 학습격차를 해결할 수 없다. 이제라도 교육문제를 보는 안목은 전 생애와 전 사회를 아우를 필요가 있다. 아동청소년기를 넘어 성인학습으로 시간축을 넓히고 학교를 넘어 생활 속 학습 생태로 공간 축을 넓혀야 한다. 그리고 이러한 안목이 숙려 민주주의의 중심 소통 언어로 당당히 터를 잡아야 한다. ‘평생학습도시’처럼 피부에 와닿지 않는 주변적인 정책 안에 고립되면 안 된다. 시민들은 이미 그 필요성을 살과 피로 경험해왔다. 대입보다는 취업준비, 경력 및 전문성 개발, 직업전환, 육아, 자산관리, 여가학습, 노후준비 등이 더 문제적이라는 걸 다들 알고 있다. 기후위기, 기술혁명, 사회변동 등 거대한 문제도 고민할 시점이다. 이러한 문제를 타개하기에 시민들의 학습역량은 준비되지 않았고 교육은 무능하다. 정치는 말할 것도 없다. 여기가 바로 삶과 교육 사이의 간극과 모순이 생겨나는 지점이다. 이 모순을 제대로 인식하는 일이야말로 교육문제를 해결하는 출발점이다.



8. ‘주인의 도구로는 결코 주인의 집을 무너뜨릴 수 없다’는 오드리 로드의 말처럼, 문제를 해결하고 새로운 교육을 이루려면 지금의 학제를 지탱하는 가치체계를 뒤엎고 대안을 찾아야 한다. ‘체계지속성교육’(Davis et al., 2015)은 그러한 대안이 창발하는 확장 학습(Engeström, 1987) 과정에 주목한다. 그 과정은 다음과 같다. 우선 인간 학습과 교육의 존재성 사이에 놓인 모순을 시민들이 인식해야 한다.(7번 문단 후반 참조) 모순에 대한 처절한 반성이 집적되어 새로운 사회계약을 숙려 하는 소통 사건들이 움튼다. 소통 사건들이 숙려 민주주의 담론 생태계 안에서 의미 있게 반복되면 그 소통을 재귀적으로 정교화하는 새로운 사회적 체계(Luhmann, 2015)가 만들어진다. 이 과정이 바로 ‘사회 단위의 학습’(Societal Learning)이다. ‘사회 단위’의 문제를 해결하려면 ‘사회 단위’의 학습이 일어나야 한다.


9. 무릇 진보적 사회혁신 담론은 이 정도 스케일을 담보해야 한다. 포괄적인 사회 재생이 아닌 대입제도 개편 따위가 교육문제를 해결한다고 믿는다면 학습격차를 해결하기는커녕 문제를 제대로 인식할 수도 없다. 학제 안에 생각이 갇히면 안 된다. 문재인 정부의 교육개혁을 기대한 까닭은 진보 정부다운 변혁적 실행력을 바랐기 때문이다. 지금 보니 헛물을 들이킨 것 같다. 대입 비율 논쟁의 수렁에서 빠져나오지 못하는 모양새다. 국가교육위원회라는 초당적 장치를 개발했지만 그 힘이 정책 실천을 이끄는 정치세력들의 근시안적 접근을 이기지 못한다. 국교위가 신선하고 설득력이 있는 대안 논리를 개발할 능력이 있는지조차 의심스럽다. 참여정부 때의 지난 인사들이 속속들이 자리를 꿰차고 있으니 말이다.


10. 나가기: PISA에서 시작해 멀리도 왔다. 이 글이 주목한 PISA와 PIAAC 지표가 사회의 발전 정도, 특히 아마티아 센이 목놓아 부르짖은 ‘개인의 삶의 질’을 결정하지는 못한다. 근자에 논의되는 ‘생태주의적 체계 지속성’ 역시 담보하지 못한다. 다만 이 지표들은, 평생학습이라는 대안조차 이제 진부하게 느껴질 정도로 복잡하고 불확실한 시대를 사는 우리가 가진 몇 없는 나침반이다. PISA, PIAAC이 들려주는 얘기에 여전히 민감해야 한다. 이들은 우리에게 파괴적인 거듭남을 주문한다. 우리는 어떻게 응답해야 할까.


#학습경제 #학습사회 #평생학습 #슈티글리츠 #학습격차 #교육격차


keyword