brunch

웨어러블 심전도로 혈당치 체크하기

스마트워치와 심층학습을 이용한 일종의 정밀 의료?

by gaze 헬스케어

이 글은 이달 13일 (2020년 1월 13일) 네이처에 올라온 아티클 내용을 참고하여 작성하였습니다.




"혈당? 당뇨병 않는 사람들만 신경 쓰면 되지 않아?"


요즘 이런 질문을 하는 분은 거의 없습니다. 당뇨병 환자분들은 물론이고, 건강한 사람이더라도 주기적으로 건강검진을 통해 관리해야 할 만큼 혈당이 우리 건강에 중요하다는 사실은 이제 널리 알려져 있습니다.


하지만 혈당치를 확인하는 방법은 그 중요성에 비해 제한적입니다. 가장 대표적인 방법은 혈당기를 이용하는 방법인데요. 손끝에서 혈액을 한 방울 채취하여 혈당을 측정하는데, 정확하지만 몇 가지 단점 역시 있습니다.


1.jpg 혈당치를 측정하기 위해 가장 대표적으로 사용하는 혈당계. 정확하지만 단점 역시 존재한다.


우선 손끝을 찌르는 침습적인 방법이며, 지속적이지 않고 한 순간의 혈당만 측정할 뿐입니다. 특히 손끝을 찌르는 방식이라는 점은 사용자에 의한 혈당치의 지속적 자가 측정을 어렵게 하는 대표적 요인이기도 합니다.


따라서 혈당계의 대안으로 지속 혈당 측정기 (Continuous Glucose Monitor, CGM)도 쓰이고 있습니다. CGM은 피부 아래 작은 센서를 삽입하여 피부조직 내의 당 농도를 분석하는 방식으로 혈당치를 측정합니다. 당뇨병 환자들에 큰 도움이 되고 있는 기기입니다.


다만 몇 가지 제한점이 존재하는데요. 현재 시중에 나와 있는 CGM들은 7~14일 정도까지밖에 착용할 수 없으며, 대부분 센서로 얻는 혈당치의 정확도를 보정하기 위해 혈당계를 이용한 침습적 혈당 측정을 필요로 합니다. 또한 CGM은 낮은 혈당을 측정하는데 다소 부정확한 경향을 보이며, 피부조직 아래에 무언가를 삽입하는 식이니 여전히 침습적입니다. 가격도 비쌈은 물론입니다.




따라서 대안으로 심전도를 사용한 혈당 측정을 하려는 시도는 꾸준히 있어왔습니다. 저혈당과 같은 증상이 심장의 전기 신호에 영향을 주는 등 심전도와 혈당치 사이에 직접적 연관이 있기에 더욱 그러했습니다.


심전도에 나타난 특징들을 조합하여 여러 분석을 통해 저혈당을 알아내고자 하는 등 여러 시도가 있었으나 이런 시도들이 그렇게 성공적이지는 못했습니다. 심전도 파형에서 직접적으로 저혈당을 측정할 수 있는 모델이나 방법을 제시하는데도 실패하였고요.


하지만 이 아티클에서 제시한 연구에서는 정밀 의료와 심층학습을 통하여 웨어러블 심전도를 통한 야간 저혈당 측정을 성공적으로 수행했다고 말합니다. 구체적인 연구 방법이 무엇인지 간단히만 한번 살펴볼까요?




이 연구에서는 액티그래프 (거동 기록 장치)와 심전도, 그리고 CGM을 8명의 건강한 성인에서 24시간, 14일 동안 지속적으로 측정하였습니다. 심전도와 CGM은 시중의 웨어러블 기기를 이용하여 기록했습니다.


합성곱 신경망 (Convoluted Neural Network, CNN)을 개별 심장 박동에 대해 훈련시켰으며, 참여자가 처음 연구에 참여하며 생성한 데이터를 훈련에 사용하였습니다. (이 연구에 정밀 의료라는 말이 붙어있는 이유이기도 합니다.) 이후 이렇게 훈련한 모델을 남은 기간 동안 테스트하였고요.


총 8명의 참여자 중 실제로 야간 저혈당을 일으킨 사람은 4명이었습니다. 8명 모두 건강한 참가자였기 때문에 예상되었던 일일지도 모르겠습니다.


결과적으로 이 연구는 10분 이상 지속되는 야간 저혈당을 높은 민감도 (평균 81.7%)와 높은 특이도 (평균 87.5%)로 측정했다 보고했습니다. 해당 연구는 QT 간격 증가와 같이 저혈당 환자에서 보고되는 심전도 파형 역시 성공적으로 관찰했다 말했으며, 동시에 저혈당이 일으키는 심전도의 변화가 개개인별로 얼마나 차이가 있을 수 있는지도 성공적으로 보여주었습니다.


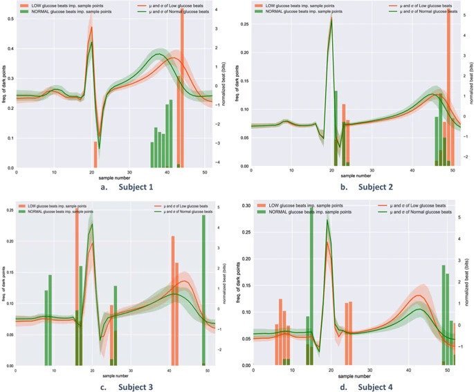
ezgif-7-1759d2383f7b.jpg 야간 저혈당을 일으킨 4명의 환자에서 측정한 심전도. 붉은 줄은 저혈당 시의 심박을, 초록 줄은 정상 심전도를 나타낸다.


위 그림을 보면 정상 심전도의 모양도, 저혈당 시의 심전도 모양도 모두 개인별로 차이가 있음을 알 수 있습니다. 이 연구에서는 이러한 개개인의 차이를 고려해 환자군 전체를 대상으로 하는 대신 개개인의 데이터별로 따로 심층학습 모델을 훈련시킨 것이 기존의 방법들에 비해 연구에서 발표한 방법이 더 좋은 성적을 거둔 이유라 말합니다.


이 연구에서 또 추가적으로 인상적인 점은 위 그래프와 같이, 알고리즘이 심전도의 어떤 부분을 이상이라 판단했는지 알 수 있다는 점이었습니다. 인공지능의 대표적인 단점으로 지적되는 부분 중 하나가 바로 '블랙박스', 즉 인공지능이 결정을 내렸을 때 그 이유를 알 수 없다는 부분입니다. 특히 의료에서는 이런 문제가 더욱 부각될 텐데 위와 같이 심전도의 어떤 부분이 문제인지 보여준다는 점은 고무적입니다.





앞으로 심전도를 이용해 혈당을 측정하는 방법이 보다 보편화되고 표준화될까요? 아직은 확답하기 어렵습니다.


하지만 이런 연구가 계속되어 비침습적인 방법으로, 또 실시간으로 혈당치를 측정하고 건강을 관리할 수 있는 날이 오기를 바랍니다.

keyword
매거진의 이전글"병원 처음 오셨어요? 서류 작성 부탁드려요" (2)