brunch

서류 탈락과 행복의 상관관계

당신이 하는 노력은 당신을 행복하게 만듭니까?

by 안건

정말 원하던 기회에 서류 탈락을 했다. 한동안 우울했다. 그러다 문득, 이 서류 탈락이 내 인생에 행복에 어떤 영향을 미칠까?라는 의문이 들었다.


이번 여름 스위스에서 ETH Zurich 대학에서 연구 인턴을 모집했다. 장학금을 받고, 최고의 환경에서 연구할 수 있는 정말 좋은 기회라 열심히 준비했다. 자소서를 10회 넘게 고쳤고, CV 역시 여러 번 작성해서 썼다. 지원한 연구실의 교수님의 논문도 여러 개 스키밍 하는 등 11월 중순부터 한 달 내내 지원에 몰입했다.


2월에 결과가 나온다는 것을 알고 있었다. 아직 2월이 되지 않았음 데도, 언젠가 메일이 오지 않을까 하고 메일함에 하루에도 두 번씩은 들어가며 메일을 체크했다. 그런데 웬걸, 아직 2월이 되지도 않았는데 메일이 와 있었다. 설레는 가슴을 가라 앉히고 메일을 열어 보았다.


지나친 공손함, 오히려 기분이 나쁜 것 같기도

"Shorten list"에 들어가지 못했다. 우리나라 식으로 해석하자면 무려 서류 탈락을 해버렸다. 만약 떨어져도 별 타격이 없을 것이라고 생각했던 처음의 마음과는 달리, 떨어지고 나니 며칠 마음이 많이 공허했다.

인터뷰의 기회도 못 받다니...
1년 뒤에 대학원 지원을 할 때 과연 나의 실력이 많이 향상되어 결과가 달라질 수 있을까?

위와 같은 수많은 생각들이 몰려왔다. 당장 눈 앞에 일들에 집중되지 않았고, 미래에 대한 걱정이 많아졌다. 언제나 지금의 나에 만족하지 못하고, 더 넓은 세상을 향해 달려왔고, 어려운 일에 도전했다. 어려운 일인 만큼 성공할 확률이 언제나 높지는 않다.


생각이 계속 이어졌다. 열심히 살려고 한다. 영어공부를 하고, 책을 읽고, 글을 쓰고, 그리고 코딩 공부를 한다. 많은 일들을 하고 스스로 시간을 효율적으로 사용하기 위해 언제나 노력한다. 그러다 "이러한 선택들은 나를 행복하게 하는가?" 등 철학적인 질문에 까지 이어졌다. 만약, 나를 행복하게 만들지 않는다면 대체 그러한 노력이 무슨 의미가 있단 말인가?


1. 그래서 살림살이 좀 나아지셨습니까?

<사피엔스, 유발 하라리>

이 질문은 개인에게 상당히 중요한 철학적 질문임에 동시에 역사와 집단에게도 중요한 질문이다. 한 개인의 노력으로 인해 개인이 발전하는 것이, 그리고 인류의 집단적 노력으로 산업혁명과 민주주의등을 를 가져온 결과가 과연 우리를 행복하게 했는가? 많이 묻지 않는 질문이지만, 꼭 한 번은 해봐야 하는 질문이다.

<사피엔스, 유발 하라리>

먼저 복잡하게 생각하지 말고, 신체적 안녕에 대해 고려해보자. 살림살이는 나아졌다. 확실히 우리 인류는 집단의 노력으로 인해 덜 아프고, 병으로 인해 덜 죽는다. 가장 직접적으로 영유아 사망률이 압도적으로 줄어 자신의 아이를 먼저 보내는 슬픔을 느껴야 하는 부모의 수는 확실히 줄었다. 가난으로 인해 굶어 죽는 사람의 비율도 줄었고, 우리는 인류의 역사상 가장 평화로운 시기에 살고 있다. 열심히 노력하면 인간의 안녕은 좋아질 가능성이 높아진다.

<사피엔스, 유발 하라리>

그러나 이 역시 당장 판단을 내리기는 어렵다. 이는 다분히 현대의 문명을 마음껏 누리고 있는 사람의 시야이고, 정말 역사적으로 얼마 되지 않은 최근이기 때문이다. 평화로운 나날을 보내던 원주민들에겐 유럽인의 문명은 행복보다는 수많은 살육과 불행을 가져다준 것이 자명하다.


2. 행복을 계산할 수 있다면


이렇게 애매한 문제일수록 나와 같은 공돌이들은 숫자 노름하기를 좋아한다. 숫자만큼 깔끔하고 비교하기 쉬운 것이 어디 있단 말인가? 수박보다 딸기가 맛있다고 하면 취향이 되지만, 과일의 당도를 측정하면 평균적인 수박의 당도가 딸기의 당도보다 높으니 수박이 더 달다고 주장할 수 있다.


행복도 마찬가지이다. 행복을 숫자로 나타낼 수 있다면 분명히 행복과 행복해지는 방법에 대해서 조금 더 심도 깊은 연구가 가능해질 것이다. 그리고 인류의 행복이야 벤담의 공리주의 방식으로 접근하면 되지 않을까?

20200130_223635.jpg

그렇기에 제일 쉬운 방법이 물어보는 것이다. 길가는 사람을 잡고, 얼마나 행복한지 물어보는 것이다. 그 표본이 많이 모이면, 행복하다는 사람들의 경향성을 유추할 수 있을 것이다. 그러면 우리는

이러이러한 조건을 갖출 경우, 행복할 가능성이 높아진다.

라는 결론을 도출할 수 있다.


책에서는 3가지의 결과를 이야기해준다. 먼저 가장 흥미로울 돈과의 상관관계를 살펴보자.

연평균 수입과 행복들과의 상관관계

전반적으로 그래프를 살펴보면 Ladder(사회적 계층)을 제외하고 다른 행복과 관련된 수치는 연봉 60,000$을 넘어가면 크게 영향을 끼치지 않는다.

질병은 (나빠지지 않는다면) 의외로 행복에 큰 영향을 미치지 않으며, 돈 역시 영향의 정도가 가족관계에 비해 미비하다.


이렇게 살펴보면 나의 떨어진 인턴 결과는 질병과 가족관계에 영향이 없고, 돈에 미비한 영향을 끼치니 행복에 큰 영향을 주지 않을 것으로 보인다. 인턴의 유무가 객관적 지표의 끼치는 영향은 거의 없기 때문이다.


3. 예측값과 실제 값의 차이

20200130_231655.jpg


행복은 2번에서 살펴본 수많은 객관적 조건에 나의 주관적 기대 사이의 상관관계에 의해 결정된다.


조금 더 전문적인 내용을 살펴보자. 현재 심리학 학계에서는 행복을 다양하게 정의하고 있는데, 그중 지금의 글의 맥락에서 살펴본 그 순간순간의 주관적 만족도 (Momentary Subjective Well-being)을 살펴보자. Rutledge et.al (2010)의 논문에 따르면 순간 주관적 만족도 (이하 행복)은 보상 그 자체가 아닌 보상에 대한 기대, 그리고 그것과 실제 결과와의 차이의 누적된 영향과 관련이 있다고 한다.


논문을 간단하게 소개하면 A와 같은 실험을 해 도박을 할지, 일정한 금액을 얻거나 잃을지 결정한다. 도박은 주로 50% 확률의 룰렛이며, 결과가 2~3회 나오고 진행될 때마다 설문조사로 주관적 행복도를 물었다.

출처: Rutledge et.al (2010), 실험의 과정 .http://www.thegreatbrainexperiment.com/

결과를 살펴보자.

Result 1

먼저 Result 1의 A는 주관적 행복도의 영역으로 알려진 (right anterior insula, 우측 앞 뇌섬엽) 부위의 산소 농도를 F-mri를 통해 찍은 이미지이다. 행복도가 높다고 이야기할 때, 해당 부위의 활동도를 관찰하여 실험의 설득력을 높였다. 먼저 중앙의 그래프 B, C, D를 살펴보면 초록색 그래프인 딴 돈을 파란색인 행복도가 거의 따라가지 않는 것을 볼 수 있다.

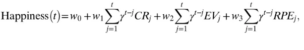
njnjn.PNG result 2. Certain reward - W1, Gamble EV - W2, Gamble RPE - W3

그리고 위 빨간색은 컴퓨터 모델링을 통해 만들어낸 행복을 예측하는 모델링이다. 우리가 살펴보아야 할 계수들은 w1, w2, w3이다. Result 2의 결과를 살펴보면 3가지의 계수가 있다. Certain reward는 내가 직접 얻은 결과, Gamble EV(Expected value)는 도박의 기댓값 (10$ 딸 확률 50%, 0일 확률 50% 의 경우 기댓값은 5$), RPE(Reward prediction error)는 직접 얻은 결과와 도박의 기댓값 사이의 차에 해당한다.

출처: Rutledge et.al (2010), Certain reward - W1, Gamble EV - W2, Gamble RPE - W3

1) 딴 돈은 금방 잊힌다.




먼저 가장 중요한 것은 (r^-j) 값에 의해 지수함수적으로 감소하는 경향성이다. 아무리 큰돈을 획득하든, 예상보다 훨씬 큰돈을 받던 10번이 넘어가면 다 잊힌다. 이는 긍정적인 영향뿐 아니라 부정적인 영향 역시 마찬가지이다. 위에서 언급했던 큰돈과 질병이 오랫동안 행복에 영향을 끼치지 못하는 이유와 같다.





2) 실제 받은 보상, 기댓값, 기댓값과 보상과의 차이 모두 양의 영향을 끼친다.

실제로 받은 돈뿐 아니라, 내가 얼마를 기대하는지도 양의 영향을 끼친다. 결과가 나오지 않은 상황에서는 높은 기댓값을 가지는 것이 행복도를 높이는 방법이다. 여행을 떠나기 전, 여행을 준비하는 설레는 과정에서 행복도가 높아지는 것을 이로 설명할 수 있다.


3) 가장 큰 영향을 받는 것은 기댓값과 보상과의 차이이다.

Result2에서 살펴볼 수 있듯, 모든 실험에서 RPE의 계수가 가장 크다. 즉 행복도에 가장 큰 영향을 주는 것은 실제로 받은 금액이 아니라 내가 기대한 금액과의 차이다. 기대하는 월급날, 200만 원을 받아야 하는데, 190 만원을 받았다면 190만 원을 받았다고 해도 전혀 기쁘지 않다. 그러나 190만 원을 받고 슬퍼하던 우리는 길거리에서 5천 원을 주우면 기분이 좋아진다. 기댓값과 다르기 때문이다.


그렇기에 결과가 나온 것을 살펴보면 기댓값을 낮게 가지는 것이 상대적으로 행복에 도움이 된다. 그렇다고 해서 기댓값을 항상 무작정 낮은 값으로 설정할 수도 없다. 결과를 기다리는 동안은 기댓값이 행복도에 영향을 끼치기 때문이다.

ddd.PNG 출처: <The best year ever, 탁월한 인생을 만드는 법, p122>

결론적으로 우리가 더 행복해지기 위해서는 지금의 상태보다 조금 더 높은 기댓값을 가진 것에 계속 도전하되, 지나치게 높은 기댓값을 가지지 말아야 한다. 이는 <탁월한 인생을 만드는 법>의 개념과 비슷하다. 우리는 Discomfort zone(불안 지대)에 계속 우리를 내 던져야 한다. 적절한 기댓값과, RPE 역시 양의 값이 나올 확률이 높기 때문이다. 지나치게 높은 기댓값은, (Delusional Zone, 망상 지대) 안 좋은 결과가 나왔을 때 RPE 값이 큰 음의 값이 나오니 그로 인해 인생이 불행해지고, 지나치게 낮은 기댓값 (Comfort zone, 안전지대), 혹은 현재보다 발전을 기대하지 않는 모습은, 음의 기댓값으로 인생을 불행하게 만든다.


4. 의미부여

<사피엔스>

많이 돌아왔다. 결국 우리의 행복은 우리가 어떤 의미를 부여하는지에 따라 결정된다. 기댓값은 결국 우리가 설정하는 것이고, 모든 인생의 가치들은 숫자로 일괄적으로 환산되는 것이 아니기 때문이다.


가장 처음에 나의 서류 탈락에 대해서 생각해보자. 기댓값을 최종 합격, 결과 값을 서류 탈락으로 아주 간편하게 설정한다면 그 차이가 엄청나게 크게 느껴지고, 나의 행복도는 낮아질 것이다.


그러나 나의 기댓값을 대학원 연구 지원의 경험, 결과 값을 서류전형 경험으로 생각해보면 어떨까? 물론 인터뷰를 진행하지 못했고, 최종 합격의 기쁨까지 느꼈다면 더 좋았겠지만, 어쨌든 서류를 작성하고 지원해 보는 경험을 했다. 그리고 그 경험을 철저하게 피드백하자. 아마도 떨어진 이유는 실질적인 컴퓨터 공학과의 연관성이 떨어지기 때문이 아닐까 싶다. 현재 전공은 재료공학에 부전공은 뇌 마음 행동이라는 과목으로 컴퓨터 공학이 공식적인 서류에서 보이지 않는다. 그렇기에 남은 기간 동안 성적표에 컴퓨터 공학 수업을 더욱 많이 채워 놓고, 관련된 논문도 작성할 수 있으면 좋을 것이다. (추가로 서류탈락은 금세 잊힐 것이다.)


실패에 좌절하지 말고 다시금 적절한 불안 지대(Discomfort zone)의 목표를 설정하자. 이렇게 의미를 부여한다면 다음번 시행에는 실제로 합격할 가능성 역시 높아질 것이다.


결국 인생의 행복은, 적절하게 지금의 수준보다 높은 성장 목표를 설정하고 그것을 이뤄갈 때 가질 수 있는 것이다. 그렇기에 나의 서류탈락은 일시적으로 주관적 만족도를 감소시켰을 수 있으나, 금세 그 영향은 감소 할 것이고, 항상 나를 불안지대에 던지는 나의 태도는 내 인생을 전반적으로 행복하게 만들고 있다.


이러한 방법이 나의 행복을 증가시켰다면, 나아가 내 주위 사람에게도 이 방법을 전파하자. 그렇다면 공리주의 적으로 최대 다수의 행복 역시 증가하지 않을까?


참고자료

1. <사피엔스, 유발 하라리>

2. Kahneman, D., & Deaton, A. (2010). High income improves evaluation of life but not emotional well-being. Proceedings of the national academy of sciences, 107(38), 16489-16493.

3. Rutledge, R. B., Skandali, N., Dayan, P., & Dolan, R. J. (2014). A computational and neural model of momentary subjective well-being. Proceedings of the National Academy of Sciences, 111(33), 12252-12257.

4. <탁월한 인생을 만드는 법, 마이클 하얏트>

keyword
매거진의 이전글몸 관리에 17억을 쓰는 르브론이 가장 신경 쓰는 것