brunch

IPCC 보고서 연대기 - 불타는 지구, 불타오르는 그

기후변화의 위험은 어떻게 정의할 수 있을까요? 기후변화는 누구에게, 또 언제까지 위험한 것일까요? 그리고 그 위험과 영향은 언제 버틸 수 있는 한계를 벗어날까요?


이러한 질문에 답하고자 과학자들은 기온 상승에 따라 전 지구적 위험과 영향이 어떻게 증가하는지를 보여주는 그래프를 개발했습니다. 기후변화에 대한 전반적 평가를 하나의 색상코드로 보여주는 다이어그램 그래프로, 2001년 기후변화에 관한 정부 간 패널(IPCC)의 3차 평가보고서에서 처음 사용됐습니다. ‘우려 요인’(Reasons For Concern)이라는 이름의 이 그래프는 곧 ‘타오르는 불씨’ (The Burning Embers)로 더 잘 알려지게 됩니다. 그래프에서 과학자들은 서로 다른 기후 관련 위험을 5개의 그래프, 곧 5개의 ‘우려요인’(RFC)으로 나누는데, 각각 총체적 기후 위험을 서로 다른 측면에서 측정했습니다.

fdfe89de-f80a8e71-a935-4921-94e6-d457b4be69be-e1680574430579.jpeg IPCC 3차 평가보고서(2001)에 수록된 5가지 우려 요인의 ‘타오르는 불씨’(출처: IPCC 2001)

그래프의 시작점과 현재 진행 상황


RFC 도구를 처음 사용한 2001년, IPCC는 2°C 상승의 위험이 대체로 크지 않을 것으로 평가했습니다. ‘위협받는 고유시스템’ 항목을 제외한 다른 수치는 아직 높지 않았기 때문입니다. 하지만 8년 후인 2009년도 보고서에서는 이미 많은 불씨가 타오르고 있었습니다. 현상을 깊이 이해할수록, 2°C는 더 이상 어떤 방법으로도 안전하다고 볼 수 없게 되었기 때문입니다. 다음 회차인 2014년도 보고서의 그래프는 심화하는 우려 요인을 더 잘 전달하기 위해 새롭게 보라색을 도입했습니다. 매번 보고서를 낼 때마다 IPCC는 위험과 영향을 평가하여 이전보다 경고의 수준을 높이고 있습니다.


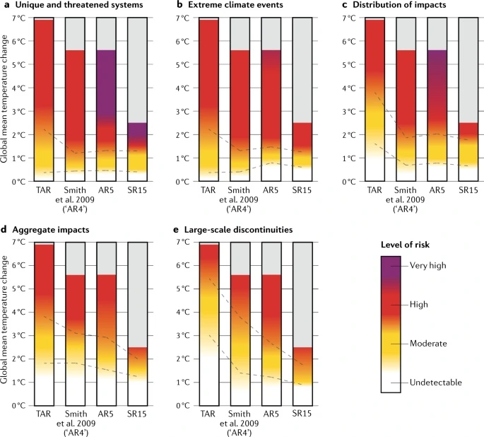
좀머스 외 연구진(2020)은 3차 평가보고서(2001)부터 1.5°C 특별보고서 SR15(2018)까지 그래프들의 변화를 비교함으로써 이를 보여줍니다. 아래 그림에서 보라색이 어떻게 나타나는지, 그리고 각 그래프의 초기 온도에서 위험이 노란색(중간)에서 빨간색(높음)으로 변하는 시점을 주목하면 그 흐름을 알 수 있습니다.


abb0f81e-7ea9d344-d585-4971-9049-4ffab93e8d2c (1).jpeg Zommers, Z., Marbaix, P., Fischlin, A. et al. Nat Rev Earth Environ 1, 516–529 (2020)

3차 평가보고서(2001) 이후 가장 눈에 띄는 변화는 다섯 번째 그래프(RFC5)에서 나타납니다. 2001년까지만 해도 IPCC는 대규모 단일 현상(빙상 붕괴 등)과 관련한 위험이 커지는 온도를 약 5.5°C로 평가했습니다. 위험 평가는 2018년(1. 5°C 특별보고서)에 이르러 대폭 변했습니다. 기후과학의 새로운 발견에 따라 이제 2°C 미만에서도 이미 위험이 커지기 시작했기 때문입니다.


이를 잘 설명해주는 새로운 증거는 지구온난화의 평균 온도 상승이 2°C를 넘지 않았던 지난 간빙기에 일어난 빙상 손실입니다. 관측 결과에 따르면 현재 서남극 빙상은 이미 해양 빙상 불안정성의 초기 단계에 들어선 것으로 관측되었습니다. 대서양 자오선 역전순환의 둔화, 엘니뇨 남방진동과 전 지구적 탄소 순환에서 남극해의 역할에 대한 새로운 연구 결과 또한 낮은 온도에서 위험 수준이 높아졌음을 보여주는 근거입니다.


IPCC 6차 평가보고서의 평가 결과


제6차 평가보고서는 이전 보고서(AR5 및 SR15)와 비교해보면 다음과 같은 결과를 확인할 수 있습니다.
- 위험이 크게 높아짐. ‘우려 요인’ 5개 항목 모두 지구온난화의 낮은 단계에서도 위험도가 매우 높습니다 .
- ‘높음’에서 ‘매우 높음’으로의 이행이 우려 요인 5개 항목 모두에서 나타남. AR5에서는 2개였습니다.
- 실현 가능 범위에 더 높은 신뢰도가 부여되었습니다.


나아가 1.5°C 온난화와 관련해 AR6(워킹그룹 II)는 다음과 같은 결론을 내렸습니다.
"지구 온난화를 1.5°C로 억제하면 RFC3, RFC4 및 RFC5의 위험 수준(중간 신뢰도)은 보통으로 유지되지만, 1.5°C에서 RFC2의 위험도는 높은 위험으로, RFC1은 매우 높은 위험(높은 신뢰도)으로 바뀐다.”


다시 말하면 다음과 같은 결론에 이르게 됩니다.
- 전반적인 위험과 영향은 이전에 예상했던 것보다 빠르게 높아지고 있습니다.
- 1.5°C조차 안전하지 않습니다. 극한적인 날씨나 위협받는 고유생태계와 관련한 위험은 높아질 것이고, 이미 매우 높은 단계로 바뀌고 있습니다.


40d64f21-gp1swz7g_web_size_with_credit_line.jpg 산호는 가속화되는 기후위기로 거의 멸종될 위기에 처했습니다.

더 높은 위험을 경고하는 IPCC 보고서


IPCC는 색상 그래프를 특정한 위험과 특정 이슈, 시스템 평가에 활용하기도 합니다. 예컨대 난대성 산호의 위기는 지구온난화의 폭이 고작 1.1 ° C인 현재 이미 고위험 수준이었습니다.


저명한 IPCC 과학자는 트위터에 이 상황을 이렇게 요약했습니다. "산호는 거의 망했다" 최근 연구에 따르면 산호초의 안전한 피난처는 지구온난화가 1.5 °C에 이르면 거의 사라지게 될 것이라 예측하고 있습니다. 남아 있는 해양생물을 보호하려면, 할 수 있는 최선을 다해 온난화 수준을 2°C 이하로 유지해야 합니다. 생태계의 다른 생명을 위해서도 이것은 대단한 목표가 아닙니다.


63c25ca8-gp0stoabg_web_size_with_credit_line.jpg 그린피스 활동가들이 재생에너지 전환을 촉구하는 배너를 들고 있다

이 모든 것을 어떻게 바라봐야 할까요?


타오르고 있는 것이 더 이상 RFC 불씨만은 아닙니다. 우리의 미래가 불타고 있습니다. 정부와 모든 분야의 산업계, 투자자 및 도시들은 온난화 수준을 1.5 ° C로 억제하는 것을 심각하게 받아들여야 합니다. 그리고 과학자들이 RFC를 점점 더 어두운 색으로 칠함으로써 전하려는 메시지를 진정으로 파악해야 합니다. 우리는 인류와 생태계를 안전하게 유지할 수 있는 한계를 넘고 있습니다.


산호가 사라지면, 우리가 잃는 것은 산호만이 아닙니다. 산호초는 전체 해양생물 중 4 분의 1 이상이 살아가는 서식처이며, 전 세계 해안지역 공동체에 식량과 소득을 제공하고 해안선을 지켜주고 있습니다. 함께 생각하고 이 고통과 분노를 행동으로 바꿔야 합니다. 이 보고서에에 공감한다면, 블로그를 공유하고 그린피스와 함께해 주세요.



keyword
작가의 이전글그린피스와 원주민이 불법 금 채굴에 맞서 싸우는 이유