외적 기제

자기윤리학 4장

by 윤희원


자기윤리학 4 - 외적기제





KakaoTalk_20221026_194242312.jpg?type=w1600




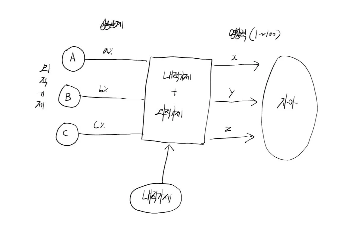
외적기제란, ‘내가 아닌것들로부터 유래된 나에게 영향을 주는 모든 것들’이다. 여기에는 사물, 관념, 사람 등 모든 것들이 포함된다. 외적기제는 나의 자아에 직접적으로 영향을 주는 것이 아니라, 나의 내적기제와 합쳐져서 선별적으로 나에게 영향을 주게 된다. 이로 인해 같은 경험/사물도 사람들마다 다른 영향을 주게 된다. 예컨대, 나에게 특별한 경험 내지 사람이 타인에게는 그리 특별하지 않을 수도 있다. 이를 나에게 주는 ‘영향력’이라고 명칭할 수 있다고 생각한다.



내가 나를 이해하기 위해서는 나에게 큰 ‘영향력’을 행사하는 외적기제를 나열하여 정리해볼 필요가 있다. 그렇다면 어떤 외적기제가 나에게 큰 영향력을 주는지 어떻게 알 수 있는가? 내가 생각하기에 가장 좋은 방법은 기록하는 것이다. 매일 일기를 쓰고 어떠한 생각이나 느낌이 들때마다 그것을 기록하며 나에게 주는 영향을 기록하고 나중에 그것을 평가해볼 수 있을 것이다. 그러나 나는 지금껏 일기를 잘 안 썻기 때문에, 나의 기억과 느낌에 의존할 수밖에 없다는 한계가 존재한다. 그럼에도 내가 지금 생각하기에 나에게 많은 영향력을 준 외적기제들을 나열하면 다음과 같다.


제목 없음.png


위의 표에서 나는 인간관계/지식/경험 으로 외적기제를 분류하고 그것에 기반하여 가장 높은 영향력을 주는 것들을 순서대로 나열을 해보았다. 이 중에서 다 언급하기에는 시간이 너무 오래걸릴 것 같으니, 영향력이 70이 넘는 것들을 위주로 자기이해를 해보고자 한다.



1. 인간관계




1) 가족 (80) : 가족은 나에게 제일 큰 영향을 주는 외적기제이다. 사회학자인 콩트 또한, 사회 통합의 기초가 가족이라고 하지 않았는가, 콩트는 가족이 이기적인 개인을 이타적인 개인으로 만들어주는 매개체라고 보았다. 나 또한, 지금까지 살아오면서 그러한 그의 주장에 동의할 수밖에 없을 정도로, 한없이 이기적이고 어리석은 나를 할머니, 어머니와 아버지는 이타적으로 만들어주었다.


나는 어렸을 때 사고뭉치였다. 친적집에 갈때마다 물건을 깨부셔서 친척들은 나를 타잔이라고 부르고, 내가 올 때마다 물건들을 묶어서 떨어지지 않도록 했다고도 한다. 나는 어렸을 때 물건도 훔치고, 또래친구들도 괴롭혀서 자주 선생님께 불리고 혼나곤 했다. 이런 나를 계속해서 보살펴준 사람이 있다. 태어날 때부터 초등학교 5학년 때 돌아가시기 전까지 내 옆에는 항상 할머니가 계셨다. 할머니는 어린 나에게 지금 돌이켜보면 정말 많은 것을 가르쳐주셨다. 언젠가 내가 문방구에서 초콜릿을 훔쳐서 할머니한테 갖다드렸다가, 할머니가 이걸 훔쳤다는 사실을 알게 되어서 직접 내 손을 잡고 문방구에 가서 사과를 한 적이 있다. 그 이후로 도둑질은 절대 하지 않게 된 기억이 있다. 어머니는 항상 나를 사랑해주셨다. 가끔씩 말을 안들을 때 혼내긴 하지만, 지금까지도 형과 나를 위해 헌신하신다. 어렸을때는 보이지 않았지만, 요즈음에는 그러한 점들이 더욱 많이 보인다. 그래서 앞으로 어머니가 행복할 수 있도록 노력하고자 한다. 아버지는 나에게 많은 지혜를 주셨다. 솔직히 내 아버지는 많이 똑똑한데 게으르다. 머리는 엄청 좋은데, 만사를 귀찮아하시는 경향이 있다. 그래도 막상 문제가 생기면 지혜롭게 대처하신다. 지금까지도 나는 아버지를 많이 동경한다. 그래서 그런지몰라도, 아버지의 한마디 한마디를 귀를 기울여 듣고, 그것에 영향을 많이 받는 것 같다.



2) 여자친구 (70) : 지금은 헤어진 상태지만, 그래도 여자친구로부터 정말 그 전과 후가 아예 다를 정도로 많은 영향을 받았다. 여자친구랑 사귀면서 나는 처음으로 가족이 아닌 타인과 깊은 정서적인 교감을 할 수 있었고, 그로부터 자존감, 나다움, 헌신 등을 배울 수 있었다. 여자친구를 사귀기 전까지는 나는 나에 대해서 잘 몰랐다. 가족은 이미 익숙한 관계였고, 친구라도 그만큼 깊은 관계를 지닌 친구가 없었기 때문이다. 그러나 여자친구를 사귀고 사랑을 하고, 싸우고, 많은 얘기를 나누다보니까 그동안 없던 나다운게 무엇인지 많이 깨달았던 것 같다. 나도 몰랐던 나의 모습을 여자친구를 통해서 배웠던 것이다. 아울러 한 사람에게 헌신한다는 것이 얼마나 힘들면서도 재미있는 일인지를 알게 되었다. 한 사람에게 온전히 몰입한다는 것은 힘들 수도 있다. 그러나 동시에 정말 가치 있고 알차기도 하다. 몰입할 수 있는 사람이 있는지 없는지에 따라서 삶의 질이 많이 달라질정도로 이는 매우 중요하다고 지금은 생각한다.




2. 경험



1) 미국(70) : 내가 미국에 살았던 경험이라는 외적기제로부터 배운 것은 간단하다. 그것은 세상은 생각보다 넓다는 것, 내가 아등바등 살 필요가 없다는 것이다. 미국에 1년정도 밖에 살지는 않았지만, 거의 대부분을 여행을 다녀서 덕분에 많은 사람들을 만날 수 있었다. 여행을 매일 다니면서 든 생각은, “어딜가나 결국 사람은 살아간다.”라는 것이었다. 그렇게 생각을 하니, 내가 고등학교에서 아등바등 좋은 대학을 가려고 공부를 했던 것이 생각보다 보잘 것 없는 것이라는 생각이 듦과 동시에, 세상은 참 다양하고 넓다는 경외감도 들었던 것으로 기억한다.



2) 해양경찰(70) : 미국이 세상이 넓다는 것을 깨닫게 해주었다면, 해양경찰은 사람은 정말 다양하다는 것을 깨닫게 해주지 않았나 싶다. 같은 한국이라는 나라 내에서도 정말 다른 환경에 살고, 다른 사고방식을 가진 사람들이랑 살아간다는 것이 지금 생각하면 정말 좋은 경험이었다고 생각한다. 해양경찰에서 복무를 하면서, 정말 미워하고 싫어하는 사람들도 있었고, 존경하는 사람들도 있었다. 한 집단 내에서도 정말 다양한 사고방식을 가진 사람들이 한데 모여 살아간다는 사실에 놀랐었고, 그러한 사람들로 구성된 집단이 어떻게든 굴러간다는 것도 신기했다. 동시에 같은 동기들끼리, 후임, 선임들이랑 친해지면서 같은 일을 하면서 느끼는 우애를 느낄 수 있었다. 학생시절에는 같이 공부하는 경쟁사이에 가까웠다면, 여기서는 같이 페인트칠하고, 홋줄잡고, 깡깡이질하는 등 같은 집단 내에서 동질성을 느꼈었는데, 그것이 생각보다 정말 즐거웠었다.



이외에도 지식 (철학, 사회학, 역사)이 있지만, 시간관계상 다루지는 못할 것 같다. 전체적으로 외적기제로부터 내가 얻은 영향을 정리해보았는데, 다음에는 내가 외적기제로부터 이렇게 영향을 받게되는데 나의 내적기제가 준 영향을 살펴보고자 한다.




keyword
이전 03화'자기 이해'를 위한 모형 마련하기