문제 7-20: 곱셈의 완성

by 무함

린드 파피루스에서 각각의 풀어야 할 문제는 문장으로 제시됩니다. 문장이 길지 않고 어렵지는 않지만 문제의 내용을 해석하려면 상형문자와 문법을 알고 있으면 좋습니다. 상형문자와 문법에 관해서는 아래의 책이 많은 도움이 될 겁니다.

[도서 미리보기] 이집트 상형문자 해독 가이드 - 다윈의 서재 블로그



대영박물관에 소장된 린드파피루스의 원본은 대영박물관 홈페이지에서 직접 볼 수 있습니다.

Rhind papyrus | British Museum


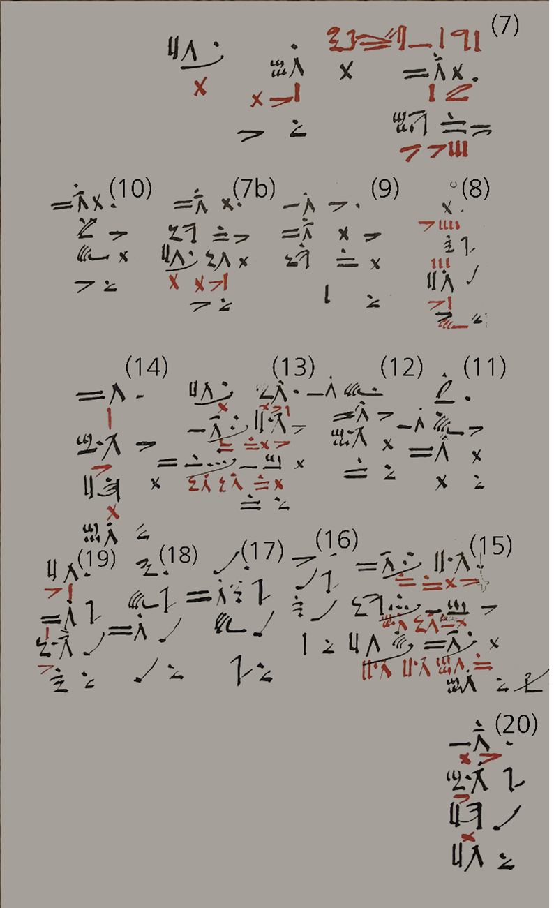
7번 ~ 20번 문제는 분수의 곱셈을 계산하는 문제인데 크게 두 부류로 나눌 수 있습니다. 7번, 9~15번 문제는 어떤 수에 ⁷/₄ (1½¼)을 곱했을 때의 값을 계산하는 문제이고, 8번, 16~20번 문제는 어떤 수에 2 (1⅔⅓)를 곱했을 때의 값을 계산하는 문제입니다. 왜 그 많은 수 중에서 하필 ⁷/₄ 인지, 또 2를 왜 1⅔⅓ 이렇게 풀어서 계산하는지는 모르겠지만 ‘2에 대한 나눗셈’이 있는 파피루스의 첫 장과 마찬가지로 숫자들만 잔뜩 나열되어 있습니다.


그림1.png



7번 문제를 자세히 보겠습니다.


그림2.png


스크린샷 2025-08-31 071945.png

【문제 풀이】

7 문제는 ²/₇(=¼¹/₂₈) X ⁷/₄(=1½¼) 값이 얼마가 되는지 구하는 문제입니다.

❷ 1과 우리가 관심있는 수 ¼¹/₂₈ 써줍니다.

❸❹ 각각 반으로 나눠줍니다. 그런데 나눗셈을 진행할수록 분수가 너무 작아져서 계산이 힘듭니다. 이것을 해결하기 위해서 전체에 28을 곱해줍니다. 이것이 붉은색 숫자가 의미하는 것입니다.

¼ à 7 ¹/₂₈ à 1 이 됩니다.

⅛ à 3½ ¹/₅₆ à ½

¹/₁₆ à 1½¼ ¹/₁₁₂ à ¼

계산이 한결 편해졌습니다. 이제 붉은색의 숫자를 다 더합니다. 그러면 14가 됩니다. 이 수를 처음에 곱했던 28로 나눕니다.

❽ 합계는 ½ 이 됩니다.




여러분은 이미 신관문자 숫자를 알고 있기 때문에 나머지는 여러분이 충분히 혼자서 해독할 수 있습니다.


* 문제 7, 7b

2/7×7/4=?


*문제 8

1/4×2=?


*문제 9

4/7×7/4=?


* 문제 10

2/7×7/4=?


*문제 11

1/7×7/4=?


* 문제12, 13

1/14×7/4=?


*문제 14, 15

1/28×7/4=?


* 문제 16

1/2×2=?


*문제 17

1/3×2=?


* 문제 18

1/6×2=?


*문제 19

1/12×2=?


*문제 20

1/24×2=?




쉽죠?


keyword
이전 14화문제 6: 빵 분배 문제