brunch

직원 동기부여는 어떻게 할까요?[이소프 1기_ep.3]

by 이미커피

*글의 순서

1. 동기부여 고민의 출발점

2. 동기부여 방법 소개 1번.

3. 동기부여 방법 소개 2번.

4. 마치며

5. [이소프] 간략 소개



KakaoTalk_20220907_141737555.jpg

1. 동기부여 고민의 출발점.

이미커피는 '친절함'에 있어서 1가지 까다로운 점이 있습니다.

바로 '모두에게' 입니다.


무슨 뜻이냐면,

어떤 손님에게는 덜 친절하고 어떤 손님에게만 더 친절하지 말자는 것입니다.

만약 친절함에 차별이 발생한다면 차별받은 사람은 이미커피에서 '소외감'을 경험하게 되니까요. 그건 저희가 드리고 싶은 경험이 아니였습니다.


하지만

모든 손님에게 친절하자는 것은 쉽지 않은 일입니다. 처음 본 사람에게, 나와는 관계없는 남에게 미소 짓고 다가가기.. 쉽지 않겠죠?


그래서 '동기부여'를 고민하게 됐습니다. "어떻게 하면 차별없이 친절하게 동기부여될까요?" 정말 쉽지 않은 숙제입니다. 쉽지 않지만 그래도 '소외감'을 드릴 순 없었습니다.


그래서 [이소프]는

'동기부여'에 대해 고민했습니다.

[이소프]가 탐구한 자료는 '논백 리더쉽 전략'입니다.


이 책은

세계 유수의 심리학 논문들을 통해 리더쉽 기술에 대해 알려주었습니다.

특히나 좋은 점은 과학적인 방법으로 연구하고 검증한 가르침들이 많이 실려 있었다는 것이에요. 하나하나 흥미롭고 신기한 연구들이죠.


모든 내용을 다 공개하는 것은 책의 저작권을 침해할 수 있어 2가지만 소개하겠습니다.

KakaoTalk_20220907_141819826.jpg



2. 동기부여 방법 소개 1번

일의 의미를 스스로 알게 하는 것만으로도 성과는 올라간다.


연구 결과에 따르면 일의 의미를 깨닫게 하는 데에 5분만 투자해도 성과가 171% 이상 좋아진다고 합니다. 단 5분만으로 엄청난 효과를 낼 수 있다는 것이 신기했습니다.


연구는 이렇게 진행했습니다.


먼저,

장학금 모금 업무를 하는 콜센터 직원들을 섭외하여 세 개의 그룹으로 나누었습니다.


그룹 A는

일의 의미를 느끼게 해주기 위해 장학금을 받은 학생들과 5분간 대화를 나누게 했습니다. 이때 그룹 A는 아래 두 가지를 알게 됐어요.

1) 자신이 모금한 장학금이 누구에게 가는지

2) 자신이 모금한 장학금을 받은 학생들으 삶이 어떻게 변했는지


그룹 B는

장학금을 받은 학생들로부터 편지를 받게 했습니다.


그룹 C는

아무것도 하지 않고 평소처럼 장학금 모금 일을 했습니다.


그리고 결과는 놀라웠습니다.

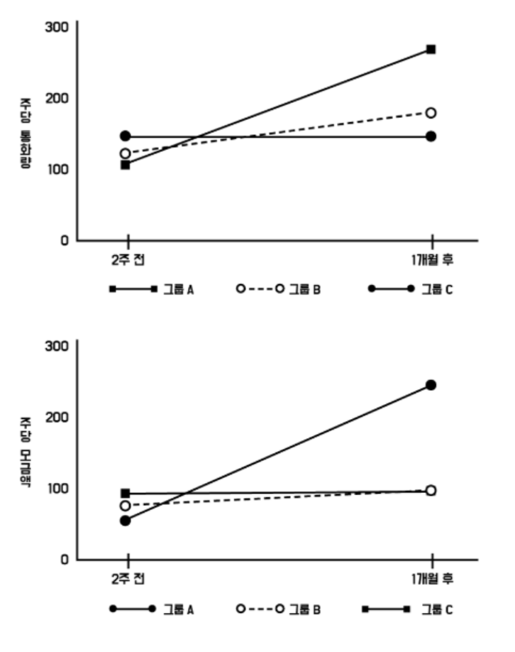
KakaoTalk_20220907_142538909.png 참고문헌: 신병철, 논백 리더쉽전략, 휴먼큐브, 2018, TOPIC1. 리더쉽. 동기부여의 미학,https://digital.kyobobook.co.kr/digital/ebook

일의 가치를 느끼게 해준 그룹 A가 놀라운 성과 상승을 보였습니다.


첫 번째 그래프를 보시면

그룹 A의 '주당 통화량'이 훨씬 많아졌습니다. 무슨 뜻이냐면 같은 업무시간 동안 더 많이 통화했다는 것입니다. 즉, 스스로 업무량을 늘리기 위해 집중하거나 노력했다는 것입니다.


두 번째 그래프를 보시면

모금액의 증가폭은 더 큽니다. 스스로 업무량을 늘렸을 뿐 아니라 실질적인 성과는 더 크게 냈다는 말입니다.


그룹 A와 다른 그룹간 차이점은 단지 '5분간 아이들과 대화를 했느냐 안 했느냐'입니다. 이렇게 일의 의미를 느끼게 하는 데에 작은 시간이라도 투자하면 큰 동기부여가 됩니다.


KakaoTalk_20220907_141848771.jpg

3. 동기부여 방법 소개 2번

일하는 사람이 스스로 계획을 세우면 성과가 좋아진다.


연구 결과에 따르면,

일하는 사람이 일의 계획을 스스로 세우고 리더가 가이드만 했을 때 성과가 좋아진다고 합니다.


이번 연구는 이렇게 진행됐습니다.

같은 일을 하는 사람들을 2가지 그룹으로 나누었습니다.


A그룹에게는

회사가 어떤 일들을 하라고 직접 지시했습니다. 이를 '전통적인 직무 설계'라고 하겠습니다.


B그룹에게는

스스로 모든 것을 계획하고 결정하도록 했습니다. 예를 들어, '일의 시작은 무엇으로 할지' , '일의 끝은 무엇인지' 등을 계획하게 했습니다. 일이 제대로 됐는지 검토하는 방법도 스스로 계획하게 했습니다. 이렇게 일하는 사람이 계획을 세우게 하고 리더가 가이드만 해주었습니다.


그 결과는 아래 그래프와 같습니다.

KakaoTalk_20220907_142631914.png 참고문헌: 신병철, 논백 리더쉽전략, 휴먼큐브, 2018, TOPIC 2. 셀프 리더쉽 정교화,https://digital.kyobobook.co.kr/digital/ebook/e

자신의 일을 스스로 계획하게 한 A그룹이

오류 발생이 35% 적었습니다.

무단 결근은 24% 적었습니다.


생산성은 40% 높았습니다.

고객 만족도는 17% 높았습니다.




4. 마치며


이번 자료를 통해 좋은 인사이트를 많이 얻었습니다. 그럼에도 아직 갈 길은 멀었다고 생각해요. 얼마나 실제 현장에 잘 적용될지는 실행하는 저희의 몫이니까요. 잘 적용하고 실행해서 후기 글을 적을 수 있으면 합니다.







5. [이소프] 간략 소개



이소프-마무리-카드.jpg
이소프-1기-소개_정록님.jpg
이소프-1기-소개_현수님.jpg


keyword
매거진의 이전글여기 단골 되기 쉽지 않다..(이소프 1기_ep.1)