멋있고 따뜻하게 사는 방법

by 굳센바위

며칠 전, 인생 3막을 멋있고 따뜻하게 살아가자는 다짐의 글을 썼다. 그런데 그 글을 마치자마자, 마음속에서 “어떻게?”라는 질문이 들려왔다. 이 질문에 대한 나름의 답을 적어보려 한다.

멋있게 살기 위해 가장 중요한 것은 몸과 마음의 건강이다. 마음의 건강은 뇌의 건강에서 비롯된다. 뇌가 건강하게 작동해야 멋있는 모습을 유지할 수 있다. 그리고 경제적으로 궁핍하면 멋을 지키기 어렵다.

따뜻한 마음을 갖는 것도 마찬가지다. 출발점은 건강과 물질적 여유다. 다만, 멋있기 위한 기준과 차이가 있다면 ‘얼마나 가지고 있는지’보다 ‘어떻게 느끼는지’가 중요하다는 점이다. 많이 가지고 있어도 부족하다고 느끼면 따뜻한 마음을 갖기 어렵다. 가볍게 사는 것이 이러한 한계를 보완해 준다.

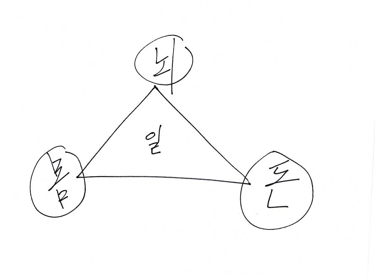
결국, 멋있고 따뜻하게 살기 위해 필요한 것은 건강한 몸과 뇌, 그리고 적당한 돈이다. 이 세 가지는 모두 "일"을 통해 충족된다. 일은 돈을 벌게 해 주고, 몸과 뇌를 단련시킨다. 만약 어떤 일이 몸을 해치고, 뇌를 피로하게 만든다면, 그만두는 것이 맞다. 돈을 조금 벌더라도 몸과 뇌에 이롭다면, 그것은 좋은 일이다.


뇌몸돈.png

일은 꼭 직업만을 뜻하지 않는다. 집안일, 작은 모임, 아르바이트, 봉사, 취미 활동 등도 모두 훌륭한 일이다. 중요한 것은 그 일이 몸과 삶에 긍정적인 영향을 미쳐야 한다는 점이다.


"일"이 몸과 뇌, 돈에 긍정적인 영향을 주도록 하려면 어떻게 해야 할까?
그 답은 나에게 맞는 일을 찾는 것이다. 그러기 위해선 나를 알아야 한다. 나의 장점과 단점을 돌아보고, 내가 잘하고 좋아하는 일을 찾는 과정이 필요하다.

필자는 스스로를 알기 위해 기질테스트, 사주, 그리고 유전자, 이 3가지 관점에서 알아보았다. 기질 테스트는 히포크라테스 기질테스트와 MBTI를 참고했다.

현재 하고 있는 일이 있다면, 그 일과 나 자신의 관계를 분석해 보길 권한다. 일이 나에게 무엇을 주고 있는지, 나는 그 일을 하며 어떻게 변화하고 있는지를 깊이 들여다보면, 앞으로의 길이 조금 더 선명해질 것이다.


keyword
작가의 이전글인생 3막, 멋있고 따뜻하게