brunch

괘씸한 철학번역 2

칸트의 순수이성비판에서 synthesis, a priori

by 코디정


IMG_4212.HEIC


언어 활동은 생각, 사물 또는 세계의 윤곽을 제시하는 활동이다. 철학은 언어 활동이다. 그러므로 철학은 생각, 사물 또는 세계의 윤곽을 제시하는 활동이다. 생각, 사물, 세계의 윤곽을 제시하지 못하는 활동은 철학이 아니다. 철학번역은 외국어로 씌인 철학을 우리말로 번역하는 언어 활동이다. 만약 원문의 철학이 생각, 사물, 세계의 윤곽을 제시하고 있음에도, 그것을 한국어로 번역했더니 그 윤곽을 알 수 없다면, 결국 그 철학번역은 철학을 철학이 아니게 만든 작업이다. 그런데 이런 일이 이 나라에서 너무나 흔하게 벌어진다. 철학서가 마치 서양 밀교의 경전처럼 치부된다. 철학이란 지혜를 사랑하는 학문이라고들 하지만 이 나라에서는 누군가 해설해 주지 않으면 도무지 알 수 없는 비밀의 말씀이 되었다.


지난번 글에서 나는 단어마다 위상이 있다고 말했다. 그리고 그 위상을 수학적으로 모델링하여 행렬로 나타냈다. 다시 한 번 요약한다. 나는 네 가지 항목으로 단어의 위상을 정의했다. 의미 모호성(명백하거나 의심스럽거나), 난이도(쉽거나 어렵거나), 정합도(의미에 맞거나 맞지 않거나), 오해 가능성(의사소통에 이익이 되거나 장애가 되거나)이었다. 각 단어의 위상값(Wp)은 다음과 같이 정의될 수 있다.


괘씸한철학번역1.jpg


그리고 그 값은 0~4 범위의 정수로 나타냈다. 행렬의 성분 값은 낮을수록 좋다. 숫자가 커질수록 단어가 품고 있는 의미가 모호하다는 것이고, 어렵다는 것이며, 잘못된 번역일 수 있다는 것이고, 소통에 불리하다는 의미이기 때문이다. 어느 항목이든 3~4에 해당하는 점수가 하나라도 있으면 원문의 의미를 제대로 전하지 못할 것이다. 그 경우 대안을 탐색해야 한다. 임마누엘 칸트의 <순수이성비판> 번역어로 쓰인 철학용어를 영어 번역어를 기준으로 계속 검증하면서 대안을 탐색해 보자.


synthesis

학자들은 ‘종합’으로 번역한다. ‘종합’은 여러 가지를 한데 모아서 합한다는 뜻을 갖는 단어이다. 여러 가지를 합한다는 의미로는 ‘복합’, ‘합성’, ‘결합’, ‘취합’, ‘조합’, ‘통합’ 등의 단어가 있다. 이들 한국어 단어는 모두 synthesis의 번역어로 손색이 없으나, 철학 분야에서는 예외 없이 ‘종합’으로 번역되어 왔다. 그러나 ‘종합’이라는 단어는 그 위상이 높다. 언어생활에서 이 단어가 실제로 사용될 때, 사람들의 머릿속에서 상당히 모호한 흔적을 남긴다는 점을 학자들이 깨달았으면 좋겠다. 이 단어에는 ‘종합진찰’, ‘종합개발’, ‘종합평가’, ‘종합성적’처럼 어떤 일련의 과정에서 마침표를 찍는 종국적인 뜻이 들어 있다. 그래서 독자로 하여금 그 단어가 갖는 의미와 내용에 대해 민감한 의문을 유발한다. 사람들은 어떻게 끝났는지 납득하기를 원한다. ‘어떻게 종합되었느냐’는 것이며, ‘종합의 구체적인 내용이 무엇이냐’는 것이다. 예컨대 ‘종합평가’의 경우 어떤 식으로 평가되었는지, ‘종합부동산세’의 경우 그 세세한 내용이 무엇인지, ‘종합검진’의 경우 어떤 검진 항목이 들어있는지 등이 그러하다. 즉, ‘종합’은 자명한 단어가 아니라, 궁금증을 내포하는 불명확한 의미의 단어이다. 이 단어의 위상값은 아래와 같다. 사전적 의미로만 본다면 정확한 번역인 것처럼 보인다(정합도 0점). 그러나 앞에서 설명한 이유 때문에 사회적 의미를 기준으로 본다면 모호하고 의문을 남긴다(의미모호성 3점, 오해가능성 3점).



그런데 synthesis는 이것과 저것을 연결하는 정도의 의미로써 칸트가 매우 자명하게 사용하는 용어이고, <순수이성비판>에서 약 350회 이상 등장한다. synthesis를 ‘종합’으로 번역한 결과, 한국 독자들은 이 단어가 사용될 때마다, 수백 번 이상, ‘그래서 어떻게 종합되었다는 거지?’라는 머뭇거림을 품고 말았다. 그런 머뭇거림은 정말 불필요하다. 그러나 한국인은 ‘종합’이라는 단어 때문에 어쩔 수 없이 주저하는 것이다. 이런 사소한 부작용이 철학을 쓸데없이 모호하고 어렵게 만든다.


<순수이성비판>은 인간의 머릿속에 들어가는 작업이었다. 인간의 생각 속으로 들어가는 순간, 철학은 논리학을 만난다. 논리학은 인간 생각의 형식에 관한 학문이기 때문이며, 결국 <순수이성비판>은 논리학 기법으로 저술되어 있다. 논리학에 익숙하지 않는 독자들이 첫 번째 만나는 장벽이 바로 ‘synthesis’라는 단어이다. 자, 이 단어의 본래 의미를 알아 보자.


논리학은 명제에서 시작한다. <독약은 독이 들어있는 약이다>라는 문장을 일컬어 ‘분석 명제’라고 부른다. ‘독약’이라는 주어를 분석하기만 하면 ‘독이 들어있는 약이다’라는 판단이 저절로 나온다. ‘독약’이라는 단어만 있을 뿐이어서 그 단어를 벗어난 다른 의미와는 연결되지 않는다. 인간이 이런 문장으로 어떤 판단을 내릴 때, 그 판단을 일컬어 ‘분석 판단’이라고 칸트는 말한다.


그러나 <게임은 독약이다>라는 문장의 경우, 주어인 ‘게임’을 아무리 분석해도 ‘독약이다’라는 판단이 나오지 않는다. ‘게임’이라는 단어와 ‘독약’이라는 단어는 서로 무관하다. 그런데 하나의 문장으로 연결되었다. 칸트는 이런 명제와 판단을 일컬어 synthesis라는 단어를 사용한 것이었다. 이 단어를 굳이 ‘종합’이라는 위상 높은 단어로 번역하면, ‘종합명제’, ‘종합판단’이라는 표현이 생기고, 이러면 앞에서 살펴본 것처럼, 어떤 숨겨진 의미가 있는 것 같은 인상이 생긴다. 서로 다른 개념어가 ‘연결되었음’을 일컬어 synthesis라고 했을 뿐인데, 한국인 독자는 도대체 그 종합의 ‘내용’과 ‘실체’가 무엇인지 ‘쓸데없이’ 궁금해지는 것이다. <게임은 독약이다>라는 문장에는 숨겨진 의미가 없다. 이 문장은 그저 ‘게임’과 ‘독약’이라는 서로 다른 두 개념이 연결돼 있을 뿐이다.


과거 일본 학자가 synthesis를 ‘종합綜合’으로 번역한 이후로, 칸트를 읽는 한국인은 백 년 동안 이런 번역 부작용의 고통을 감수해야 했다. 마땅한 단어가 없었느냐 하면 그것도 아니었다. 우리에게는 이미 자명한 단어가 있다. ‘연결’이 그것이다. ‘연결’은 ‘종합’과 달리 그 내용을 따지지 않는다. 단지 이것과 저것을 서로 잇는 것을 뜻할 뿐이다. 이 단어의 위상값은 아래와 같다. 정합도를 제외하고 다른 항목들에서 ‘종합’에 비해 단어의 위상이 낮다. 위상이 낮은 단어가 지혜를 공유하기에 더 낫다.



‘종합’ 대신 ‘연결’이라는 단어를 사용하면, ‘종합명제’ 대신 ‘연결명제’, ‘종합판단’ 대신 ‘연결판단’이라는 표현이 나오고, 이것과 저것을 연결한 명제, 혹은 연결한 판단이라고 쉽고 자명하게 이해할 수 있으며, 그것이 바로 칸트가 말하려는 synthesis의 참된 의미였다. ‘복합’, ‘합성’, ‘결합’의 경우, 철학(논리학) 분야에서 다른 의미를 갖는 ‘복합명제’, ‘합성명제’, ‘결합법칙’ 등이 각각 존재하고 있고, 기존 용어와의 혼선 때문에 모호해지거나 소통에 혼란을 초래할 우려가 있어 synthesis라는 단어의 번역어로 쓰기 곤란하다.

IMG_4213.HEIC

a priori

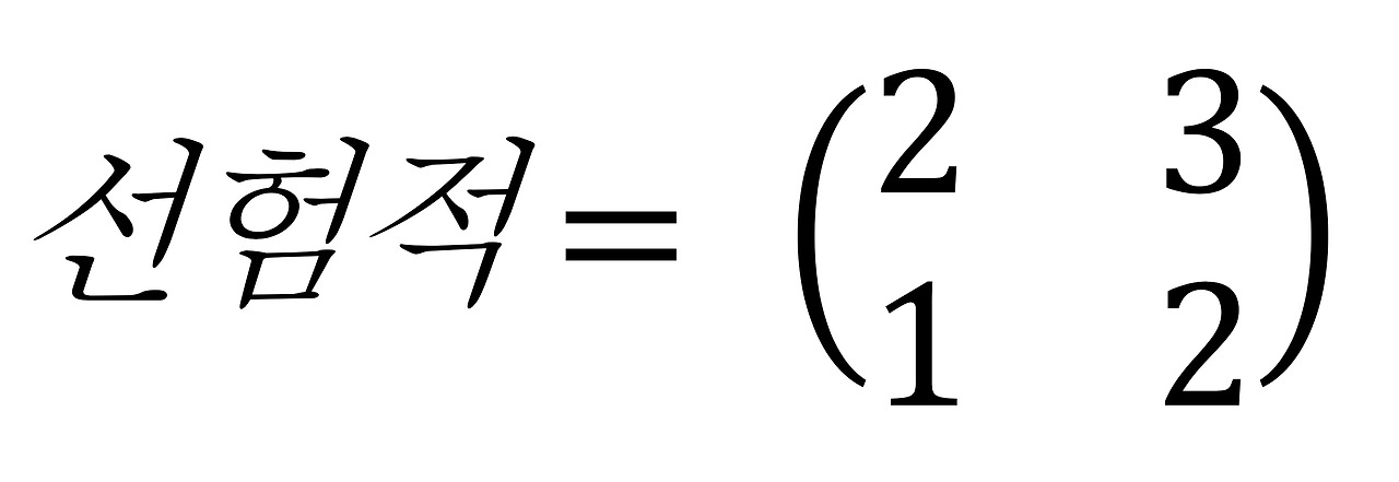
칸트 철학을 대표하는 이 개념어는 라틴어에서 유래된 단어로 ‘경험과는 독립적인, 경험에 앞서는, 비경험적인’이라는 뜻이다. 최재희 선생은 ‘선천적’으로 번역했고, 백종현 선생은 ‘선험적’으로 번역했다. ‘선천적’이라는 단어를 모르는 한국인이 없고, 태어날 때부터 지니는 속성을 뜻하므로 당연히 경험에 앞서고 또한 비경험적인 의미를 갖는다. 이 단어의 위상값은 다음과 같다.


행렬의 각 성분 값이 1에 그친다. 따라서 ‘선천적’이라는 단어는 a priori의 한국어 번역어로 큰 문제가 없다. 괜찮은 번역이다. 반면 ‘선험적’은 일상 생활에서 사용되지 않는 단어이다. 마치 일본인처럼 학자들이 자신들의 필요에 의해 한자를 조합해서 만들어 낸 조어이다. 이 단어의 위상값은 다음과 같다.



‘선험적’은 ‘선천적’이라는 단어보다 나을 게 없는 번역어이다. 무덤에 있는 칸트가 한국의 철학자들이 자신의 철학을 이런 식으로 단어를 발명해서 번역하는 것을 안다면 혀를 찼을 것이다. 칸트는 <순수이성비판>에서 다음과 같이 강조한다. 한국의 학자들이 경청했으면 좋겠다.


“우리 말의 어휘가 매우 풍부함에도 불구하고, 생각하는 사람들은 개념에 꼭 맞는 표현을 자주 찾지 못하고, 이런 결핍 때문에 타인은 물론 심지어 자기 자신에게도 올바르게 지식을 전하지 못한다. 그러나 새로운 단어들을 만들어 내는 일은 무례하게도 언어를 입법하는 것으로, 거의 성공하지 못하니, 이런 의심스러운 방법에 의지하기 전에 지금은 사용하지 않으나 우리가 알고 있는 언어를 둘러보면서 그 개념에 적합한 표현이 있는지 알아보는 것이 바람직하다(B 369).”


한편, 몇 년 전 칸트 학회는 ‘a priori’를 라틴어 음역 그대로 ‘아프리오리’로 번역해야 한다고 주장하면서 그것이 ‘필수 표기법’임을 당당하게 발표했다. 오늘날 철학자들이 사회에서 얼마나 멀리 격리되고 말았는지를 대표적으로 증거하는 사례가 되겠다. 이 단어의 위상값은 다음과 같다. 도무지 채택할 만한 번역어가 아니다.



새로운 단어를 접해 그걸 기억하는 것도 철학의 즐거움이다. 그러나 그걸 소통의 규범으로 삼고자 한다면, 대가를 지불해야 한다. ‘철학 죽이기’이다. 한국인에게는 큰 손해이지만, 칸트 학회 소속 철학자들에게는 대수롭지 않은 것 같다. 철학을 컬트화하면서 철학자가 살고, 칸트를 죽이면서 칸트전공자는 사는 그런 방식처럼 비쳐진다. 칸트 철학에 제대로 입문한 다음에, 철학 용어의 즐거움을 누려도 좋을 일이다. 그러나 그 입문을 방해하는 용도로 쓰여서는 안 된다. 제법 무리 없이 의미를 전할 수 있는 ‘선천적’이라는 단어가 있음에도, 그걸 외면하고 평범한 한국인이 알 수 없는 저 국적 없는 단어인 ‘아프리오리’로 번역해야 한다는 주장은 학자가 자기 지식을 독자에게 강요하려는 엘리트의 욕망이다. 지식 공유가 문화로 자리잡은 이 시대에 극소수의 사람끼리 대화할 수 있는 단어로 칸트 철학을 독점하고 싶은 욕망은 시대에 뒤쳐진 발상이다. 특히 다른 책은 몰라도 <순수이성비판>에서는 불가능하다. a priori는 <순수이성비판>에서 800회 넘게 등장하기 때문이다. 한 권의 책을 한국어로 번역하면서 독자들이 알지도 못하는 ‘아프리오리’라는 단어를 800번이나 반복해서 번역한 <순수이성비판>을 상상하면 내 마음이 다 아프다.



Synthetic judgement a priori

지금까지 검증 과정을 통해 synthetic judgement a priori를 학자들이 ‘선험적 종합 판단’이라고 번역하거나 ‘선천적 종합 판단’으로 번역할 것임을 예상할 수 있다. 또한 칸트 학회에 소속된 학자들은 ‘아프리오리 종합 판단’이라 고집할 것이다. 그러나 ‘선천적 연결 판단’으로 간명하게 번역할 수 있다.


다시 한 번 정리해 보자. ‘종합 판단’의 의미는, 내용을 따지지 않은 채, 문장의 형식(주어와 술어가 관계 맺는 형식)의 성격만을 따지는 논리학 용어로, A 개념의 주어에 B 개념의 술어를 연결한 문장을 뜻한다. ‘종합 판단’과 대비되는 것이 ‘분석 판단’이다. 예컨대 <독약은 독이 들어 있는 약이다>라는 문장은 ‘독약’이라는 주어를 분석하기만 해도 ‘독이 들어있는 약’이라는 술어가 저절로 나온다. 술어는 주어를 설명해 주기만 하고, 이런 문장에서는 술어가 주어의 지식을 확장해 주지 않는다. 반면, <게임은 독약이다>라는 문장의 경우, 주어인 ‘게임’을 아무리 분석해도 술어인 ‘독약’이 나오지 않는다. 이런 문장을 통해 얻는 의미를 ‘종합 판단’이라고 한다. 종합 판단에서는 술어(독약)가 주어(게임)의 특성을 새롭게 규정하면서 주어에 대한 지식을 확장시킨다. 그런데 이런 형식 논리에서는 내용의 타당성이 고려되지 않는다. 즉, <게임은 독약이다>라는 판단이 진짜 맞는 이야기인지 여부는 따지지 않는다. 단순히 서로 다른 A 개념의 주어와 B 개념의 주어가 ‘연결’되어 있는 ‘형식’만이 고려될 뿐이다. 그런데 한국인에게 ‘종합’은 형식적인 속성의 단어가 아니라 ‘무엇이 어떻게 종합되어 있는가?’라는 의문을 낳는 내용적인 속성의 단어이기 때문에, 또한 논리학 용어는 내용과 무관하고 의문을 낳아서는 안되기 때문에, ‘종합 판단’이 아닌 ‘연결 판단’으로 번역하는 것이 바람직하다. 한편 수식어로 사용되는 ‘a priori’는 앞에서 살펴본 바와 같이 평범한 한국인의 일상 언어에 맞게 ‘선천적’으로 번역한다. 그러므로 synthetic judgement a priori는 ‘선천적 연결 판단’으로 번역하면 그만이다.


칸트 철학에서 이러한 ‘선천적 연결 판단’에는 중요한 의미가 있다. 경험을 통해 만들어지는 우리들 지식은 대부분 연결 판단이다. <게임은 독약이다>는 경험을 통해 만들어진 누군가의 지식이다. <게임을 통해 인생을 배울 수 있다>, <철학은 난해하다>, <독서는 마음의 양식이다>, <잘못된 번역이 철학을 망친다> 등은 모두 연결 판단이다. 이렇듯 경험을 통해 만들어지는 지식(명제)들은 ‘후천적 연결 판단’이다.


칸트가 하고 싶은 얘기는 이런 것이다. 어떤 경험 개념이 우리 머릿속으로 들어오고, 우리 인간의 머릿속에서 서로 다른 경험 개념이 연결되는 그런 후천적 연결 판단(지식)이 가능해지려면, 그걸 가능하게 만들어 주는 준비가 우리 머릿속에서 미리 돼 있어야 하지 않는가?


사과는 완벽한 구는 아니지만 동그랗고, 색깔이 있으며, 꼭지 부분은 오목하게 들어가 있는 형태이고, 만져 보면 단단하되 힘을 주면 손톱이 들어가고, 먹을 수 있으며, 먹어 보면 맛이 있다. 이런 몇 가지 데이터가 우리 인간의 머릿속에서 ‘서로 연결’되어, 그것이 사과라는 과일이라고 판단하려면, 누구에게나 그런 연결 판단을 가능하게 하는 구조(형식)가 인간의 머릿속에 ‘선천적으로’ 미리 준비돼 있어야 하지 않겠는가? 예컨대 데이터를 분석하는 컴퓨터에는 그 데이터를 분석할 알고리즘이, 입력되는 데이터와 무관하게, 미리 설치되어 있는 것처럼, 인간의 머리에서도 경험 데이터를 분석할 ‘알고리즘’이 경험과 무관하게 미리 있어야만 하지 않겠는가? 이에 대한 칸트의 답변이 바로 ‘선천적 연결 판단’이고, 그와 같은 인간의 머릿속 형식을 차례차례 설명하고 논증한 책이 <순수이성비판>이다. 경험과 무관하게 서로 다른 것을 이어주는 연결 형식이 인간의 머릿속에 미리 구성되어 있으므로(그러므로 선천적인 연결이다), 경험 자료를 가져오기만 하면 인간의 머릿속에서 연결 판단이 가능해진다는 것이다.


인간은 경험을 통해 데이터를 얻고 그 데이터를 언어화함으로써 지식을 획득한다. 그런 존재가 인간이라는 점에서 서양 사람과 한국 사람은 차이가 없다. 그러므로 한국인에게 어떤 특별한 장애가 있는 게 아니라면, 서양인이 알 수 있는 지식은 한국인도 알 수 있다. 그런데 이 나라의 철학번역은 자꾸 그런 특별한 장애를 만들어 내고 있었다.





책을 출간했어요.

책에서는 위의 위상값의 결과 좀 다릅니다.

좀 더 엄밀하게 생각한 다음

견해를 수정한 부분이 있어요


http://aladin.kr/p/R4HKc

https://product.kyobobook.co.kr/detail/S000208863254




keyword
매거진의 이전글서로 다른 변증법 서로 같은 변증법