brunch

오일러와 태극이라.. 서로 같은 것을 보았군(1)

by 김톨
레온하르트 오일러(1707~1783)와 오일러 항등식



이번 포스팅은 어쩌면 필자의 노바 오딧세아 여정에서 표면적인 난이도가 가장 높은 주제일 수 있다. 수학이란 녀석이 대놓고 수면 위에 올라오기 때문이다. 원래 계획대로라면 전체 연재의 후반부쯤 나와야 될 터인데, 조금 성급하게 등장한 느낌이다. 하지만 상관없다. 깃털을 건드리다 보면 손이 몸통에 닿을 수도 있다. 깃털을 충분히 매만진 다음 몸통에 손을 대면 좋겠지만 사실 그것도 쉬운 일은 아니다. 또 솔직히 말하자면, 겉으로 보기에 어려워 보이는 것들 대부분 알고 보면 별 것도 아니지 않았나? 살아오는 동안 그런 경험들 많았을 것이다.


오늘 다룰 내용은.. 아주 본질적인 주제다. 그런데 아쉽게도 매우 추상적이다. 들어가기 앞서서 헷갈리지 않도록 논점을 두괄식으로 정리해 두자. 오늘은 진짜 좀 그럴 필요가 있다.


#1) 원과 파동은 수학적으로 어떻게 표현되나? 철학적으로는 어떤 의미인가? -> 서양의 철학과 과학, 즉 서양사상의 근간이 그 속살을 드러낸다.
#2) 원과 파동이 생긴 모양을 제외하면 동양의 태극과 무슨 관련이 있나? -> 외관 상의 모습은 물론이고 그 의미까지 동일하다는 점이 객관적으로 확인된다.
#3) 이런 담론이 우리와 무슨 상관인가? -> 정태적 삶에서 동태적 삶으로의 인식전환이 가능해진다. 단순히 교양 차원이 아니라 한 사람의 인생관이 근본적으로 달라질 수 있다.


적고 보니 분량 관계상 오늘 다 못 끝낼 가능성이 높아 보인다. 하지만 용감하게 한번 가 보자.



인과율에 따른 일대일 대응



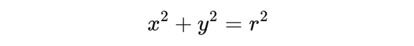
원(圓, circle)이라는 도형의 수식부터 살펴보자! 다들 기억이 가물가물 하겠지만, 실제로 보면 '아 참! 저런 거였지..'하는 생각이 떠오를 것이다. 바로 아래 그림이다.


원의 방정식. 그냥 보면 이상할 것이 없다. 하지만 필자의 노바 오딧세아 여정에 동참하신 여러분들은 이제 저걸 그냥 넘기면 안 된다. 수능시험 볼 때는 아무 문제없지만, 저 그래프에는 분명 이상한 점이 하나 있다. 잘못된 점이 아니라 이상한 점이다.


양자역학이 본격적으로 대두되기 이전까지 서양의 학문적 전통에서 원인과 결과는 1:1 대응이다. 원인을 x, 결과를 y 로 놓고 보면 이해하기 쉽다. 잘 살펴보면 대부분의 수식은 복잡하냐 단순하냐의 차이는 있겠지만 결론적으로 1:1 대응이 된다. x 하나에 y 하나다. x 하나에 y 두 개가 대응되는 경우는 없다. 그 반대도 마찬가지다.



xyz 3차원 공간에 갖다 놔도 그것은 마찬가지다. 이건 그냥 어디서 뚝 떨어진 것이 아니다. 데카르트의 기계론적 세계관, 뉴턴역학, 근대 실증주의와 결정론적 인과론을 관통하는, 서양학문의 근간을 이루는 근본사상이다. 소위 말하는 과학이라는 것은 이 요건을 충족해야 했다. 어떤 결과는 어떤 원인으로 설명될 수 있어야 한다. 이런 시각을 환원주의라고도 한다. 설명이 되는 순간 그것은 법칙이 된다. 어마어마한 무게감이 있다.


그런데 일대일이 아닌 게 나타났다. 다대일 대응이다. 이러면 원래 안 되는 것이다. 대표적인 사례가 지금 위에서 보는 원 그래프이다. x=0 일 때 y값이 하나가 아니고 둘이다. 눈으로 한 번 보시라. x=0 일 때 y값은 저 위에 +1 하나 있고 그 아래 -1 하나 해서 모두 두 가지다. 반대도 있다. 결과값 y는 0인데 원인이 되는 x는 +1 도 있고 -1 도 있다.


원인이 하나인데 결과가 둘이라고? 그런 것이야말로 서양의 전통에서는 제일 싫어하는 것 아닌가? 흔히 비과학적이라고 지칭하는 그런 것이다. 그런데 떡하니 버티고 있는 저 식, 그렇다고 해서 오답도 아닌 것 같은 저건 도대체 뭔가?


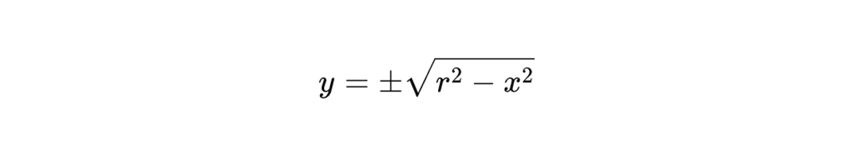
일단 저 위 그래프는 서양의 결정론적 사고체계에서도 전혀 문제 되지 않는다. 왜냐하면 저 수식에 트릭이 하나 숨어있기 때문이다. 위에 표시된 방정식을 y에 대해 풀어서 여차저차 정리하면 아래의 식이 된다.

결국 이 식은 단일한 한 개의 식이 아니라 조건부 수식 두 개를 붙여 놓은 것이다. 그 두 개의 수식을 따로따로 표현하면 아래와 같다. y>0 인 경우에는 왼쪽 식과 그래프, y<0 인 경우에는 오른쪽 식과 그래프가 된다. 똑같이 생겼으나 앞에 부호만 (+)냐 (-)냐의 차이다.



왼쪽 오른쪽 따로따로 보면 일대일 대응에 어긋남이 없다. 그래서 문제가 되지 않는다고 한 것이다. 하지만 여기서 우리는 매의 눈을 부릅뜨고 두 가지 의문을 제기해야 된다. 첫 번째! 저 그림은 무슨 이유로 반반치킨이 된 것일까? 나머지 절반은 어디에 있나? 두 번째! 그렇다면 조건부 반반치킨 말고 그냥 한 방에 그려지는 수식은 없나? 그런 게 있다면 일대일 대응 문제는 어찌 되나?




나머지 절반은 허수에..



먼저 나머지 절반은 어디갔나의 문제다. 기억을 되살려 보자. 그냥 쭉 이어서 그리면 안 되나? 안 된다. 저건 손으로 그린 그림이 아니다. 식을 통해 컴퓨터가 그려주는 것인데, 저건 AI에게 시켜도 그릴 수 없다. 사실 위 그래프도 챗GPT 4o가 그려준 것이다. 그 이유는 저 식에는 작도불가능수가 포함되어 있기 때문이다. 말 그대로다. 작도불가능한 수는 그래프로 그릴 수 없다. 범인은 허수 imaginary number 바로 이 놈이다.

슬슬 기억나시는가? 이게 허수의 정의다. 제곱해서 -1이 나오는, 실제로는 볼 수도 느낄 수도 맡을 수도 없는 말 그대로 허상의 수. 위의 왼쪽 그래프에서 y는 우변값에다가 제곱근을 씌운 것이기 때문에 음수가 나올 수 없다. 따라서 반쪽짜리 원을 수평축 아래로 계속 연결해서 그릴 수 없다. 저 그래프에서 xy 축은 허수를 담을 수 있는 복소평면이 아니라 실수축이기 때문이다. 첫 번째 문제제기에 대한 답이 나왔다. 허수 이 녀석은 실수만으로 구성된 xy 축 그래프 너머 어딘지 모를 허상의 공간에만 존재한다.


그러나 제곱근을 씌워서 음수가 되는 바로 저 허수를 동원한다면 원은 한 개의 단일한 식으로 그려진다. 이제 드디어 오늘의 주인공 레온하르트 오일러 Leonhard Euler (스위스의 수학자, 물리학자 / 1707~1783)가 등판할 차례다. 아래의 식이 바로 오일러의 공식이다. (1)은 좀 복잡하지만 일반모형이고 (2)는 반지름이 1인 단위원을 가리키는 특수형이다. 같은 뜻이다.



위의 (1)식을 이용하면 아래의 그래프를 그릴 수 있다. 앞서 살펴보았던 반반치킨이 아니라 온전한 하나의 단일식이다. 다만 좌표평면에 허수를 표시해야 되므로 가로축은 실수부 Real Part, 세로축은 허수부 Imaginary Part로 구성되는 복소평면으로 바뀐다.


그림은 그려졌다. 비록 좌표축 자체를 허수부로 정의하는 무리수를 두긴 했지만 어쨌건 그렸다. 하자는 없다. 이제 위에서 지적했던 문제들 중 남은 것은 일대일 대응 이슈다. 이 그래프에서도 일단 눈으로 보기엔 최초에 살펴본 원의 방정식 그래프와 같이 다대일 대응으로 보인다. 그렇지만 솔루션은 있다.


자 이제 오늘의 핵심명제로 간다. 집중해야 된다. 초반에 보았던 원의 방정식 그래프와 지금 이 오일러의 공식 그래프는 동그랗게 생긴 도형이라는 점에서만 공통점이 있을 뿐 완전히 다른 그래프이다.


원의 방정식으로 그려진 동그라미는 멈춰 있는 동그라미 (정태 static)
오일러의 공식으로 그려진 동그라미는 움직이는 동그라미 (동태 dynamic)


원의 방정식을 다시 살펴보자.

이 공식에서 애매한 변수는 하나도 없다. 우변의 r은 반지름을 뜻하는 상수이므로 변수가 아니다. 반지름 1. 이렇게 정의하면 끝이다. 좌변의 x와 y는 xy좌표축에 뭐라도 하나의 값을 가진다. 그런 의미에서 애매한 것은 하나도 없다. 자리가 꽉 찬 상태에서 각각 제자리에 앉아있는 모습이다. 계산도 얼마든지 가능하다. 바뀔 것도 변할 것도 없다. 정적이다.


이에 비해 오일러의 공식은.

일단 이것은 살필 때 기존의 실수좌표계인 xy 축이란 것을 머릿속에서 지우는 것이 좋다. 왜 그런고 하니. 일단 우변을 먼저 살펴보자. 오일러 공식의 우변은 수식이라기보다는 전형적인 복소수의 정의를 보여준다. 복소평면에서 실수부가 코사인 쎄타이고 허수부가 사인 쎄타인 복소수라는 뜻 아닌가.


어릴 때 배웠던 단순한 1차 함수 y=x 이런 식에서는 x가 1일 때 y는 얼마, x가 2일 때 y는 얼마, x가 3일 때 y는... 이런 식으로 죽죽죽 좌표평면에 숫자들이 자리 잡는다. 즉 원인변수 하나에 결과변수가 착착착 대응된다. 보통 원인변수는 가로축에, 결과변수는 세로축에 표시된다.


이에 비해 오일러의 공식은 특정한 복소수 한 개를 표시할 뿐이다. 가로축이 원인, 세로축이 결과가 아니다. 자세히 살펴보면 세로축 가로축에는 삼각함수 값이 표시될 뿐 쎄타값이 직접적으로 표시되지 않는다. 그럼 쎄타는 어디에 있을까? 이 그래프 위에 쎄타는 없다. 쎄타는 바로 사인함수와 코사인함수 안에 들어가서 삼각함수 값을 만들어내는 매개변수 역할만 한다. 약간 보이지 않는 손 느낌?




오일러의 원(圓)은 움직인다



이제 제일 중요한 대목이다. 위에서 제시한 그래프를 보면 빨간색 점이 반시계 방향으로 움직이는 것이 눈에 띌 것이다. 그 하나하나의 점들은 한꺼번에 찍힐 수는 없다. 오일러 공식 우변의 사인 코사인 함수 안에 들어가 있는 쎄타 값은 각도를 의미한다. 원형으로 돌아가는 각도(쎄타)가 0도에서 360도 사이의 값을 취할 수 있다.


이 각도 즉 쎄타 값이 딱 얼마라고 정해 주면 그 순간 실수부의 코사인값과 허수부의 사인값이 즉시 정해진다. 그리되면 복소평면 상에 점을 탁 하고 한 개 찍을 수 있다. 즉 쎄타값을 정해줄 때마다 원이 그려지는 것이 아니라 점이 하나씩 찍히는 것이다. 쎄타값을 아주 빨리 촘촘하게 0.1도 0.2도... 이런 식으로 정해주고 그 궤적을 그리면 비로소 원이 될 것이다.


필자는 편의상 위 그래프를 만들 때 360도를 12 등분해서 12개의 쎄타 값(각도)를 제시했고, 그 결과 12개의 점들의 좌표가 만들어졌다. 위의 빨간 점들은 그렇게 해서 찍혀진 것들이다. 쎄타 하나에 점 하나다. 다시 말해 복소평면에서 오일러의 공식은 어떤 점이 원형으로 움직이는 것을 표현한다는 뜻이다.


모든 경우의 수에 해당하는 궤적을 선으로 이어 연결하면 마치 정지된 원인 것처럼 보이지만, 본질은 원형으로 도는 움직임이다. 원의 방적식이 정적인데 비해 이건 동적이다. 동적이되 처음 시작점으로 다시 회귀하는 순환적 성질 또한 간파해야 한다.


결론이 나왔다. 단일한 식 오일러의 공식으로 기술된 원은 움직이는 점들의 원형 궤적을 의미한다. 이것은 다대일 대응과 어떤 관련이 있는가? 필자의 견해로는 다대일 대응의 문제는 발생하지 않는다. 오일러의 공식으로 한꺼번에 모든 점을 찍을 수 없다. 동시에 찍히지 않은 것을 두고 다대일 대응이라 볼 수는 없다.


차라리 순차적 대응관계로 해석해야 될 것이다. 시차가 있다는 뜻이다. 시간이 경과하는 또는 매개변수가 달라지는 과정에서 동일한 결과가 또 나올 수도 있다. 오일러의 원과 같은 동태적 모형에서는 원인 하나에 결과 두 개와 같은 다대일 현상은 얼마든지 관찰될 수 있다. 오일러 이전까지 서양에 이런 모형은 없었다.


실제로 서양과학은 현대로 접어들면서 양자역학, 복잡계, 심리학 등 다양한 다대일 현상에 마주쳤으나 초반에는 기계론적 시각으로 인해 솔루션을 찾지 못하다가, 오일러의 공식을 통해 비로소 동학(動學)의 형태로 해법을 찾아나가기 시작했다.


이렇듯 서양과학에서 동학 관점으로 접근할 수 있는 유효한 모델은 실질적으로는 오일러 공식이 유일하다고 본다. 이에 비해 동양에서는 태극과 음양오행론을 통해 인문사회학 관점의 동태적 솔루션을 마련했다고 볼 수 있다.


딴 건 몰라도 저 위의 그래프가 정지된 원이 아닌 움직이는 원이라는 것을 이해하는 것이 그래서 중요하다. 앞으로 더 넓은 분야로 진도를 빼기 위해서는 이 부분에 대한 이해가 반드시 필요하다. 설명에 최선을 다했지만 이보다 더 쉽게 설명할 능력이 필자에겐 없다. 이젠 독자 여러분들의 자율학습 시간이다.


"그래서 뭘 어쩌겠단 얘긴가?"에 대한 답변은 다음 주에 이어진다.




(다음 편에서 계속 / 매주 토요일 연재)



#오일러 #수학 #원 #허수 #동학 #복소수 #인문학

keyword
매거진의 이전글커너먼의 마음함수와 파동, 그리고 태극