brunch
매거진 과학일기

기술가치평가란 무엇인가?

기술경영대학원수업_기술가치평가 오리엔테이션

by 낭만민네이션

0. 들어가기


세상을 어떻게 바꿀까? 이런 고민을 하고 산지도 어언 20년이 지났다. 그 동안 국제정치학과 헌법을 공부하고 방통대에 다니면서 교육학도 공부했다. 그리고 석사를 하면서 제도론을 배우고 행정학과 공공정책도 배웠다. 그리고 나니 이제 내게 남은 것은 어떻게 바꾸는가를 넘어서 '어디를 먼저 바꾸고, 무엇을 바꾸면 매개적으로 바꿀 수 있을까?'라는 생가을 하게 된다. 그래서 이번학기는 기술철학을 실현할 수 있는 방법으로 구체적인 내용을 고민하고 살펴보고자 한다. 이름하여 '기술가치평가', '디지털변환과 법', '플랫폼 정부와 과학기술정책'과 같은 것들이다. 이제 어떻게 보면 '변화의 도메인'을 찾았다고 할까?


그래서 이번학기에는 무형자산에 대한 가치평가와 유형자산에 대한 가치평가 방법, 수익접근법, 분석적계층절차, 분석적네트워크절차, 컨조인트분석, 비시장재 가치평가, 불확실성 하의 동태적 가치평가와 실물옵션 가치평가와 같은 것들을 배우고 연구한다. 기본적으로 나에게 친근하진 않지만 계속해서 가지고 있던 질문에 대해서 답을 하려면 나의 한계와 계속 만나고 넘어서야 한다. 그래서 이번학기도 무한의 도전이 진행된다. 오늘은 첫시간으로 가치평가의 개념과 가치평가라고 할 때 사용하는 방법론과 표기법 그리고 시장에서 어떻게 사용되고 있는지를 알아보려고 한다. 대장정의 시작이다. 그럼 일단 가치평가의 개념부터 살펴보도록 하자.




1. 가치평가의 개념


가치평가라는 것은 무엇인가? 기본적으로 가치를 측정한다는 것이다. 영어로는 valuation이라고 한다. 가치에 대해서 일정한 기준으로 평가를 매긴다는 것이다. 그런데 '가치'란 무엇인가? 가치는 철학적으로도 사용되지만 경제학적으로 사용되기도 한다. 철학적으로 보면 칸트가 이야기한 실천이성의 비판에서도 볼 수 있는 '당위성'이지만, 철학이 아닌 경제학으로 보면 가치는 효용이라는 utility라고 한다. 이렇게 치환하는 것은 당연히 공리주의의 일환으로 '좋다'라는 기반에 '어느정도'로 좋은가를 판단하는 기준이 된다. 효용성이 있는가는 곧 '나에게 좋은가? 우리에게 좋은가? 좋다면 얼마만큼 좋은가?'를 판단해보는 것이다. 공리주의적인 관점에서 신고전학파의 경향을 따라가보면 효용성은 가장 쉽게 판단할 수 있는 기준이 있다. 그것은 당연히 '화폐'이다. 대표적으로 화폐를 사용하지만 그 외에도 기준점으로 잡을 수 있는 것이 많이 있기는 하지만 '돈으로 표현'하는 것이 경제학에서는 효용성에 대한 기준이 된다.



가치평가의 대상은 길을 걷는 것, 사람을 만나는 것, 대화하는 것과 음악을 듣는 것과 같이 일상에 대해서 효용을 따지기도 하지만 물건을 사거나 주식을 사는데 있어서는 더욱 더 효용성을 화폐가치에 의해서 판단할 수 밖에 없다. 그러니깐 우리는 자본주의의 세례를 받은 결과 모든 선택에 있어서 효용성을 따지고 이 효용성은 '화폐'에 빗대어서 한다는 것이다. 그러니 우리는 사실 대부분의 도시의 삶을 가치평가와 함께하고 있다고 할 수 있다. 일정한 화폐를 기반으로 효용성을 측정하는 것이 바로 가치평가, valuation이다. 이러한 가치평가의 대상은 평가주체에게 가치를 제공하는 모든 것이 된다. 맑은 공기와 아름다운 풍경, 물품, 편리한 서비스 등등 모든 것들이 가치평가의 대상이 되는 것이다.



2. 가치는 어떻게 표현하는가_가치표기법


가치를 표현하는 방법은 4가지가 있다. 무표기법과 기수적 표기번, 서수적 표기법, 비중이나 우선순위로 표기하는 방법들이 있다. 보통은 서수적 표기법을 가장 많이 사용하기도 하지만 그룹이 커지면서는 비중을 사용하거나 우선순위를 사용하기도 한다. 아래와 같은 요소들을 살펴보면, 우리가 언제나 가치평가를 이름만 달랐지 어떤 방식으로 사용하고 있었다는 것을 알 수 있다. 전문성이라는 것은 이러한 표기법을 상황과 맥락에 맞게 사용하는 것을 말한다. 그럼 하나하나 알아보면 다음과 같이 4가지로 구분해 볼 수 있다.


1. 무표기법
- 당사자만 알고 있는 효용이면서 그냥 알고 느끼는 것을 말한다.
- 표현을 할 수도 있고 안할 수도 있는 아무런 효과를 가지지 않는다.

2. 기수적 표기법, cardinal
- 벌어드니는 돈의 금액이나 기타 쾌락의 크기가 절대적으로 표현될 때 기수적 표기법이 된다.
- 비교가 아닌 표기법이다 보니 건물이 200억이다, 차량이 5000만원이다와 같이 표현한다.

3. 서수적 표기법, ordinal
- 서수적 표기법은 등급이나 순위와 같이 표기된다.
- 상대적 표기법이기 때문에 비교 대상이 있을 때만 사용할 수 있는 방법이다.
- 우리 학과과 다른 학과보다 좋다라던지, 우리회사가 다른 회사보나 우수하다라는 것이다.

4. 비중weigh 또는 우선순위prioty표기법
- 기수적 표기법을 변형하여 우선순위를 매기거나 비율을 표기하는 것을 말한다.
- 4가지의 대안에서 1번이 30%, 2번이 10%, 3번이 45%, 4번이 15%라면 비중이 정해지는 것과 같다.


한편 가치평가를 지칭하는 용서는 assessment, evaluation라고 부를 수 있지만 가치평가는 반드시 화폐액으로 표현하는 것을 말한다. 그래서 화폐액monetary value에 따라서 가치평가가 이루어지면 appraisal, valuation이라고 쓴다. 그래서 보통 주식가치를 평가할 때 stock valuation이라고 한다. 마찬가지로 부동산의 경우에는 real estate appraisal이라고 한다. 표기법으로는 당연히 화폐액이기 때문에 000원, 00달러가 된다. 이러한 방식으로 기술가치평가보고서를 낼 때는 로열티공제법(NPV)나 기술기여도법(NPV)를 주로 사용한다. 산업통상 자원부에서 기술가치평가를 할 수 있는 곳을 기술보증기금, 신용보증기금, 전자통신연구원, 농업기술진흥원과 같은 곳에서 기술가치평가를 할 수 있다.



3. 기수적 효용과 잉여surplus


자본주의 사회에서 일단 움직이면 모든 것에 돈이 든다. 음식을 사먹든지, 기계를 구입하던지, 책을 사던지, 영화를 보던지 간에 항상 돈이 든다. 그럼 이것을 기수적인 효용성으로 보면 자신이 구매한 것들의 효용성을 화폐가치로 판단할 수 있다. 그러면 당연히 시장 가치보다 싸게 살 경우와 비싸게 살 경우가 다르게 된다. 물론 가격과 가치는 동의어는 아니지만 시장에서는 서로 연결되어서 사용된다. 자산과 가치 혹은 효용과의 연결성에서 보면 총가치와 순가치의 차이 그리고 총효용과 순효용의 차이가 발생한다. 각각 비교해 보면 다음과 같다.


1. 총가치total value, 총효용total utility : 자산이 제공하는 효용의 총합을 말한다.
2. 순가치net value, 순효용net utility : 자신이 제공하는 효용 자산을 취득하는데 있어서 소용되는 비용을 차감하고 남은 순가치를 말한다.

이러한 기본 개념을 익히고 나면 소비자 잉여와 생산자 이익을 살펴볼 수 있다. 소비자잉여consumer surplus는 경제학에서 가장처음에 배우는 '이 금액을 지불하고 사려고 하는 의사가 있는가?'라는 Willingness To Pay라고 하는 최대지불의사WTP에서 실제로 구매한 금액을 뺀 것을 말한다. 그러니깐 100만원을 지불할 의사가 있는 핸드폰이 있었는데 70만원에 할인해서 샀다면 소비자잉여가 증가했다고 볼 수 있는 것이다. 생산자잉여는 당연히 그 반대로 생산한 비용보다 더 높은 가격으로 판매했을 경우에 해당한다.


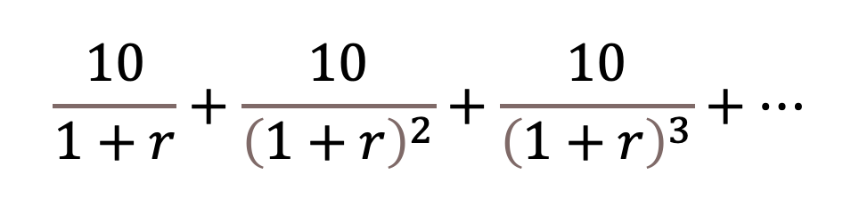
총가치와 순가치의 예시를 들어보자. 현재 특정한 건물을 구매한다고 생각해보자. 년간 순임대료가 10억씩 영구히 발생한다고 예상해보면 부동산의 총가치는 얼마나 될까? 그러면 아래와 같이 1+r(미래수익의 현재가치할인율)분의 10을 무한급수로 더하게 된다. 영구히 발생했다고 가정했을 때 말이다. 그러면 결국 10/0.05가 되어서 현재의 특정한 건물의 가치는 200억이 된다. 그리고 이러한 건물을 200억이 아니라 180억에 샀다고 하면 순잉여가치는 20억이된다. 이러한 상황은 당연히 매수자와 매도자 간의 협상에 의해서 정해진다. 이러한 방식으로 쉽게 가치평가를 해볼 수 있지만 이렇게 쉽게 정해지면 세상만사가 얼마나 쉬울까? 당연히 문제들이 발생할 수 밖에 없다.



4. 기술가치 측정의 어려움


그러나 언제나 효용은 대부분이 미래에 발생하기 때문에 불확실성이 생길 수 밖에 없다. 미래가치에 대해 현재의 할인율이기 때문에 미래가 달라지면 현재가치의 할인율이 높아진다. 그래서 모든 가치평가는 항상 '미래와의 싸움이면서 미래에 대한 예측'에서 시작한다. 불확실한 미래를 예측해서 가치를 평가하고 그에 맞게 서로 협상하는 것이 어긋나게 될 때 부동산에서는 갭투자가 일어나게 된다. 가치평가는 언제나 어림짐작 내지는 기대에 의존할 수 밖에 없다. 그러니깐 실제로 비용을 어디까지 포함하여 계산할 것인가라는 고민을 할 수 밖에 없다. 화폐비용 혹은 기타 비화폐 기회비용oppotunity cost의 범위를 측정해야 한다. 그러나 본질적으로 효용은 마음의 상태이다. 문제는 사느냐 죽느냐가 아니라 이것을 어떻게 측정할 것인가?이다.


결국 다시 경제학과 기술평가는 '마음'으로 돌아온다. 효용을 계산하는 가장 기본적인 접근은 사람들의 마음에 대한 이해가 된다. 아브라함 매슬로의 욕구기반으로 효용을 나눌수도 있고, 희소성으로도로 나눌 수 있고 빈도수로도 나눌 수 있고, 무한대에 대한 유한성으로도 나눌 수 있다. 그러나 측정은 항상 쉽지 않다는 것이다. 구체적으로 기술에 특수한 문제가 존재하게 된다. 기술은 사업화를 하기 이전에는 지식형태로만 존재하게 된다. 기술이 시제품으로 시작하기는 했지만 사업화를 하는 과정에서 일어나는 다양한 문제와 손실의 발생까지도 계산하는 것이 쉽지가 않다. 그래서 어떻게 해야할까? 결국은 불가피하게 가상의 사업화를 가정하고 가치평가를 하게 된다. 예를 들면, 매출액과 비용 추정 후에 잉여가치의 총합을 계산한다던가, 현재 효용에서 기술이 기여한 부분이 어느정도인가를 측정해야 한다. 쉽지 않은 일이다.


모든 가치평가는 어렵지만 특히 기술에 특수한 문제 중에 또 다른 하나는 한 상품에 투입된 기술이 하나만이 아니라는 것이다. 핸드폰을 만들 때 기술이 포함된 제품요소들은 셀수 없이 많다. 그러면 두가지로 나눌 수 있다. 첫번째는 외부로부터 매입지용이 측정이 가능한 경이다. 이때는 여러부품의 로열티를 계산하고 이미 지불한 비용을 뺀 다음 측정하는 것이다. 두번째는 내부의 보유한 무형지식이 기여한 정도를 보는 것이다. 이때는 먼저 지식의 범위를 정해야하고, 다른 무형지식과 비교해서 기여도를 평가해야 한다. 또한 대상 지식 이외의 대상자원에 지출된 비용을 차감하여 잔여액을 계산하는 방법이다. 물론 매우 애매하고 모호하지만 이 방법이 아니면 하 ㄹ수 있는게 많지 않다.




5. 가치평가의 용도와 종류


그럼 조금 정리를 해보자. 자산과 가치평가를 구분해보자. 자산은 asset이며 미래에 기대되는 효용을 말한다. 예금통장이나 회사채, 채권이나 어음, 미수금과 재고자산 등등을 포함하는 것이 바로 자신이다. 물론 여기에는 부실채권과 기계, 컴퓨터, 특허권과 브랜드 소유권, 저작권, 면허까지도 포함된다. 이에 반해서 가치평가는 '특정 평가시점'을 기준으로 미래에 기대되는 효용의 크기를 화폐액으로 평가하는 것을 말한다. 이러한 가치평가는 그래서 일정한 기준점이 필요하다. 물건의 매도와 매수시 협상의 기준점 설정이 필요하며, 기업지분거래와 증권거래, 무형자산 거래와 부동산 거래 등등 현재시점에서 어떤 기준으로 평가할 것인지에 대한 출발점을 먼저 설정해야 한다.


이러한 가치평가를 통해서 기업은 지분 거래를 할 수 있고, 증권을 채권이나 파생상품으로 만들어서 판매할 수도 있다. 또한 무형자산을 가치평가 매겨서 사고파는 행위를 할 수 있다. 당연히 부동산과 고미술품 그리고 귀금속의 가치도 평가하여서 매도할 수 있고 매수할 수 있다. 또한 물건의 상속 또는 증여시 과표구간을 설정하여 가치평가에 대한 세금을 매길 수 있다. 물론 가장 많이 사용되는 것은 손해배상액을 산정할 때이다. 특허침해나 손해배상액 산정, 사고로 인해서 손해배상액을 결정하거나 이혼시에 위자료를 계산할 때도 가치평가가 사용된다.




6. 가치평가와 식별성indentifiability


분리가능성과 양도가능성


결국은 어떤 물건이든 가치평가를 수행할려면 식별성을 충족해야 한다. 식별성을 충족하기 위해서는 분리가능성seperability가 있어야 하고 양도가능성transferrability이 있어야 한다. 물론 비시장재에 대한 가치평가는 다르게 해야 한다. 분리가 안되고 양도가 불가능하기 때문이다. 대부분의 유형자산은 식별성을 충족한다. 무형자산은 식별성이 충족되는 것과 그렇지 않은 것이 있다. 참 복잡하다. 가치평가를 하려면 말이다. 우리는 대부분 기술을 사용하는 기업에 대한 평가를 하게 된다. 그러니깐 기업을 기반으로 생각할 수 밖에 없는 것이다. 기업은 자산들의 집합체이다.

엑셀을 발명한 찰스 시모니가 가진 지식은 어떻게 가치평가를 할 수 있을까? 어렵다.


여기 한가지는 재산과 자신이 다르게 사용된다는 것이다. 경제적으로 효익을 창출하는 배타적 물건은 법률적으로는 배타성을 중심으로 보기 때문에 재산property로 본다. 그러나 회계적으로는 경제적 효익을 더 강조하기 때문에 자산asset으로 규정한다. 효용을 강조하는가 혹은 배타성을 더 강조하는가에 따라서 달라지는데 보통 기술평가를 할 때는 property보다는 asset을 쓴다는 것을 알아야 한다. 이러한 방식으로 구분해보면 지적소유권, 무체재산권, 무형자산, 지식재산, 지식자산 등등으로 사용되지만 의미적으로는 대부분 자산의 관점에서 본다는 것을 알아야 한다. 가치평가를 하려면 말이다.

무형자산의 종류_국제재무보고기준상의 무형자산의 분류



7. 가치와 가격


가치는 앞에서 살펴본 대로 주관적인 평가를 말한다. 매도자의 입장에서는 지불받아야할 최소금액을 생각하지만, 매수자의 입장에서는 지불할 의사가 있는 최대금액을 말한다. 그러나 가격은 한 시점에서 한 거래에 대하여 수요와 공급의 원리로 결정된 하나의 지불합의의 금액을 말한다. 여기서 지불합의 수준에 이르는 과정을 협상이라고 한다. 보통 가격은 일몰일가의 법칙이 적용된다. 거래되는 시점에서는 오직 하나의 가격만 있어야 하기 때문이다. 물론 가격을 보고 사려는 사람의 마음은 항상 달라질 수 밖에 없다. 가치와 가격은 동일어가 아니다. 가치가 높아지면 지불의사가 커지게 되고 거래가 성사된다. 그러나 가치가 낮아지면 지불의사가 떨어지면서 가격이 높다가 느껴서 구매하지 않게 된다. 수요공급 곡선에서 중요하게 생각해야할 것들은 가격이 정해지는 지점, 그 시점이 바로 가치가 평가되는 시점이라는 것이다.


가치와 가격의 괴리

활성시장 : 지속적인 가격결정 정보를 제공하기에 충분한 정도의 빈도와 규모로 자산이나 부채에 대한 거래가 이루어지는 시장을 말한다. 이것을 활성시장 즉 active market이라고 부른다. 여기는 국제적 기준인 IFRS이 규격을 따른다.

공정가치 : 활성시장에서 합리적인 판단력과 거래의사가 있는 독립된 당사자간 거래를 전제하고 평가된 가치를 말한다. 그래서 공정가치는 fair value라고 한다.

공정가격 : 공정가격은 활성시장에서 공정한 가치에 의해서 체결된 가격을 말한다. 그래서 이것을 fair price라고 부른다.

가격왜곡 : 가격외국은 빈번하게 충분하지 않고 외곡된 가격으로 독점, 협상력의 편중, 정보부족이나 강제에 의해서 이루어지는 체결을 말한다. 가격왜곡은 price distortion이다.


공정가치를 어떻게 측정할 것인가?

출발점 내지 최선책 : 시장에서 이미 최근 거래 사례가 있는 동일 자산의 가격

차선책 1 : 시장접근법market approach를 통해서 최선책 가치를 일정한 기준에 의해 상향 또는 하향 조정한 금액을 말한다.

차선책 2 : 비용접근법cost approach, 자산접근법asset approach

차선책 3 : 수익접근법Income approach이다. 미래에 자산보유자에게 귀속할 것으로 예상되는 순현금유입액(Net Cash Flow)을 현재가치로 합산하는 것을 말한다.



0. 나오기


첫 시간인데 엄청나게 많은 이야기를 듣고 또 새로운 내욕을 익히게 되었다. 가치가 핵심이다. 가치를 어떻게 평가하고 측정하는가가 핵심이며 지금도 여전히 어디선가는 새로운 가치가 발생하고 그 가치를 통해서 새로운 측정방법이 등장하고 있는 것이다. 그리고 측정방법에 따라서 새로운 가치는 새로운 가격으로 시장에서 거래하고 있을 것이다. 기본적인 가치평가의 방법을 익혔다면 조금씩 기술에 대한 가치평가를 할 때가 올 것이다. 최근에 인플루언서들을 담보로 해서 주식이 생겼고 채권이 발생된다고 한다. 그럼 이것도 당연히 기술가치평가를 해야하고 이에 대한 가격을 매겨야 하기 때문에 오늘과 같은 고민들이 필요하게 되는 것이다. 이제 시작이다. 앞으로 조금씩 조금씩 배우고 또 새로운 시각으로 사회를, 자산을, 재산을, 가격을 바라보자.




https://brunch.co.kr/@minnation/3310


keyword