brunch
매거진 과학일기

미래가 불확실할 때 가치평가

미래 현금흐름 불확실성을 반영한 가치평가_기술가치평가

by 낭만민네이션

0. 들어가기


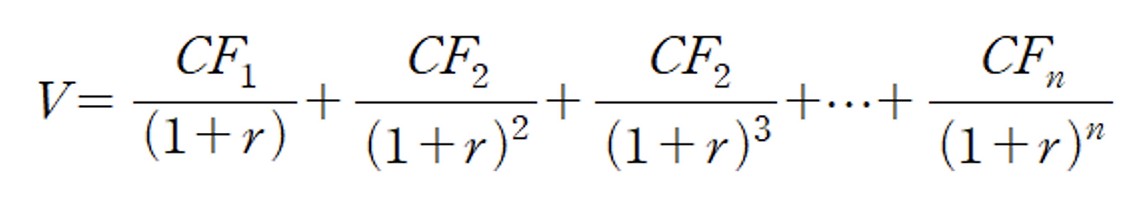
보통 앞에서 살펴본 것처럼 전형적인 정태적(static) DCF는 미래 특정 기간 중 비교적 확실하게 예상되는 하나의 현금흐름 경로 CF1, CF2, CF3 , . . ., CFn를 가정한 방법이라고 할 수 있다. 따라서 이런 방식으로 현금이 발생할 것을 예정하면 고정수익증권(Fixed Income Security)을 만들 수 있다. 고정형 수익증권은 채권처럼 고정된 이자 수익과 원금 상환이 예상되는 경우를 말하며 비교적 확실성 있게 예상되는 배당률을 받을 것이기 때문에 가치를 평가할 수 있다. 같은 방식으로 예상되는 고정 임대료 수익이 나오는 부동산에도 적용할 수 있기 때문에 가치평가는 기술에도, 부동산에도, 존재하는 모든 것에도 적용해 볼 수 있다.


스크린샷 2023-12-05 오후 7.06.04.png


그러나 문제는 미래의 불확실성이다. 미래 현금흐름은 고정된 금액이 아니며, 경우의 수가 무수히 존재하기 때문에 어렵다. 만약 신기술 제품 매출 추정한다고 생각해보자. 그러면 우리는 생각해볼 수 있다. 과연 어떤 시장(market)을 열 것인가를 예측하는 것은 사실상 불가능 하다고 볼 수 있다. 만약 CD플레이어가 새롭게 발매된 시기에는 단순히 기계만 팔리는 것이 아니라 연관된 CD의 판매량도 살펴보아야 하고, 음악 시장도 변동되기 때문에 변수가 많아진다. CD는 나중에 MP3플레이어가 나오면서 사양사업으로 바뀌게 된다. NFT와 비트코인은 그 자체로 DCF를 계산할 수 없고 이것이 어떤 영향을 가지고 있는지 연쇄반응을 생각해야 한다.


결국 매출 추정의 주요 전제가 확정되어야만 비로소 수익접근법 적용 가능하게 된다. 이를 위해서는 고객 정의가 현실에서 이미 구체화된 상태가 되어야 하고, 고객의 범위를 합리적인 범위에서 가정(assumption)을 할 수 있어야 한다. 그렇다면 어느정도 추정치를 계산할 수 있게 된다. 당연히 최초의 사업 가정(business assumptions)은 반드시 바뀐다.환율, 원재료비, 시장점유율, 거래선 변화, 경쟁기업 상황, 정부 정책 등 그 변화가능한 영역은 사실상 무한대로 바뀐다. 따라서 고객측면, 기술측면, 정부정책측면을 보고 최초의 계획에서 전략을 수정해야 한다. 수정하는 가운데 미래의 불확실성에 대한 대응이 필요하다. 오늘은 그 방법을 알아보고자 한다.


사업 불확실성을 감안한 현금흐름 추정과 가치평가 필요성

시나리오(scenario) DCF

동태적(dynamic) DCF에 의한 가치평가

실물옵션(Real Option) 가치평가



1. 미래가 불확실할 때 가치평가방법


미래가 가치가 불확실할 때 위에서 본 것처럼 시나리오 DCF기법을 가장 많이 사용한다. 시나리오 기법은 그 자체로 일반적인 경영학에서도 많이 사용하지만 현금흐름을 추정하는데 있어서 요긴하게 사용할 수 있다. 특히 변수가 많을 경우에는 모든 변수를 고려해서 임팩트를 측정할 수 없기 때문에, 시나리오를 어떻게 세우는가에 따라서 사업의 현실가능성과 실패가능성의 차이가 현격하게 드러나게 된다.


시나리오 DCF


불확실한 미래에 대응하는 첫번째 방법은 '시나리오 기법'을 적용하는 것이다. 사업의 모든 영역에서 변화의 가능성은 높으나 상대적으로 변수의 가중치가 달라질 수 있다. 물론시나리오는 사업 가정 어느 영역에서도 발생할 수 있다. 따라서 가장 중요한 변화 가능성이 있는 소수의 영역에서 3가지 시나리오로 압축하는 것이 바람직하다. 보통 시나리오 DCF에서는 Normal Case / Optimistic Case / Pessimistic Case로 나누어 볼 수 있다. 일반적으로 예측할 수도 있지만 수동적으로 대응하기 어렵거나 능동적으로 대응할 수 있는 방식으로 시나오를 구성할 수 있고 이것을 현금흐름으로 계산해 볼 수 있다. 무수히 많은 시나리오(10개, 20개)를 상정하는 것은, 실무상 무의미하기 때문에 위와 같이 3가지 정도의 방향으로 정리해볼 수 있다.


스크린샷 2023-12-05 오후 7.21.04.png


1990년에 맥킨지는 위에서 보는 것과 같이 시나리오를 4개로 만들어서 총매출액 대비 판매량의 비율을 조정하여 발생확율로 치환한 것이다. 이렇게 DCF의 시나리오가 나타나면 이에 따라서 전략을 세울 수 있다. 위의 표에서 시나리오A는 DCF의 가치가 가장 높기 때문에 다음년도에는 책 15%판매 증가, 음반 18%증가라는 전략을 세워볼 수 있는 것이다. 그러나 amazon.com의 사업 구성은 1990년대말 예상했던 수준 이상으로 더욱 복잡다단해졌다. 전자상거래 도서, 비도서, Tab단말기 & 콘텐츠, AWS 클라우드서비스가 등장하면서 전략을 세워야하는 부분이 너무 많아진 것이다. 따라서 너무 많은 시나리오를 세울 수 없고 낙관적인 시나리오와 비관적인 시나리오 그리고 일반적인 시나리오로 각각 세워볼 수 있게 된다.

스크린샷 2023-12-05 오후 7.29.15.png


민감도 분석 Sensitivity Analysis


앞과 같은 소수개의 이산적(discrete) 시나리오 대신에, 하나의 변수를 연속적(continuous)으로 변화시키면서, NPV, IRR, 기타 목표값이 얼마나 큰 폭으로 변화하는지를 관찰하는 방법이 바로 민감도 분석이다. 이것은 excel의 주로 데이터>표(data > table) 기능 이용이 가능하다. 예를 들면, 원/달러 환율의 변화 가정하는 것과 같다. Spreadsheet에서 대상 변수의 변화가 목표값 변화에 영향을 미치는 구조정확한 산식으로 연결, 구성되어 있어야 한다. 예를 들면, 매출액은 환율X개당 판매단가(USD)X판매수량으로 계산해 볼 수 있다. 하나하나 단계적으로 자료를 정리하다보면 민감도에 있어서 어느부분에서 특이점이 발생하게 된다. 이러한 패턴을 발견하여 리스크와 실패가능성을 예측하는 시나리오를 만들어 볼 수 있게 된다.


스크린샷 2023-12-05 오후 7.37.32.png


사업화 이행단계의 불확실성


사업화 이행 단계별 성공(Success)과 실패(Failure)의 분기(bifurcation)는 매우 중요하다. 성공시 다음 단계로 이행할 수 있지만, 실패시 그 단계에서 사업 중단해야 하기 때문이다. Stevens & Burley(1997)은 기술사업화 프로젝트의 단계별 생존율은 원시 아이디어 단계에서는 약 1/3,000정도의 확실이라고 분석한다. 시제품 개발 이후에야 비로소 25% 이상의 성공률을 보이고 있다는 것이다. 산업연구원(2011)에서는 국내 기업들의 기술개발 및 사업화 단계별 생존율은 2.81%에서 47.50%에 이르는 범위에 분포하고 있다고 발표했다. 한국신약개발연구조합에서는 의약품 등의 전임상 단계에서의 사업화 성공률은 0.4%, 1상은 15%, 2상은 30%, 3상은 62.5%라는 것이다. 신약허가 신청에 들어간 경우 사업화 성공률의 95%가 된다. 사실 후보물질 탐색 단계에서의 성공률은 0.01% 수준 밖에 안된다.


스크린샷 2023-12-05 오후 8.06.42.png
스크린샷 2023-12-05 오후 8.09.23.png
?scode=mtistory2&fname=https%3A%2F%2Fblog.kakaocdn.net%2Fdn%2FcFG01F%2FbtqytVzxWBb%2FK4k5pn1yKGlhhTatkKm2ck%2Fimg.jpg
용어 Transition probability이 조건부 확률을 전이 확률 또는 이행 확률이라고 한다. 앞 단계가 성공했다는 전제 하에 다음 단계의 성공확률


따라서 이렇게 성공확률이 적다보니 확률 시나리오를 세우는 방법이 매우 중요한 과제가 된다. 어떤 확률을 선택할지를 선택해야 한다. 확률지(probabilistic branch)로 전개되는 시나리오 하의 가치평가를 진행하는 것이 보통이다. 영화 프로젝트의 가치평가의 경우에도 가치평가 기준 시점이 어느 단계냐에 따라 가치가 크게 달라지며 뒷 단계에서는 불확실성이 앞 단계보다 해소된 상태이기 때문에 행사시점이 매우 중요한 부분이 된다. 불확실성이 TRL의 경우에 몇단계에서 얼마나 발생할 것인가를 시나리오상으로 그려보면 몇 단계에서 불확실성이 더 높아질지 예상할 수 있고 이에 따라서 가치평가의 값이 달라진다.



2. 확률 시나리오 현금흐름 추정의 문제점


확률 시나리오로 현금흐름 추정을 하면 다양한 문제가 발생한다. 먼저는 최종 판단용 현금흐름 NPV 값의 허약성(non-robustness)이다. 이것은 부여한 확률분포가 조금이라도 달라지거나, 시나리오의 경우의 수, 시나리오 일부 노드의 명목현금흐름의 크기가 달라지면 쉽게 그 결과 값이 달라진다는 것이다. 따라서 부호( +, - ) 자체가 변화하기도 하는 결과가 나타나기도 한다. 그러면 확률분포를 부여하는 근거를 어디에 둘 것인가의 문제가 중요해 진다. 예를 들면 병원에서 수술을 할 때, 이 수술의 성공확률, 내일 비가 올 확률, 신제품이 특정 시점에 목표 판매량을 달성할 확률 등을 모두 시나리오로 설정을 해야 하는데 이것이 쉽지가 않다.


확률을 계산할 때 두 가지로 분류해볼 수 있다. 주관적 확률과 객확적 확률이 그것이다. 주관적 확률의 경우 Bayesian이라고 부르며, 개인의 경험 영역 내에서 부여한 기대라고 볼 수 있다. 부정적인 사건을 경험해본 사람 vs 그렇지 않은 사람이 있고 긍정적인 사건을 주로 경험한 사람 vs 그렇지 않은 사람이 있다. 따라서 델파이법 또는 전문가 집단지능에 의거한 종합 판단을 통해서 주관성을 객관적으로 인정받을 수 있는 방법이 필요하다. 또한 객관적 확률 Fischerian이라고 부르며 역사적 빈도의 관찰값을 기반으로 한다. 과거의 통계적 인과관계 출현 패턴이 미래에도 그대로 유지될 것이라는 믿음을 가지고 평가를 진행한다. 통계적 예측모형 구축 가능하며 과거 패턴에 포함되어 있지 않거나, 과거와 전혀 다른 새로운 인과요인이 지금 등장해 있을 경우에 사용할 수 있다. 예를 들면 오너(owner) 경영자의 신사업 추진 여부 판단은 어떤 확률 분포에 의존할까?를 생각해보자. 그러면 보통 그가 획득한 지식과 믿음의 편향성에 의존하거나 자신이 신뢰하는 사람에게 물어보거나 아니면 현금흐름표를 수정할 수도 있다. 따라서 주관적 확률과 객관적 확률을 적절하게 조정하여 제시하는 것이 타당하다.


스크린샷 2023-12-06 오후 7.17.21.png



3. 확률과 Option 현금흐름 반영


미래 현금흐름에 확률지 뿐만 아니라, 선택지(Optional Branch)가 들어올 경우가 생긴다. 우리가 사는 세상에는 우리가 선택할 수 있는 것들이 있고, 선택할 수 없이 받아들여야 하는 것들이 있다. 중요한 것은 사업화단계에서, 혹은 기술개발단계에서 우리가 선택할 수 있는 부분과 우리가 받아들여야 하는 것을 분류하고 그 때마다 전략을 세우고 분석하는 것이 필요한 것이다. 일반적으로 우리가 받아들일 수 밖에 없는 사건을 '확률'로 분석하고, 우리가 결정하는 것에 따라 달라지는 경우의 수를 '선택지'라고 부른다. 그리고 이 두가지를 합쳐서 결정나무Decision Tree라고 부르고 나누어지는 부분은 node라고 부른다.


Decision Tree 내 각 node의 성격에 대한 표현 규약

“□” 선택가능한 대안 또는 옵션 노드, 전략적 의사결정

“○” 확률 노드, 경영자가 통제할 수 없는 불확실한 사건

선택가능한 대안 노드: 동시에 대안으로 주어지는 여러 □ 중에서 가장 높은 가치를 주는 노드를 하나 선택하고 나머지는 포기

확률 노드: 여러 ○ 값들의 확률적 기댓값(expected value) 채택


스크린샷 2023-12-05 오후 8.14.50.png
스크린샷 2023-12-05 오후 8.15.19.png
•두 가지 종류의 tree node •확률지 ○ : 발생하는 대로 받아들여야 함 •선택지 □ : 대안 중에서 선택 또는 포기 가능


확률지는 받아들여야 하기때문에 모두 합산하여 비율이나 가중치로 계산한다. 그러나 선택지는 계산한 후에 선택을 안할 수도 있기 때문에 버릴 수도 있다. 이 부분이 중요하다. 선택지를 최대한 많이 걸러내서 선택지 내에서 가장 중요한 것들을 남기고 다른 선택지는 버리고 남아 있는 모든 확율지를 합쳐서 DCF를 계산하는 것이다. 따라서 옵션의 개념 다시 말하면 선태지의 개념을 이해하는 것이 중요하다. 선택지를 얼마나 정확하게 분석하고 이것을 확정하는가에 따라서 현금흐름 계산의 방법이 달라진다고 할 수 있다.


옵션의 개념

원래 금융시장에서 옵션(financial option) 상품의 가치를 평가하는 산식으로 개발 : 주식 옵션(stock option) / 외화 옵션(currency option) / 기타 가격 변동이 발생하는 모든 종류의 자산에 대하여 옵션 상품 설계 가능

옵션(option): 어떤 행동을 “선택”할 수 있는 권리, 그리고 그 권리는 계약을 통해 상호 거래 가능

자신에게 유리하면 선택하고, 유리하지 않으면 선택하지 않음.


자산의 가치 vs 옵션의 가치 차이

자산의 가치: 현재 시장 가격이 100원으로 형성된 자산이 있다. 자산의 가치는 시장의 수요와 공급을 통하여 100원이라는 가격으로 귀결되어 나타난 것이다.

이 자산을 보유하고 있다면, 그는 이 자산으로부터 100원의 효용을 기대한다는 것을 의미.

이 자산에 대해 현재 전적인 소유 및 처분의 권리를 지니고 있다는 것을 전제.

옵션의 가치: 이 자산을 1년 뒤(미래)에 90원에 매입할 수 있는 권리의 가치는 얼마일까? 100원도 아니고, 90원도 아님.

이 옵션으로 내가 취득할 수 것으로 예상되는 효용의 크기가 이 옵션의 가치가 되는데

이 옵션을 보유하고 있다고 해서 내가 100원 또는 90원의 효용을 얻을 수 있음을 의미하지는 않는다.


매수 옵션 call option 의 아이디어

매수(call) 옵션: 미래 일정한 시점에 특정 자산을, 미리 약속한 가격으로 살 수 있는 권리

매수 옵션을 행사해서 얻을 수 있는 이익에 그 옵션을 행사할 가능성을 반영해서 가치를 계산.

1년 뒤에 이 자산의 가격이 다음의 세 가지 가능성 중의 하나를 지니고 있다고 하면 가. 현재와 같이 100원을 유지할 확률 30% / 나. 80원으로 하락해 있을 확률 70%이며, 두 가지 경우에 예상되는 이익은 가.의 경우 옵션을 행사할 것이며, 이때 100원-90원=10원의 효용을 얻을 것이다. / 나.의 경우 옵션을 행사하지 않을 것이며, 이때 효용은 0원이다.

1년 후 90원에 매수하는 옵션의 기대 이익

10원 × 30% + 0원 × 70% = 3원

이 매수옵션의 가치는 2.88원


매도 옵션 put option 의 아이디어

매도(put) 옵션: 미래 일정한 시점에 특정 자산을, 미리 약속한 가격으로 팔 수 있는 권리

1년 뒤에 이 자산의 가격이 다음의 두 가지 가능성 중의 하나를 지니고 있다고 하면 가. 현재와 같이 100원을 유지할 확률 30% / 나. 80원으로 하락해 있을 확률 70%

두 가지 경우에 예상되는 이익은 가.의 경우 매도 옵션을 행사하지 않을 것이며, 이때 효용은 0원이다. / 나.의 경우 매도 옵션을 행사할 것이며, 이때 90원-80원=10원의 효용을 얻을 것이다.

1년 후 90원에 매도하는 옵션의 기대 이익

0원 × 30% + 10원 × 70% = 7원

7원의 현재가치는, 할인율을 4%라고 하면,이 매도옵션의 가치(기대효용)는 6.73원

시장 참여자들의 1년 뒤 자산 가격에 대한 기대가 유사하다면 이론적으로는 이 매도 옵션 가격은 6.73원에 수렴.


옵션 거래 가격 option price

옵션 거래 가격(option price): 옵션은 공짜가 아니다. 가격을 지불해야만 살 수 있다.

매도용의자가(=B) 앞의 매수 옵션을 A에게 부여하겠다고 하면 이를 공짜로 증여할리는 없다.

그렇다면 매수용의자 A는 공짜로 2.88원을 증여받는 셈.

따라서 매수용의자 A는 앞과 같은 기대 하에서는 최대한 2.88원 또는 그 이하의 값을 B에게 지불할 용의가 있을 것이다.

매도용의자 B는 매수용의자 A가 얻을 것으로 기대하는 이익을 계산한 뒤 적절한 값을 받고 이 옵션을 매도할 것이다. (※주의: 옵션을 매도하는 것이지, 결코 그 자산을 매도하는 것이 아님.)

A의 지불의사(max willingness to pay)와 B의 최소수취의사(min requirement to be paid) 사이에서 옵션이 결정된다.

거래 당사자마다 미래 자산가격 변동 확률에 대한 기대에 차이가 있을 것이므로 그 사이에서 옵션 거래 가격이 형성될 것이다.

미래의 자산 가격이 행사가격보다 높아질 것이라고 기대할수록 매수옵션 수요는 증가

미래의 자산 가격이 행사가격보다 낮아질 것이라고 기대할수록 매수옵션 수요는 감소

미래의 자산 가격이 행사가격보다 높아질 것이라고 기대할수록 put 옵션 수요는 감소

미래의 자산 가격이 행사가격보다 낮아질 것이라고 기대할수록 put 옵션 수요는 증가


스크린샷 2023-12-05 오후 8.40.58.png


어떤 분포 하에서든, 실제 가격과 행사 가격의 차이 S-X (콜옵션시) 또는 X-S (풋옵션시)을 기본으로 해서, 각 예상이익이 발생하는 시기와 확률을 적용해서 계산하게 된다. 여기서 풋옵션과 콜옵션은 정규분포를 따른다. 행사가격 이전에는 풋옵션, 행사가격 이후에는 콜옵션의 이익이 발생한다. 그렇기 때문에 행사가격이 어디에 찍히는가에 따라서 풋옵션과 콜옵션의 가치가 달라진다고 볼 수 있다. 따라서 정규분포의 변화값이 블랙 숄츠 방정식의 핵심이라고 볼 수 있다.

스크린샷 2023-12-05 오후 8.45.07.png

옵션의 종류에는 Call Option과 Put Option 그리고 European Option과 American Option으로 나누어 볼 수 있다. Call option은 정해진 가격(행사가격)으로 만기일(행사일)까지 해당자산을 살 수 있는 권리를 말하며, 시장가격이 행사가격보다 높으면 옵션수행(구매)하게 된다. Put Option은 정해진 가격(행사가격)으로 만기일(행사일)까지 해당자산을 팔 수 있는 권리를 말하며 시장가격이 행사가격 낮으면 옵션수행(판매)하게 된다. European Option은 만기일에만 행사할 수 있는 옵션이고, American Option은 만기일 이전에 얼마든지 행사할 수 있는 권리를 말한다. 이 밖에 아시안 옵션(Asian Option), 기타 이색 옵션(Exotic Option)들을 무한히 개발 가능하다. Asian Option은 만기행사 시점 이전 일정 기간 가격의 평균값과 행사가격을 비교하는 것이고 ELS(Equity-Linked Security), DLS(Derivative-Linked Security) 는 ‘If ~then ~’ 으로 구성된 매우 복잡한 옵션 행사 및 그에 따른 수익 발생 조건 보유하는 것을 말한다.


옵션의 기대이익 현재가치에 영향을 미치는 요소들

1. 권리의 행사 시기 (T)
• (다른 조건이 같다면) 만기가 가까이 올수록 옵션 가치는 하락
• 만기가 멀수록 미래의 가격변동 가능성이 증가하기 때문

2. 권리 행사 시기에 예상되는 기초자산 가격(S)의 확률분포
• (다른 조건이 같다면) 가격이 높을수록 콜옵션 가치는 상승, 풋옵션 가치는 하락
• (다른 조건이 같다면) 가격의 예상되는 변동성이 클수록 옵션 가치는 상승

3. 권리의 행사 가격 (X)
• (다른 조건이 같다면) 행사가격이 낮을수록 콜 옵션 가치는 상승, 풋옵션 가치는 하락
• 4. 할인율( r )
• (다른 조건이 같다면) 할인율이 높을수록 옵션가치는 하락


옵션의 성격

옵션의 성격 : 매수자에게는 위험 제거(risk elimination) 수단이 되나, 매도자에게는 위험이 전가됨. 시장 전체로는 결국 영합게임(zero-sum game). 매수자가 권리 행사로 이익을 얻으면, 매도자는 의무를 이행하고 손해를 본다. 파생상품을 통해서 시장에서 위험 자체는 제거되지 않는다. 다만 어딘가에 전가될 뿐이다.

옵션 계산 시 할인율로 무위험수익률을 사용: 1/(1+rf)

무위험 거래를 추구하기 때문에 옵션 투자자는 이론적으로는 결코 손실을 보지 않는 구조이다.

0 베이스에서 거래 참여하면서 기대에 따른 차익(arbitrage)을 추구한다.

옵션 거래에 참여하는 당사자들은 자기 자본 또는 자기 자산으로 참여하지 않고, 필요한 경우 차입 및 상환을 통해 참여한다고 전제함. 모든 소요 자금 및 자산은 무위험 차입 및 상환을 전제함.

무차익 조건(no-arbitrage condition) : 그러나, 시장 원리상 옵션 매수자는 옵션의 기대 차익만큼 가격을 지불하게 되므로 무차익 상태로 수렴한다. 옵션의 공정한 가치는 그 누구도 차익을 얻을 수 없는 상태의 가치.



4. 실물 옵션 가치평가 Real Option Valuation 개념


금융 옵션을 Financial Option이라고 부른다. 이는 미래에 가격 변동성이 있는 금융자산(주식, 외화, 채권)의 매수 또는 매도 옵션을 말한다. 실물옵션은 보통 거래소 옵션 거래를 통해서 이루어진다. 개별 종목 옵션이나 KOSPI200지수 옵션 등이 그 예에 해당한다. 이에 비해서, 실물 옵션은 Real Option이라고 부른다.

기술투자사업을 옵션이 부가된 자산을 매입하는 행위로 해석하는 것을 말한다. 기술투자는 이미 그 안에 매도와 매각을 할 수 있는 권리가 들어있다고 생각하는 것이다. 그래서 실물옵션에서는 다양한 옵션의 형태가 등장한다.


실물옵션의 예시

포기옵션(abandonment option): 적절한 노드에서 사업을 포기하고 철수할 수 있는 권리

확장옵션(expansion option): 적절한 노드에서 추가투자를 수행하여 사업을 확장할 수 있는 권리

전환옵션(switch option): 적절한 노드에서 사업을 다른 형태로 전환시킬 수 있는 권리

전제한 옵션에 따라 발생하는 CF를 별도로 계산해 주어야 한다.

기술기여도 적용: CF에 기술기여가 발생했다고 판단한 노드에 대해서만 기술기여도를 적용해야 한다.


실물옵션은 옵션이 부여된 사업 현금흐름의 tree를 작성하여 계산한다. 예를 들면 American Option 스타일의 경우라도 만기 이내 여러 시점에 옵션 행사 가능하다는 것을 알 수 있다. 기술개발 0년에는 아래와 같이 옵션투자가 -30이고 이후에 옵션투자는 -50으로 나누어진다. 기술개발결와의 불확실성이 1년차에는 아래와 같이 각각 실패하거나 혹은 투자를 더 받거나 하면서 확산되고 출시 후 2년차에는 시장의 반응의 불확실성이 4가지의 경우의 수로 나누어진다. 이렇게 실물옵션에서 시나리오를 기반으로 경우의 수를 계산하여 분석하려면 너무 많은 경우의 수가 생기기 때문에 조금 더 쉽게 하기 위한 방법으로 다음과 같은 방법들이 제공된다.


스크린샷 2023-12-06 오후 7.45.36.png



Black-Scholes Option Pricing Formula

유럽형 옵션(European Option), 즉 만기일에 단 1회 옵션을 행사할 수 있는 옵션의 가격을 결정하는 모형이라고 할 수 있다.

Black과 Scholes는 1973년에 Journal of Political Economy에 게재된 논문 “The Pricing of Options and Corporate Liabilities”에서 유럽형 무배당 주식 옵션의 공정한 가치를 계산하는 산식을 제시하여, 금융공학(financial engineering)이 비약적 성장하는 계기가 된다.

스크린샷 2023-12-06 오후 7.50.12.png
스크린샷 2023-12-06 오후 7.51.19.png


블랙숄즈 금융옵션 가치를 실물옵션으로 해석한다. 만기 투자(옵션)금액은 고정, 만기 현금흐름은 확률분포에 따른 다는 것을 볼 수 있다. 따라서 역사상 17가지의 아름다운 방정식 중에 하나인 블랙 숄츠 방정식에서 '델타'는 만기현금흐름의 확률분포라는 것을 알아두어야 한다. 블랙쇼츠 방정식을 통해서 현재주가, 행사가격, 반기, 무위험이자율과 델타를 알게 되면 옵션의 가격을 계산할 수 있다.


스크린샷 2023-12-06 오후 7.55.15.png


블랙숄즈 실물옵션 모형의 한계

유럽형 옵션 이외의 옵션에는 B-S 모형을 적용하기 어려움

미국형 옵션 및 이색옵션(exotic options)

그밖에도 옵션은 선택권인만큼 그 손익과 조건의 구조는 상상할 수 없을 정도로 다양하게 창조할 수 있음. 예) 만기 시 옵션의 보수를 계산할 때, 단순히 만기의 주가가 아니라 옵션투자 시점부터 만기일까지 주가의 산술평균을 적용할 경우

Asian Option : 콜옵션의 보수가 ST-X가 아니라 만기일까지의 주가의 산술평균

이색옵션 Exotic Options은 비표준적인 방식으로 보수를 계산하는 옵션들 : 배리어옵션(Barrier Option, Knock-in Knock-out), 룩백옵션(Look-Back Option), 디지틀옵션(Digital Option) 등

이색옵션의 가치를 계산하는 공식은 표준적인 블랙숄즈의 산식을 따르지 않음

폐쇄해(Closed-From Solution)로 별도의 산식이 개발되어 있거나(예를 들어서, 룩백옵션 등), 특수한 계산 공식(ex. 몬테칼로 시뮬레이션 등)을 통해서 옵션가격을 계산하게 된다.

대부분 기술프로젝트의 옵션을 행사할 때 얻을 수 있는 보수 역시 다양하고 복잡한 조건들이 부과되어 있음.(단순한 표준형은 없음) 그때에는 그 조건에 맞추어 별도로 개발된 옵션가치 계산 모형을 사용해야 할 것임

투자약정서 상에 투자자의 풋옵션 조항 예시 : “투자자는 본건 투자금의 납입일 이후 2년이 경과한 시점에 본건 투자 프로젝트를 투자자가 지정하는 제3자 또는 회사에 매각할 수 있고 투자자가 회사를 대상으로 매각을 요청할 경우에 회사는 투자자의 최초 납입금액에 매각요청시점까지의 경과이자를 부가한 금액으로 투자자의 지분을 매입할 의무가 있음 다만 이 경과이자는 최초 투자납입시점으로부터 옵션 행사 시점에 이르기까지 매 거래일에 채권시가평가회사가 공시한 BBB급 수익률의 산술평균을 적용함”이를 바탕으로 풋옵션 가치를 이론적으로 계산할 수는 있으나, 실무적으로 큰 의미는 없음.

기하브라운 운동 가정은 실물투자 세계에서 비현실적 : 기하브라운운동은 시간의 경과에 따라 운동의 궤적을 관측할 수 있는 충분히 많은 자료가 있을 때에만 성립하기 때문임 어떤 기술개발 프로젝트를 막론하고 매 시점마다 그 가치를 의도적으로 계산해서 비교하는 작업은 현실적으로 불가능함.

로그정규분포 가정의 문제 : 블랙숄즈 모형은 주가수익률이 로그정규분포를 따른다는 가정을 취하고 있음. 이런 관점에서 보면 기술개발 프로젝트의 수익률 분포도 로그정규분포를 따라야 한다고 해석할 수 있으나. 기술개발 프로젝트의 수익률은 그 분포를 판단할 있 수 있는 자료가 형성되어 있지 않음.

현금의 무위험차입과 기초자산 공매도의 자유로운 허용 가정의 문제점 : 블랙숄즈 모형은 무위험 차입과 옵션의 거래를 통해 그 누구도 재정이익(arbitrage)을 취하지 못하도록 하는 옵션의 공정한 가격 계산을 기본 취지로 함 이를 위해서 시장에서 자유롭게 현금의 무위험차입과 기초자산의 공매도(short-selling)가 이루어진다고 가정함 그러나 프로젝트의 경우 현금의 무위험차입 가정 및 기술개발 프로젝트의 공매도 가정은 현실적으로 받아들이기 어려움

원모형의 엄격한 가정에도 불구하고 블랙숄즈 모형이 현실에서 사용되는 이유 : 파생상품 시장에서는 B-S가정의 현실성 여부를 무시하고 보편적으로 적용하고 있는 현실이다. 이후 가정을 완화한 다양한 모형이 개발되었으나(ex. Heston-Nandi Model) 대부분 블랙숄즈 모형을 사용한다. 블랙숄즈 모형이 시장의 실제 가격을 제시하는 것이 아니라, 시장 가격의 지침이 될 수 있는 초기 이론 가격을 제시하는 데에서 그치고 실제 가격을 거래를 통해서 형성되어 간다.


스크린샷 2023-12-06 오후 7.56.51.png


Monte Carlo Simulation

몬테카를로 시뮬레이션은 수학, 금융, 과학 시스템에서 불확실성과 변동성의 영향을 이해하는 데 사용되는 계산 기술이다. 도박의 예측 불가능성과 마찬가지로 무작위성에 의존하기 때문에 모나코의 유명한 카지노 도시의 이름을 따서 명명되었다.

이 방법에는 복잡한 시스템의 동작을 모델링하기 위해 무작위 샘플링을 사용하여 많은 수의 시뮬레이션 또는 반복을 실행하는 것이 포함된다. 각 시뮬레이션은 확률 분포의 무작위 입력을 사용하여 잠재적인 결과를 계산한다. 이러한 시뮬레이션을 여러 번 반복함으로써 가능한 결과의 범위와 확률을 분석하는 것이 가능하다.

이 기술은 상호 작용하는 변수와 불확실성이 많은 상황에서 위험, 최적화 및 의사 결정과 관련된 문제를 해결하기 위해 금융, 엔지니어링, 물리학 등 다양한 분야에서 널리 사용된다. 예를 들어 금융에서는 주가의 움직임을 모델링하고, 공학에서는 다양한 조건에서 구조적 무결성을 예측하고, 물리학에서는 입자 간 시뮬레이션에 사용된다.


스크린샷 2023-12-06 오후 8.01.20.png


퍼지수익 Fuzzy Payoff 실물옵션 근사값 계산법

Non-fuzzy number 와 fuzzy number: "내년 매출액이 얼마인가?"

Non-fuzzy: 정확히 100억원

Fuzzy: 대략 100억원 정도

일상의 언어와 의사결정은 많은 경우 fuzzy concept에 기반을 두고 수행됨.

Collan, Fuller, Mezei(2009)는 Datar & Mathew 의 사상을 그대로 계승하되, 퍼지수(fuzzy number)의 개념을 도입하여, 실물투자의 옵션 가치의 근사값을 계산할 수 있다는 점을 밝혔음.

몬테칼로 시뮬레이션이라는 복잡한 계산절차까지도 생략하고, 퍼지수에서 삼각분포(triangular 또는 사다리꼴 분포(trapezoid distribution)라는 간단한 분포를 도입하여 실무적 가치 계산 절치를 간소화했다는 점

Monte-Carlo Simulation은 무수히 많은 FCF사업가치들을 계산해주어야 하지만 . . . Fuzzy Payoff법에서는 계산하지 않고, 삼각형을 만들어서 계산한다.

스크린샷 2023-12-05 오후 9.20.44.png
스크린샷 2023-12-05 오후 9.21.21.png


0. 나오기


오늘은 이번하기 마지막 시간으로 '불확실성'을 가진 현실에서 어떤 방식으로 가치평가를 할 것인가를 살펴보았다. 결국 변화하는 미래에 대비하기 위하여 무엇인가를 해서 바뀔 수 있는 것과 없는 것을 비교하고 바뀔 수 있는 것들은 '옵션'으로 설정하여 그 권리를 사고 파는 것이 핵심이었다. 역사상 가장 아름답다는 블랙숄츠 방정식이나 몬테카를로 방법은 실물옵션을 계산하는 데 있어서 몇가지의 요소만 알면 쉽게 계산할 수 있다는 것도 알게 되었다. 지금까지 수익접근법, 시장접근법, 비용접근법을 기본으로 해서 다양한 가치평가 방법을 알아보았다. 우리가 사는 세상은 모든 것을 가치로 매길 수 없는 것이지만, 경제학은 모든 것을 가치로 바꾸기 위한 다양한 방법들을 개발해왔다. 가치가 평가되면 가격이 생기고 가격이 생기면 교환이 가능해져서 시장에서 거래할 수 있게 된다. 어떻게 가치를 매기는가를 알게 되면 시장에서 어떻게 가치를 올릴 수 있는지도 알게 되는 것이다.



https://brunch.co.kr/@minnation/3658


https://brunch.co.kr/@minnation/3643


https://brunch.co.kr/@minnation/3624


keyword