brunch
매거진 과학일기

데이터 같은 무형자산은 어떻게 가치평가할 수 있을까?

다양한 무형자산과 가치평가

by 낭만민네이션

0. 들어가기


오늘부터는 유형자산이 아니라 무형자산을 가치평가하는 방법을 배운다. 무궁무진한 영역으로 들어간다. 마치 모든 것들을 가치평가할 것이다라고 하는 포부와도 같다. 그러나 언제나 개념은 똑같다. 비용접근법, 수익접근법, 시장접근법의 관점에서 가치를 평가하고 판단하는 것이다. 오늘은 특별히 요즘에 가장 중요한 요소인 데이터를 어떻게 3가지의 접근법으로 평가할 수 있을지를 보고 이어서 영화와 브랜드 그리고 콘텐츠 역시도 같은 방법으로 어떻게 바라볼 수 있을지 알아보자. 배우면서 느끼는 것은 세부적으로 들어갈 수록 전문가가 없다는 것이다. 기업가치평가에서는 다양한 방법들이 만들어지지만 전문가가 없는 것은 매한가지이지만 기술가치평가는 완전히 전문가가 없다는 것이 정설이다. 이후에 국가경쟁력 관점에서 기술가치평가 요소를 추가하여 새로운 국가경쟁력지표를 만들어보고자 하는 꿈이 생겼다. 한번 박사과정 논문으로 써 봐야 겠다.



1. 데이터 가치평가의 3대 접근법


기존의 3가지의 접근법을 기반으로 이제 우리는 다양한 무형자산과 유형자산을 평가할 수 있게 되었다. 데이터는 무형자산이지만 일정한 방법을 통해서 가격과 사례를 발굴할 수 있고, 또 가치평가를 할 수 있다. 가장 쉽게 데이터의 가치를 평가하는 방법은 시장접근법이다. 시장접근법은 현재시점에서 가치를 평가하면서 공시적으로 동일한 시간대의 사례들과 비교를 통해서 이루어진다. 동일한 또는 유사한 데이터 거래 가격 사례와 비표하여 평가할 수 있다. 또한 지금까지 얼마의 비용이 들었는지 과거의 데이터를 기반으로 해서 가치를 평가하는 비용접근법으로 평가할 수도 있다. 과거 데이터의 구축원가를 합산하여 평가시점으로 현재 가치화하여 평가한다. 마지막으로 미래의 시점에서 데이터가 얼마의 가치를 창출해낼 것인지 수익접근법으로 접근할 수 있다. 데이터를 활용함으로써 미래에 창출되는 순현금흐름의 크기를 현재가치로 할인하여 평가한다. 여기서는 수익증가와 비용증가를 살펴본다.


데이터 3대 접근법

시장접근법 : 동일한 데이터 거래가례를 비교하여 평가

수익접근법 : 미래에 창출되는 순현금흐름의 크기를 현재가치로 할인하여 평가

비용접근법 : 과거 데이터의 구축 원가를 합산하여 평가시점으로 현재가치화하여 평가


https://kdx.kr/main


데이터거래시장은 KDX라고 한국데이터거래소가 가장 유명하다. 민간회사이기는 하지만 한국에서는 가장 공신력있고 가장 다량의 데이터를 판매하고 거래할 수 있다. 데이터거래소에서는 의류판매정보나 제과 카데고리 데이터, 전국 주요 관광지 방문인구 데이터, 대한민국 의약품 판매데이터, 전국 행정동단위 대출정보 데이터 등등 필요한 모든 정보들이 데이터로 거래될 수 있는 것이다. 무료데이터도 제공하고 있으며 가격도 천차만별이다. 특히 기업들의 데이터가 많이 있다. 개인적으로 공공기관은 무료로 제공하는 데이터가 많이 있으며 코비드19나 역대대통령선거 투표결과 등등 공공데이터는 무료로 배포하고 있다. 이러한 데이터 거래소는 민간에서는 금융데이터거래소도 있으며 아래와 같이 KDX데이터거래소의 목록형 데이터 상품의 용량과 가격분포가 구성되어 있다.



해외데이터 거래


해외에서도 데이터거래소를 운영한다. Data Exchange Platform이라고 부르며 다양한 데이터 거래 기업이 있으나 가장 큰 데이터를 가진 곳은 아마존 시장 정보다. 이른바 AWS market place이며 이외에도 AppNexus, Blukai(Oracle), www.dawex.com등이다. 국내외의 다양한 사이트를 통해서 데이터를 구매할 수 있다. 물론 이러한 양질의 정보가 있는것이 아니고 음지의 정도보 암시장에서 거래된다. 범죄경력이나 성향, 구매정도 등등의 정보를 돈을 더 많이 줄수록 더 깊은 내용을 받을 수 있다. 탈취 데이터 거래 시장이라고

부르며 미국 개인정보 암거래 시장 가격은 다음과 같다.

이메일 주소와 패스워드: $0.7-$2.3

Social Security Number: $1

Driver License Scans: $2

Credit Card Number and CVV: $8-$20 per card

Spotify 계정: $2.75

Netflix 계정: $1-$3


https://datarade.ai/platform-categories/data-marketplaces-exchanges?page=1


한국의 금융고객 데이터 거래 가격

개인정보보호법 2011.3.29 공포 : 정보제공자의 동의 요구

금융고객 데이터 통용 가격 : 1인당 (전화번호, 이메일 등) / 5만원 : 인터넷 등 통상적 채널로 수집, 개인정보 제공 동의

8만원 : 인터넷 등 통상적 채널로 수집, 개인정보 제공 동의 득

17만원 : 홈쇼핑 Infommercial 등 고비용 채널로 수집


미국의 개인정보 데이터 유형별 거래 가격



2. 데이터 거래 가격 유형


데이터거래가격 유형은 일시불형, 서비스형, 혼합제가 있다. 일시불형은 데이터 한 세트 가격을 일시에 지불하고 매입하는 것을 말한다. 서비스형은 정액제로 월간이나 연간으로 사용하는 것을 말하고, 종량제는 정기적 데이터 이용량 기반으로 서비스를 제공한다. 또한 경상이용료인 로얄티는 근거사업성과에 연동하는 이용가격을 말한다. 또한 혼합제는 회원제와 선불금, 정액제와 종량제로 구분되어 있다. 또한 예외적으로 옥스포드 대학교의 영어사전서비스인 OED는 연간이용료가 100달러이고, 미국 외의 파운트는 100이다. OED는는 20권으로 되어 있고 전집 토매입이 가능하다. 데이터 거래가격에서 경상이용료를 실제 거래하는 것은 희소하다. 여타 무형자산 경상이용료에 package로 데이터가 포함되는 것을 말한다.


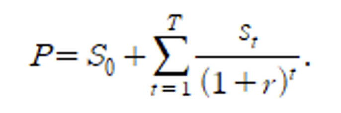
일시불형과 서비스형의 가격

S0: 비교사례 데이터 이용 계약의 선불금

T : 비교사례 데이터 서비스의 예상수명, 기간제약 없이 제공될 경우, 데이터의 효용이 유지될 것으로 예상되는 기간

r: 데이터 제공사업(J63 정보서비스업)의 투하자본영업이익률


예를들면, OED 데이터를 살펴보자. P= 1,215달러 / St = 연간 100달러 / r = 8.23%(=100달러/1,215달러) / 영구서비스를 자본환원율(capitalizaion rate)로 현재가치화한 것으로 가정하고 1주당 적정가치 2,5000원은 미래 매년 주당순이익 예산은 2,000원 / 8%로 볼 수 있다.



3. 시장접근법과 데이터 거래가정 조정


시장접근법은 비교사례 데이털르 통해서 거래가격을 조정하고 있다. 평가가경은 비교사례가격*상대평가 계수이다. 상대평가 계수는 크기계수*효용계수*품질계수이다. 예를 들어서 비교사례 데이터 거래가격이 1천만원이고 크기계수는 1.5정도 효용을 동일해서 1.0, 품질은 상대적으로 미비해서 0.9라고 가정해보자. 그러면 평가가격은 1천만원*1.5*1.0*0.9이기 때문에 결국 13,500,000원이 되는 것이다. 효용은 사업목적에 유용한 필드의 구비가 필요하고 품질은 엔지니어 관점에서 본 데이터의 품질이고 크기는 레코드 수, 바이트 수등을 말한다.




4. 수익접근법과 데이터


수익접근법은 증분현금흐름법으로 계산한다. 증분현금흐름법은 데이터의 가치를 평가할 때 데티어 활용하기 전의 현금흐름에 대한 현금가치를 데이터를 활용한 이후의 사업 현금흐름의 현재가치에서 빼는 것이다. 사실 수익접근법은 기술인 데이터가 있을 때 수익을 얻을 것과 없을 때 수익을 얻지 못하는 때를 서로 비교해보는 것이다. 만약에 이용자 데이터를 구매해서 3년안에 수익이 10% 늘었다고 하면 그 증분법만큼이 기술가치라고 보는 것이다. 무형자산이라서 쉬운 부분이기도 하면서 애매한 부분이기도 하다. 이런 방식으로 수익접근법은 어떤 기술이 있을 때와 없을 때를 서로 뺀 결과가 기술의 가치가 되는 것이다.


증분현금흐름법(incremental cash flow)

데이터가치 = A – B

A: 데이터를 활용한 이후의 사업 현금흐름의 현재가치 A

B: 데이터를 활용하기 이전의 사업 현금흐름의 현재가치 B

데이터가치 = A – B

A: 데이터활용에 기인한 매출증대분과 원가절감분의 현재가치

B: 데이터활용에 수반되는 관련비용(relevance cost) 발생분의 현재가치


Ex) 데이터 분석 인력, HW/SW 등 추가 비용

싱가포르 보험사의 고객데이터 가치평가

싱가포르 IMDA&PDPC (2019)는 고객 데이터를 이용하여 보험사기를 탐지함으로써 지급 보험료를 절감할 수 있었음.

고객 데이터 활용을 통한 지급 보험료 절감액(A)은 1년차 200만 달러, 2년차 490만 달러, 3년차 680만 달러로 추정

데이터 활용 비용(B)은 위 기간 동안 매년 20만 달러 발생 추정

이에 기반을 두고 미래의 세후 현금흐름을 계산한 뒤, 이를 현재가치로 할인하여 데이터 가치를 추정함.


신용보증재단 소기업·소상공인의 신용보증 데이터의 가치

김동성·김종우·이홍주·김만호(2017), “공공부문 데이터의 경제적 가치평가 연구: 소상공인신용보증 데이터 사례“, 지식경영연구, 18(1), pp.67-81

비용접근법 597.3억원 : 활성화된 보증신청 데이터 생성비용 + 비활성화된 데이터의 생성비용 / 각 생성비용은 데이터 건당 생성비용과 데이터 진부화율을 적용하여 산출됨.

수익접근법 300.2억원 : 동 데이터를 이용한 조직의 보증사고 감소액을 집계 / 미래의 사고감소액 추정치의 현재가치를 계산 / 데이터 기여도 46.3%를 곱하여 데이터 총가치를 산출 / 데이터기반평가모형 개발 비용 24.5억원을 차감.

시장접근법 264억원~354억원 : 유사한 성격의 데이터를 제공하는 3개 비교사업체(NICE신용평가정보, 한국데이터, 코리아크레딧뷰로)의 사업가치의 평균값에 데이터 가치비율(비교사업체 대비 신용보증재단 데이터 가치의 비율)을 곱하여 가치를 평가함. 비교사업체의 수익접근법 가치평가를 위해 데이터의 경제적 수명을 7년 또는 8년의 시나리오로 제시 / 시장접근법에서 적용한 데이터 수명은 전문가 대상 내용연수 설문값과 산업통상자원부(2021)의 기술순환지수(TCT) 값에서 데이터 처리업종의 수명을 종합하여 전문가 견해로 부여한 값임.


수익접근법: 데이터의 경제적 수명 추정기간

원칙: 데이터 활용 사업의 예상 수명에 대한 전문가 판단

Q2를 중심으로 평가대상 데이터의 상대평가를 반영하여 조정 : 기술보증기금의 SW수명 중 데이터관련 분야의 통계지침 / TCT 데이터 관련 IPC분야의 수명통계




수익접근법 할인율

데이터 활용 사업 투자자의 기회비용, 또는 최소요구 수익률

J63정보서비스업의 할인율 = 자기자본비용*자기자본비중 + 세후타인자본비용*타인자본비중

자기자본비용 = 상장기업CAPM + 기업규모프리미엄

세후 타인자본비용 = 세전 타인자본비용*(1-법인세율)



5. 비용접근법: 명목원가 추계 간편법


회계 기록 관리가 미흡하여 평가 대상 데이터 구축에 소요된 과거 비용 자료가 결여되어있거나 현저하게 신뢰성이 부족할 경우, 개략적인 비용 항목과 통용되는 가격 정보를 통하여 역사적 원가의 근사값을 산출

개략적인, 그러나 핵심적인 비용 과목의 범위와 종류를 결정함.

①인건비 ②SW구입비 ③HW구입비 ④외주비 ⑤기타 경비 ⑥기타 특수한 비용 발생

핵심 파라메터를 결정함. : 데이터 구축 기간 / 인력의 데이터구축 업무 투입비중 / 간접비배부율.

데이터 생성기간 3년 : ×연간 250근무일 ×데이터 입력/개발인력 전체 1일 평균4인 총투입시간 평균 30시간 ×시간당 인건비 평균20,000원 + 데이터 관리용SW구입비 10,000,000원 + 컴퓨터HW 비용 50,000,000원 + 일부외주비용 30,000,000원 ) × (1+ 간접비 배부율 20%) = 648백만원


비용접근법: 명목원가 추계로부터 조정요인

가산 : 물가상승효과 / 명목투입액 대비 평균인건비 상승률 Ex) 5% 투자의 기회비용

J63 정보서비스업의 투하자본영업이익률 중위수(median) 2.99% : Ex) 648백만원*(1+5%+ 2.99%) = 700만원

차감 : 진부화 / 데이터의 시간 경과로 인한 효용 감소분 / 가장 최근 갱신시점(A) + 과거 장기 시계열 축적 효과(B) 감안하여 판단

A요인: 데이터의 경제적 수명 기간에 걸쳐 정액법(균등배분) 진부화

평가일 2022-10-18 ~ 최근 갱신일: 2021.12.18: 10개월 진부화 적용

예상 데이터 수명 9년 적용 시

700백만원/9년*10개월/12개월 = 648백만원

B요인: A요인의 진부화 효과를 억제, 또는 시간경과에 따라 가치를 상승시키기도 함.

데이터 용도에 따라 판단해야

Ex) 시간이 오래 경과한 장기축적 데이터라도 효용이 크게 감소하지 않는 경우: 학술연구



6. 콘텐츠와 가치평가


그럼 데이터와 유사하지만 완전히 다른 레벨에 있는 콘텐츠를 알아보자. 콘텐츠는 개별콘텐츠와 데이터 화된 콘텐츠로 나누어질 수 있다. 개별콘텐츠는 영화나 드라마 숏츠, 웹툰과 웹소설, 음원과 현장공연, 실물사진, 서적, 미술품과 같은 것들이다. 데이터화된 콘텐츠는 뉴스데이터베이스나 사진 데이터베이스, 디자인 데이터베이스가 바로 그것이다. 앞으로 계속해서 콘텐츠의 가치를 구분하기 위해서는 그전에 사용했던 데이터 기준법이 아닌 콘텐츠 자체를 계산하기 위한 방법을 만들어야 한다. 콘텐츠 가치평가는 인간의 시청각과 상상력의 효용충종대상이다 데이터는 검색과 분류, 분석과 효용의 충족대상으로 보는 것이다.


콘텐츠와 3대 접근법

어떤 유형의 콘텐츠라 해도 다음 3대 방법론 중 최소 하나 이상 적용 가능

시장접근법 : 과거 일정기간 동일 또는 유사 콘텐츠의 실제 거래 가격 데이터 이용하여 추정 / 기계학습(Machine Learning) 회귀분석 등 이용가능 / WTP 조사법: 가상의 구매 환경 하에서, 지불의사 가격 조사법

수익접근법 : 콘텐츠 공급자가 미래에 창출할 여유현금흐름(FCF) 중, 콘텐츠 기여분의 분리 / 콘텐츠 공급 대가를 로열티 형태로 수취할 경우, 로열티 수익접근법

비용접근법 : [재생산원가] 콘텐츠 개발에 기소요된 원가를 재생산 가정 하에 현재가치화하여 측정(개발보상비용 가산, 진부화 요인 차감) / [대체원가] 동일 또는 유사한 대체 콘텐츠를 취득하는 데에 소요되는 원가를 측정


콘텐츠 가치평가 실무의 어려움

콘텐츠 특성에 따라 적용가능한 방법과 그렇지 않은 방법의 구분

근거 수치 확보가 제일 어렵다.

방법론 원리는 명백하나, 대상 콘텐츠마다 다음과 같은 근거 파라메터 또는 통계를 어떻게 확정할 것인가에 모든 연구와 노력의 90% 소요된다.

동일 또는 유사 콘텐츠 가격 사례, 또는 로열티 사례 탐색

비교 가격으로부터 조정 요소 평가 항목 설계

WTP조사 대상 선정, 적절한 설문지 설계와 통계 분석

콘텐츠 공급사업자의 원가구조 파악, 미래 사업지속 기간의 확정, 매출액 추정,

여유현금흐름 중 콘텐츠 기여분 분리도 추정

콘텐츠 개발에 소요된 원가 집계

대체 콘텐츠 및 그 가격 사례 탐색




참고 사례_미개봉 영화의 가치평가: 수익접근법

2017년 당시는 지금처럼 IP-TV, 동영상 스트리밍 서비스가 활성화되지 않고, 여전히 극장 상영관 중심의 시장

상영관매출

순 티켓매출의 상영관: 배급사 배분 구조는 2020년 이후 변화, 45:55 수준

평가시점의 변화한 수익배분 관행 잘 파악해야

최근 중심은 IP-TV, 웹 스트리밍 서비스로 이동

이용자 편당 평균 시청 요금 수준 파악

이용기간과 이용자 수 추정이 관건

영화매출

티켓매출: 상영관 매출 = 관객수 추정*객단가

관객수 추정 = 통계모형 추정치 * 정성평가 조정

정성평가 점수(100점 만점) = 작품성 평가 점수 × 40% + 시의성(트렌드 부합) 점수 × 60%

작품성 평가 점수: 감독 배우 등 인력 요소 배제하고 순수하게 작품성에 대한 정성적 평가 (60점을 median 준거점 기준으로 삼음)

시의성(트렌드 부합) 점수: 감독 배우 등 인력 요소 배제하고 순수하게 시의성에 대한 정성적 평가 (역시 60점 median 준거점 기준으로 삼음)

부가매출(IP-TV, 기타 채널, 캐릭터…)= 추정 극장 매출액 × 20%

이 20%는 시장 관계자와 전문가의 자문에 바탕을 둔 수치임. 평가자는 평가대상 사업의 특수성을 반영하여 조정 가능



영화의 경제적 수명

개봉작 상영기간 데이터 분석 : 2017년 개봉작 Sample 27개 분석결과, 상영기간에 따른 편당 누적관객수의 차이는 유의하게 발생하지 않음

최단 20일, 최장 60일~90일까지 폭넓게 상영기간이 발생하나, 총누적관객의 기간별 분산이 현금흐름 할인결과에 큰 영향을 미친다고 보기 어려움.

전체적으로 40일 내외의 상영기간 중, 관객수는 좌우 대칭형이 아니라 초기에 주로 집중하는 형태를 보임.

관객수가 수천명 내외에 그치는 일부 극소수의 독립영화의 경우, 소수의 상영관에서 장기 공연을 가져가는 경우가 많이 발견되나, 대부분의 영화에서 관객이 전반기에 집중되는 형태를 취하고 있어, 현금흐름 발생 시점에 따른 효과는 그리 크지 않음.

90일 장기 공연의 경우에도 후반부의 상당 기간은 소수의 스크린으로만 유지하는 경우가 많아서, 매출에 실질적인 영향을 미치지 않는 것으로 판단됨.

비극장 매출 : 경제적 수명 특정하기 곤란하여 상영종료 시점 기준 일시 발생 가정



7. 브랜드와 가치평가


상표(trademark)와 브랜드(brand) : 상표는 법적으로 보호를 받는 자산으로서, 브랜드 창출의 기반이 됨.

이로 인하여 상표와 브랜드는 따로 분리하기 어렵다는 속성을 지니고 있으며, 동일한 대상물로서 평가의 대상이 됨.

SFAS 141과 IFRS 3는 상표가 브랜드와 동일한 개념이라고 규정하고 있으며, 자산으로서 인식가능하다고 밝히고 있음.

대부분의 나라들은 상표권을 법적으로 보호하는 장치를 구비하고 있으며, 우리나라는 “상표법”이 그 근거가 됨.

집합체로서의 상표와 브랜드

상표와 브랜드는 다음과 같은 다양한 대상물을 하나의 집합체로 구성하여 보호를 받는 경우가 많음.

상품 상표와 브랜드의 포트폴리오, 서비스 상표와 브랜드의 포트폴리오, 브랜드 지정 상품의 범위, 온라인 도메인 명칭, 적극적인 사용을 통한 외부 인지도의 제고 노력 등

평가자는 집합체의 완결성이 결여될 경우, 그 집합체가 독자적으로 지식재산으로서 수익창출력을 유지할 수 있는지의 여부를 먼저 검토하여야 함.

수익창출력을 유지할 수 있는 수준의 완결된 집합체가 구성되지 않은 상태에서 상표와 브랜드의 가치평가는 수행될 수 없으며, 평가자는 이 완결성의 구비를 평가대상 사업자에게 요구할 필요가 있음.

동 완결성이 구비되지 않을 경우 미래에 제3자의 침해 가능성으로 인하여 가치평가 결과가 심하게 왜곡될 가능성이 존재하기 때문임.



기존 브랜드 가치평가방법 현황

Salinas(2009), The International Brand Valuation Manual: A complete overview and analysis of brand valuation techniques, methodologies and applications 에 따르면, 기존에 브랜드 가치평가 방법론을 약 40여 종으로 분류하고 있음.

비용접근법과 시장접근법은 거의 사용되지 않고 있으며 대부분이 수익접근법으로 구성되어 있음.

기존 사업비용 중 브랜드 생성에 기여한 비용을 분리하는 것은 사실상 불가능

브랜드 자체가 ‘유일성’, ‘차별성’을 가치로 삼으므로, 동일 또는 유사 브랜드와 비교는 의미가 없음.

이중에서 실무적으로 가장 활용도가 높은 브랜드 가치평가 방법은 1) 현금흐름에 브랜드 평가점수(기여율 개념)를 곱하는 방법(전통적인 인터브랜드의 방식) 2) 로열티공제법.

증분 또는 차익 DCF(Incremental Premium Discounted Cash Flow Methods)법이나 초과이익법(Excess Earnings Methods)은 실무적으로 거의 사용되지 않고 있음.

차익DCF법 - 브랜드를 사용할 경우의 FCF - 브랜드를 사용하지 않을 경우의 FCF

실무적으로 브랜드를 사용하지 않은 경우의 매출과 비용, 영업이익, 그리고 비현금비용, 비현금수익을 계산하는 작업에 어려움이 있어서 채택되지 않고 있음.

초과이익법 - 브랜드를 이용하여 정상적으로 발생한 FCF에서, 브랜드 이외의 자산이 기여하는 FCF를 차감하는 방법

실무적으로 브랜드 이외의 자산의 수익률을 역시 파악하고 있어야 한다는 단점이 있어서 채택되지 않는 방법임.



브랜드기여율 지표로서 Interbrand 사의 RBI

인터브랜드의 모형은 EVA를 무형자산이 발생시킨 이익으로 규정하고, EVA에 RBI를 곱하여 브랜드가 매년 창출한 이익을 도출하고 있음. (Interbrand, 2006, 2009)

RBI (The Role of Brand Index, %)

무형자산이 창출한 이익 중 브랜드가 기여하는 비율을 의미하며, 상품의 제반 물리적 속성을 초과하여 고객이 지불의사를 표출하도록 유도하는 수요유발인자(demand drivers)로 해석할 수 있음.

This measures the portion of the purchase decision attributable to the brand as opposed to other factors (for example, purchase drivers such as price, convenience, or product features).

도출방법은 다음 3가지 중 하나

commissioned market research

benchmarking against Role of Brand scores from client projects with brands in the same industry

expert panel assessment


브랜드에 대한 로열티 접근법 절차

평가대상 브랜드(집합체)의 식별, 정의

해당 브랜드를 사용한 상품/서비스군의 식별, 정의

해당 상품/서비스준의 매출 추정

비교용 로열티율 선택

조정계수를 이용한 로열티율 조정

가상의 로열티 (순)수익 추정 - 현재가치합산


•일본의 상표 브랜드 로열티 데이터 사례 經濟産業省 知的財産政策室, ロイヤ ルテイ料率 デタハンドブック(데이터핸드북), 2010
•브랜드 기여율 또는 로열티율에 영향을 미치는 평가항목 및 가중치(AHP 조사, 기술보증기금, 2013)




0. 나오기


사실 이렇게 어려울 줄 몰랐다. 중간고사가 끝나면서 밤을 새서 풀어도 잘 풀리지 않는다. 그럼에도 불구하고 핵심은 모든 것들을 가능한한 숫자로 측정할 수 있도록, 비용이나 수익으로 측정할 수 있도록 바꾸지 않으면 가치평가는 불가능하다는 것이다. 이것을 하기 위해서 오늘은 데이터, 브랜드, 영화와 같은 무형자산들을 계산하는 방법을 알아보았다. 유형자산들은 가치평가가 매우 쉬운 반면에 무형브랜드는 상당한수준의 컨셉을 가지고 구분하고 평하하고 가치평가 방법으로 계산해야 한다. 그럼에도 불구하고 이 방식은 계속해서 발전하고 있다. 과거관점의 비용접근법일지 아니면 미래 관점의 수익접근법일지 혹은 현재관점의 시장접근법일지에 따라서 기업의 가치와 기술인 브랜드와 저작권 혹은 데이터가 가지고 있는 가치가 달라진다.




https://www.findatamall.or.kr/fsec/main/main.do?cmnx=1


https://www.kofic.or.kr/kofic/business/main/main.do


keyword