brunch
매거진 과학일기

특수상대성이론이란?

물리학의 역사와철학_특수상대성이론의 배경과 핵심

by 낭만민네이션

0. 들어가기


오늘부터는 현대물리학으로 넘어간다. 아인슈타인의 특수상대성이론이다. 뉴턴 역학이 지나간 이후에 현대물리학이 시작되는 시점이다. 아인슈타인은 그 당시의 문제였던 '빛'의 존재에 대해서 새로운 관점을 제시한다. 그것은 모든 관측자가 어떤 위치에 있다고 하더라도 '빛'은 동일한 속도를 갖는다는 것이다. 그리고 시간이 빨라질수록 시간은 느려지고 길이는 수축된다고 하는 것이다. 이러한 특수상대성 이론은 '특수한'상황인 '빛'에 대해서만 그렇다. E=mc2에서 빛의 속도 c2은 결국 질량으로 에너지를 나눈 것이다. 반대로 질량은 빛의 속도의 제곱을 가지고 에너지를 나눈 것이다. 이런 식으로 생각하면 빛의 속도로 갈 수록 질량은 무한대로 증가한다. (내가 이런 이야기를 하고 있다니...) 오늘 수업은 힘들었다. 그나마 조금 이해한 것을 정리해본다.



1. 아인슈타인이란 누구인가?


아인슈타인은 독일 울름이라는 지역에서 태어났다. 평범한 가정에 태어난 아인슈타인은 태어난지 일년이 지나서 뮌헨으로 이사를 갔다. 기계적인 암기식의 학교문화를 중시하는 독일 공교육에 대한 반발심이 있었던 아인슈타인은 학교 공부에서 두각을 나타내는 것은 아니었다. 카톨릭계 초등학교에서 유일하게 유태인이었던 아인슈타인은 11살에 루이트폴트 김나지움에 입학한다. 당시 김나지움은 미국의 중학교와 고등학교가 결합된 것과 같았다. 보통 10살부터 18살까지 학생들이 있었으며 지성을 중시하는 분위기 때문에 잘 정착하지 못했다. 사실 아인슈타인이 과학에 대한 흥미를 가지게 된 것은 다섯살 때 아버지가 보여준 나침반의 존재 때문이었다. 나침반을 가지고 놀면서 아인슈타인은 보이지 않지만 작동하고 있는 세계의 일정한 질서에 대해서 관심을 가지게 된다.


"바늘이 미리 결정된 방식으로 움직인다는 것은 전혀 사건들의 본성에 어울리지 않는 것이었고, 사건의 본성은 개념에 대한 무의식의 세계를 말한다."


그리고 12살이 된 아인슈타인은 '유클리드 평면 기하학'을 만나면서 새로운 세상을 만난다. "예를 들자면 삼각형에서 세 개의 높이의 교차점이 하나라는 것은 어떤한 의심도 할 수 없는 확실한 것이었다"와 같이 유클리드 기하학을 통해서 명백함과 확실성에 대한 경이로움을 경험했다. 이렇게 나침반과 유클리드 기하학을 통해서 과학과 이론에 대한 눈을 뜬 아인슈타인은 15살 이후에는 독일에 아예 정을 붙이지 못하고 결국 스위스 아라우에서 중등교육을 마쳤다. 이후 스위스 취리히에 있는 연방공과대학에 들어갔다. 독일보다 상대적으로 자유로웠던 스위스의 교육시스템은 아인슈타인의 독자성을 넓혀주었다.


헬름홀츠, 키르히호프, 볼츠만, 맥스웰, 헤르츠 등의 고전 물리학책을 읽으면서 그로스만과 같은 친구들과 스터디를 했고 마침내 유럽의 뛰어난 수학자인 민코프스키를 만났다. 이후 취리히 공대에서 박사학위를 받고 4개의 유명한 논문을 발표한다. '빛의 생성과 변환에 관한 발견적인 관점에 관하여', '분자의 열역학 이론에 의해 요구되는 고정된 액체 속에서 부유하는 작은 입자의 운동에 관하여', '운동하는 물체의 전기역학에 관하여'가 그것이다. 여기에서 광전효과 및 브라운 운동과 원자의 존재에 대한 이론들을 다루었고 이것은 상대성이론의 핵심적인 역할을 하였다. 사실 노벨물리학상은 광전효과로 받았다.


광전효과



광전효과 (Photoelectric Effect)

현상: 광전효과는 금속 표면에 빛을 비췄을 때, 금속 내부의 전자가 방출되는 현상이다. 고전물리학에 따르면, 빛의 세기가 충분히 강하면 전자는 방출되어야 하지만, 실험 결과에서는 빛의 강도가 아닌 빛의 주파수가 전자 방출을 결정하는 주요 요인으로 나타났다.

아인슈타인의 설명: 아인슈타인은 막스 플랑크의 양자 가설을 확장하여, 빛이 연속적인 파동이 아닌 **에너지 양자(광자)**라는 입자로서 작용한다고 설명했다. 빛의 입자가 금속 표면에 도달해 전자에게 충분한 에너지를 전달할 때만 전자가 방출되며, 이 에너지는 빛의 주파수에 비례한다고 주장했다. 아인슈타인의 이 설명은 고전파동이론으로는 설명할 수 없었던 광전효과를 성공적으로 설명하면서 양자역학의 발전에 큰 기여를 했다.

결과: 광전효과는 빛이 파동의 성질뿐 아니라 입자의 성질도 가지고 있음을 보여줬으며, 이는 양자역학의 핵심 개념 중 하나인 입자-파동 이중성을 뒷받침하게 되었다. 아인슈타인은 이 업적으로 1921년에 노벨 물리학상을 수상했다.


브라운 운동 (Brownian Motion)

현상: 브라운 운동은 미세한 입자(예: 꽃가루)가 물과 같은 유체 속에서 무작위로 움직이는 현상이다. 1827년 로버트 브라운에 의해 처음 관찰되었고, 고전물리학으로는 이 불규칙한 운동을 충분히 설명하기 어려웠다.

아인슈타인의 설명: 1905년 아인슈타인은 브라운 운동이 유체 속의 분자들이 열 운동을 통해 입자에 불규칙적인 힘을 가하기 때문이라고 설명했다. 그는 이를 통해 분자와 원자의 존재와 운동이 실제적임을 수학적으로 증명했으며, 통계역학을 사용하여 브라운 운동의 속도와 변위를 예측할 수 있는 공식을 제시했다.

결과: 아인슈타인의 설명은 분자와 원자의 실재성을 증명하는 중요한 근거가 되었고, 원자론에 대한 과학계의 회의론을 불식시켰다. 이 연구는 통계역학의 기초를 다지며, 물질이 미세한 입자들로 구성되어 있다는 현대적인 이해를 확립하는 데 기여했다.




2. 고전물리학에 대한 아인슈타인의 회의론


아인슈타인의 고전물리학에 대한 회의론은 고전역학과 전통적인 물리학 이론이 가지는 한계에 대한 인식에서 비롯되었다. 고전물리학은 뉴턴의 역학 법칙과 맥스웰의 전자기 이론을 기초로 하며, 절대적인 시간과 공간 개념, 그리고 연속적이고 확정적인 인과관계를 중시하였다. 하지만 아인슈타인은 이러한 고전적 개념들이 자연의 본질을 충분히 설명하지 못한다고 생각했다. 아인슈타인의 이러한 비판은 물리학의 패러다임 변화를 불러일으켰으며, 고전물리학의 한계를 극복하는 계기가 되었다. 특수 및 일반 상대성 이론은 고전적 사고에서 벗어나 새로운 물리학적 관점을 제공했고, 이는 현대물리학의 기초가 되었다.


고전물리학에 대한 아인슈타인의 이해

뉴턴 역학의 기반에 대한 숙지: 아인슈타인은 뉴턴의 운동 법칙과 만유인력 법칙이 고전물리학의 중심이라는 점을 잘 이해했다. 그는 이 이론들이 일상적인 물체의 운동과 행성의 궤도 등을 설명하는 데 매우 유용하며, 현실 세계에서 거의 오류가 없는 예측을 제공한다는 점을 인식하고 있었다. 이 때문에 그는 뉴턴 역학을 완전히 대체하기보다는, 그 틀을 확장하고 수정하는 방법을 찾고자 했다.

맥스웰 전자기 이론에 대한 이해: 아인슈타인은 맥스웰의 전자기 방정식이 전자기학과 빛의 본질을 설명하는 강력한 도구라는 점을 이해했다. 그는 빛의 속도가 일정하다는 맥스웰의 방정식에서 중요한 문제를 발견했다. 즉, 빛의 속도는 관찰자의 움직임과 관계없이 일정해야 하는데, 이는 고전 역학에서 정의된 절대 공간과 시간의 개념과 충돌하였다.

고전물리학의 한계 인식: 고전물리학은 주로 거시적인 물체의 운동과 상호작용을 설명하는 데 적합했지만, 아인슈타인은 빛이나 원자 수준에서의 특수한 현상들을 설명하기에는 한계가 있다는 점을 파악했다. 예를 들어, 미시적 세계에서 발생하는 현상들(예: 광전 효과)은 고전적인 파동 이론으로 설명하기 어려웠다. 그는 이를 통해 고전물리학의 틀을 넘어서는 새로운 이론적 접근이 필요하다고 느꼈다.

상대성 이론의 기초로서 고전물리학의 재해석: 아인슈타인은 특수 상대성 이론을 통해 고전물리학의 절대적 시간과 공간 개념을 재해석했다. 고전역학에서는 절대적인 시간과 공간이 존재한다고 보았지만, 아인슈타인은 이를 상대적인 것으로 바꾸어 시간과 공간이 관찰자의 움직임에 따라 변할 수 있음을 제안했다. 이 과정에서 뉴턴 역학과의 일관성을 유지하면서도 그 틀을 확장한 점에서 아인슈타인의 깊은 이해가 드러난다.

결정론적 인과성과 양자 이론 사이의 중재: 아인슈타인은 고전물리학의 결정론적 인과성을 중요하게 여겼지만, 양자역학의 등장과 함께 확률론적 해석이 물리학에 도입되자 이에 대해 깊이 고민했다. 그는 고전적인 인과성을 포기하는 데 신중했으나, 미시 세계에서는 고전물리학의 엄격한 결정론이 성립하지 않는다는 점을 받아들였다.


아인슈타인 회의론의 주요 내용

절대 공간과 시간에 대한 의문: 고전물리학은 절대적인 시간과 공간을 전제로 하였지만, 아인슈타인은 이를 상대적인 개념으로 바라봤다. 그의 특수 상대성 이론에서 시간과 공간은 절대적이지 않으며, 관찰자의 속도에 따라 변할 수 있는 상대적인 개념임을 보여주었다.

광속 불변성 원칙: 아인슈타인은 고전 전자기학에서 빛의 속도가 관찰자에 관계없이 항상 일정하다는 사실을 발견했고, 이를 설명하기 위해 특수 상대성 이론을 개발했다. 고전물리학으로는 이 현상을 설명하기 어려웠기에, 아인슈타인은 기존의 이론이 불완전하다고 생각했다.

에테르 이론에 대한 비판: 고전물리학은 에테르라는 가상의 매질이 빛의 전파에 필수적이라고 보았으나, 아인슈타인은 빛이 진공에서도 일정한 속도로 이동할 수 있음을 보여주어 에테르의 존재를 부정했다.

고전역학의 한계와 양자역학에 대한 관심: 아인슈타인은 고전역학이 미시 세계의 현상을 설명하기에 충분하지 않다고 보았다. 특히 블랙바디 복사 문제와 같은 실험적 결과는 고전물리학의 예측과 일치하지 않았고, 이는 양자역학의 탄생을 이끌었다. 아인슈타인은 초기 양자 이론의 발전에 기여하며 고전물리학의 한계를 강조했다.

인과성 및 확률론적 세계관에 대한 고민: 아인슈타인은 결정론적 인과성을 중시하던 고전물리학과는 달리, 확률론적 해석을 제시하는 양자역학에 대해 일정 부분 회의적이었으나, 고전물리학의 인과론이 자연 현상을 충분히 설명하지 못한다고 보았다.




3. 특수상대성 이론의 가정


특수 상대성 이론이 나오게 된 배경에는 19세기 후반에 고전물리학이 몇 가지 현상을 설명하는 데 어려움을 겪으면서 과학계가 직면한 여러 문제들이 있었다. 이 이론이 나오게 된 이유는 주로 다음과 같은 과학적 문제와 도전에서 비롯된다. 위에서 살펴본 것과 같이 아인슈타인은 이러한 흐름에서 자신이 가지고 있는 질문들에 대한 답을 찾고 있었다. 그리고 아인슈타인은 새로운 물리학의 패러다임을 시작하게 된다. 그럼 특수상대성 이론이 나오는 1900년대초에 어떤 고민들이 과학자사이에 있었을까?


특수상대성 이론의 배경

빛의 속도와 에테르 문제: 19세기에는 빛이 파동이라고 믿었기 때문에, 물리학자들은 빛이 전파될 매질인 ‘에테르’가 필요하다고 생각했다. 그러나 마이컬슨-몰리(Michelson-Morley) 실험을 통해 지구가 에테르 속에서 움직인다고 가정할 때 관측되는 속도 차이가 발견되지 않았다. 이 실험은 에테르가 존재하지 않을 가능성을 제기하면서, 빛의 속도가 관찰자나 매질과 상관없이 항상 일정하다는 사실을 보여주었다. 이 발견은 고전 역학으로는 설명하기 어려웠으며, 빛의 속도가 절대적이라는 새로운 가정이 필요했다.

맥스웰 전자기 방정식과 불변하는 빛의 속도: 제임스 클러크 맥스웰의 전자기 방정식은 진공에서 빛의 속도가 일정하다고 예측한다. 문제는 고전 역학의 관점에서는 한 물체가 빛을 향해 움직이면 빛의 속도가 다르게 측정될 것이라는 예측을 하게 되는데, 이는 맥스웰의 방정식과 충돌한다. 즉, 빛의 속도가 모든 관찰자에게 동일하게 측정되어야 한다는 것이 고전 역학으로는 설명되지 않는 문제였다. 아인슈타인은 이 불일치를 해결하기 위해 빛의 속도를 절대적인 상수로 가정했다.

고전적 절대 시간과 공간의 한계: 고전물리학에서는 시간과 공간이 독립적이고 절대적이라고 가정했다. 즉, 모든 관찰자가 동일한 시간과 공간을 경험한다고 여겼다. 하지만 빛의 속도가 불변한다는 점을 받아들이면, 절대적 시간과 공간 개념은 유지될 수 없었다. 아인슈타인은 시간이 관찰자에 따라 다르게 흐를 수 있다는 개념을 도입하여, 시간과 공간이 서로 연결되어 있는 상대적 개념임을 제시했다.

상대 운동에 대한 일관된 설명 필요성: 물리 법칙이 모든 관성계에서 동일하게 적용되어야 한다는 상대성 원리는 이미 뉴턴의 운동 법칙에서도 간접적으로 사용되고 있었다. 그러나 빛의 속도가 절대적이라는 개념을 포함시키기 위해서는 이 원리를 더 엄격하게 확장할 필요가 있었다. 이를 통해 빛의 속도가 관찰자의 운동과 상관없이 일정하게 유지되면서도 물리 법칙이 모든 관성계에서 동일하게 보일 수 있도록 하는 이론적 틀을 마련할 수 있었다.

이러한 배경에서, 아인슈타인은 특수 상대성 이론을 통해 빛의 속도와 관성계에서의 물리 법칙이 어떻게 일관성을 유지할 수 있는지를 설명하고자 했다. 이를 통해 시간 지연, 길이 수축, 질량-에너지 등가성 등의 현상이 논리적으로 설명될 수 있었으며, 고전 물리학의 절대적 시간과 공간 개념을 대체하는 새로운 패러다임을 제공하게 되었다.


아인슈타인의 동시성 개념

아인슈타인의 동시성 기준은 특수 상대성 이론에서 중요한 개념으로, 사건이 동시라는 것이 관찰자의 움직임에 따라 달라질 수 있다는 상대적 개념을 도입한 것이다. 고전물리학에서는 동시성이 절대적인 개념으로, 모든 관찰자가 동일한 시간에 발생하는 사건을 동시에 경험한다고 보았다. 하지만 아인슈타인은 동시성에 대한 새로운 기준을 제시하였다. 이를 설명하기 위해 다음과 같은 기준을 도입했다:

빛의 속도를 기준으로 한 동시성 판단: 아인슈타인은 한 관찰자가 서로 다른 위치에서 발생하는 두 사건이 동시인지 판단할 때, 빛의 속도가 일정하다는 원리를 사용해야 한다고 보았다. 특정 관찰자가 두 사건으로부터 온 빛을 같은 시간에 관찰한다면, 이 두 사건은 그 관찰자에게 동시라고 할 수 있다.

동시성의 상대성: 아인슈타인의 동시성 기준에 따르면, 한 관찰자에게 동시에 일어난 두 사건이 다른 관찰자에게는 동시에 일어나지 않을 수 있다. 이는 두 사건이 발생한 위치와 관찰자의 운동 상태에 따라 다르게 보이기 때문이다. 즉, 다른 속도로 움직이는 관찰자는 동일한 사건을 동시에 보지 않을 수 있으며, 관성계에 따라 동시성의 판단이 달라진다.

동시성의 정의 실험: 아인슈타인은 동시성을 이해하기 위해 기차와 번개 사고 실험을 예로 들었다. 만약 기차의 중앙에 있는 관찰자가 앞뒤로 떨어지는 번개가 동시에 발생하는 것을 본다면, 그는 두 사건이 동시라고 판단할 수 있다. 그러나 기차 바깥에서 기차의 진행 방향을 향해 보는 관찰자는 두 번개의 도달 시간이 다르게 느껴지며, 동시가 아닌 것으로 판단하게 된다.

동시성의 결론: 이러한 기준을 통해 아인슈타인은 동시성은 절대적인 것이 아니라, 관찰자의 위치와 운동 상태에 따라 상대적이라는 결론에 도달했다. 이는 시간과 공간이 서로 독립적이지 않고, 상대적이라는 특수 상대성 이론의 핵심적 결론 중 하나이다.


아인슈타인의 동시성 기준은 결국 동시에 발생한 사건을
절대적으로 정의할 수 없으며, 관찰자에 따라 그 판단이 달라진다는 것을
의미하며, 이는 시간과 공간 개념을 재정의하는 계기가 되었다.


4. 특수상대성 이론에서 시간 지연과 길이의 수축


아인슈타인의 시간 지연과 길이 수축은 특수 상대성 이론의 결과로, 상대적 운동 속도에 따라 시간과 공간이 다르게 인식될 수 있음을 보여준다. 이 두 현상은 절대적 시간과 공간 개념을 바탕으로 한 고전 물리학의 틀을 깨고, 관찰자의 위치와 운동 상태에 따라 시간과 공간이 상대적일 수 있음을 설명하면서 현대 물리학에 큰 영향을 미쳤다. 아인슈타인은 빛의 속도가 모든 관성계에서 일정하다는 가정 아래, 상대적 운동에 따라 시공간이 달라질 수 있다는 혁신적인 결론에 도달하였다.


시간 지연 (Time Dilation)

시간 지연은 빠르게 움직이는 물체에서 시간이 더 느리게 흐르는 현상이다. 특수 상대성 이론에 따르면, 한 물체가 매우 빠른 속도로 이동할 때 그 물체에 탑승한 관찰자가 측정하는 시간과, 정지한 외부 관찰자가 측정하는 시간이 달라진다.

예를 들어, 우주선을 타고 거의 빛의 속도에 가까운 속도로 이동하는 사람이 있다고 가정해보자. 이 경우, 지구에 있는 관찰자가 보기에는 우주선 내부에서의 시간, 즉 시계가 진행되는 속도가 느리게 보인다. 이는 고유 시간과 관측 시간의 차이로 설명되며, 이동 속도가 높아질수록 그 차이가 더욱 커지게 된다.

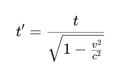
빛의 속도에 가까워질수록 움직이는 물체의 시간이 거의 정지에 가까워지는 현상이 발생한다. 이러한 시간 지연은 ‘고유 시간(proper time)’과 ‘관측 시간(observed time)’의 차이를 통해 설명되며, 이는 속도가 증가함에 따라 더욱 뚜렷해진다. 시간 지연 현상은 다음과 같은 수식으로 표현된다:

여기서 t'는 빠르게 이동하는 물체에서 측정되는 시간, t는 정지한 관찰자에게 측정된 시간, v는 물체의 속도, c는 빛의 속도이다. 이 수식에 따르면, 속도가 빛의 속도에 가까워질수록 분모가 작아지면서 t′는 커지게 되어, 고속 이동 중인 물체의 시간이 느리게 흐르는 것처럼 보인다. 시간 지연은 이론적으로 입증되었을 뿐만 아니라, 실험적으로도 확인되었다. 예를 들어, 인공위성이나 우주선을 통해 고속으로 이동하는 원자 시계가 지구의 시계와 비교했을 때 더 느리게 흐르는 현상이 측정된 바 있다.

길이 수축 (Length Contraction)

길이 수축은 빠르게 움직이는 물체의 길이가 관찰자의 시점에서 이동 방향으로 줄어드는 현상이다. 특정 속도로 이동하는 물체의 길이를 정지해 있는 관찰자가 측정할 때, 그 길이는 고유 길이보다 짧아진다.

이는 물체가 이동하는 방향에 따른 상대적 길이 변화로, 이동 방향에 수직인 방향에서는 변화가 없고 이동 방향으로만 길이가 줄어든다.

예를 들어, 우주선이 빛의 속도에 가까운 속도로 이동하고 있을 때, 지구에 있는 관찰자가 보기에는 우주선의 길이가 줄어든 것처럼 보이게 된다. 길이 수축은 고유 길이(proper length)와 관측 길이(observed length)의 차이로 설명되며, 속도가 증가할수록 그 차이가 더욱 커진다. 길이 수축 현상은 다음과 같은 수식으로 나타낼 수 있다

여기서 L은 이동하는 물체의 관측 길이이고, L0는 물체가 정지한 상태에서의 고유 길이, v는 물체의 속도, c는 빛의 속도이다. 이 수식에 따르면, 속도가 증가할수록 이동 방향의 길이가 줄어들며, 이론적으로는 빛의 속도에 가까워질수록 거의 무한히 줄어드는 것으로 나타난다.

이 현상 역시 실험적으로 입증되었다. 예를 들어, 대기 중에서 고속으로 이동하는 우주 입자의 수명이 길어지는 것으로 보이는 현상은 길이 수축과 관련이 있다. 입자 자신은 정지 상태에서 짧은 거리를 이동하는 것으로 인식하지만, 외부의 정지한 관찰자에게는 길이 수축으로 인해 더 긴 거리를 이동할 수 있게 되어 수명이 길어진 것처럼 보인다.

이러한 시간 지연과 길이 수축 현상은 절대적인 시간과 공간이 존재한다는 고전 물리학의 개념을 무너뜨리고, 관찰자의 위치와 운동 상태에 따라 시공간의 특성이 변화할 수 있음을 보여준다.

빛의 속도가 모든 관성계에서 동일하게 측정된다는 가정에서 출발한 특수 상대성 이론은 시간과 공간이 고정된 절대적 개념이 아님을 증명하며, 시간과 공간이 하나의 연속체로 연결된 상대적 개념임을 드러낸다. 이는 시간과 공간을 독립적인 요소로 보던 기존의 사고를 전환시키고, 현대 물리학에서 시공간의 개념을 근본적으로 바꾸는 데 중요한 역할을 하였다.

시간지연 효과 예시_뮤온

시간 지연 효과에 대한 뮤온(muon) 예시는 특수 상대성 이론의 시간 지연 현상을 실험적으로 확인할 수 있는 대표적인 사례이다. 뮤온은 우주선(cosmic rays)이 지구 대기층에 충돌하면서 생성되는 소립자로, 짧은 수명을 가지고 있다. 뮤온의 수명은 정지한 상태에서 약 2.2μ초(마이크로초)이며, 이 수명 동안 빛의 속도의 약 99%에 해당하는 빠른 속도로 이동한다.

이론적으로 뮤온이 생성된 위치에서 지표면까지 도달하기 위해서는 수 km의 거리를 이동해야 한다. 하지만 정지한 상태에서의 뮤온 수명으로는 이 거리를 이동하기에 충분하지 않다. 예를 들어, 정지한 뮤온은 2.2μ초 동안 약 660m 정도밖에 이동하지 못하므로, 지표면에 도달하기 전에 대부분 붕괴하여 사라져야 한다.

그러나 실제로 지표면에서 검출되는 뮤온의 수는 예상보다 훨씬 많다. 이는 시간 지연 효과 때문이다. 고속으로 이동하는 뮤온에게는 상대적으로 시간이 느리게 흐르기 때문에, 그 수명이 길어진 것처럼 보인다. 뮤온이 이동하는 동안에는 뮤온 자신의 기준에서 시간이 느리게 흘러, 붕괴되지 않은 상태로 지표면까지 도달할 수 있게 된다. 다시 말해, 지구의 관찰자에게는 뮤온이 수명이 길어진 것처럼 보이지만, 뮤온 자체의 기준에서는 여전히 짧은 수명 동안 이동한 것으로 인식한다.

이 시간 지연 효과는 특수 상대성 이론의 수식을 통해 정량적으로 설명할 수 있다. 뮤온이 거의 빛의 속도로 이동할 때, 그 시간 지연 비율을 계산할 수 있다.

이와 같은 시간지연 효과는 뮤온의 속도가 광속에 가까울 때 더 크게 발생할 수 있다. 실제 연구된 뮤온은 0.9950c ~ 0.9940c 사이의 속도를 갖는다. 이와 같은 뮤온의 시간 지연 효과는 섬광계수기를 이용해 해발 1.94km 지점에서 진행되었다.

이론적인 뮤온보다 더 많은 뮤온이 살아 남았으므로 시간 지연이 발생한다. 이는 뮤온이 원래의 반감기보다 긴 시간을 생존한 것이 아니라 반감기보다 짧은 시간(시간지연)이 흘렀기 때문에 일어난 현상으로 볼 수 있다. 이와 같은 실험적 결과를 통해서 시간지연 효과는 합리적 논증으로 볼 수 있게 된다.




5. 로렌츠 효과와 상대론적 도플러 효과


아인슈타인과 헨드릭 로렌츠가 발전시킨 로렌츠 변환은 특수 상대성 이론의 핵심 수학적 도구로, 관성계에서의 시간과 공간 좌표가 서로 다른 관성계에서 어떻게 변환되는지를 설명한다. 로렌츠 변환을 통해 고속으로 이동하는 물체에서 관찰되는 시간 지연과 길이 수축 현상을 수식적으로 나타낼 수 있다. 이는 모든 관성계에서 빛의 속도가 일정하다는 가정 아래에서 도출되었다.


로렌츠 변환의 기본 개념

로렌츠 변환은 두 개의 관성계, 즉 서로 일정한 속도로 움직이는 두 관성계 간의 시간과 공간 좌표를 변환하는 수식을 제공한다. 이 변환을 통해 서로 다른 속도로 움직이는 관찰자들이 서로 다른 시간과 공간을 경험하게 된다는 상대성 원리를 수학적으로 표현할 수 있다.

로렌츠 변환을 이해하기 위해 두 관성계를 설정한다: S는 정지해 있는 관성계, S′: S에 대해 속도 v로 x축 방향으로 움직이는 관성계

이때, S에서 좌표와 시간은 (x,y,z,t)로 나타내고, S′에서 좌표와 시간은 (x′,y′,z′,t′)로 나타낸다. 빛의 속도 c는 모든 관성계에서 일정하게 유지된다.



로렌츠 변환의 의미

로렌츠 변환은 특수 상대성 이론에서 중요한 두 가지 현상을 설명한다:

시간 지연: S 관성계에서 S′가 움직이고 있을 때, S의 관찰자에게는 S′ 관성계에서 시간이 더 느리게 흐르는 것처럼 보인다. 이 시간 지연 효과는 γ 값이 커질수록 증가한다.

길이 수축: S 관성계에서 S′가 x축 방향으로 움직일 때, S의 관찰자에게는 S′에서 측정된 물체의 길이가 줄어든 것처럼 보인다. 이 길이 수축 역시 γ 값이 커질수록 증가하며, 이동 방향으로만 일어난다.


로렌츠 변환의 역사적 배경과 중요성

헨드릭 로렌츠는 처음으로 로렌츠 변환을 제시했으나, 아인슈타인이 이를 특수 상대성 이론의 핵심 요소로 도입함으로써 로렌츠 변환은 상대성 이론의 필수적인 도구가 되었다.

로렌츠 변환은 절대적인 시간과 공간이 아니라, 관찰자에 따라 시간과 공간이 서로 상대적으로 변할 수 있음을 수학적으로 증명하는 역할을 한다.

이 변환은 또한 빛의 속도가 모든 관성계에서 일정함을 보장하며, 기존의 고전 물리학 개념을 현대 물리학으로 전환하는 데 중요한 역할을 했다.



상대론적 도플러 효과의 기본 개념

상대론적 도플러 효과는 특수 상대성 이론에 기반하여, 빛과 같은 고속 파동이 발생원과 관찰자 사이의 상대 운동에 의해 주파수와 파장이 변하는 현상을 설명한다. 고전적인 도플러 효과는 빛이 아닌 소리처럼 매질을 통해 전파되는 파동에 적용되지만, 빛의 경우 빛의 속도가 모든 관성계에서 일정하다는 특수 상대성 이론의 가정 때문에 상대론적 고려가 필요하다.

빛의 상대론적 도플러 효과에서는 발생원과 관찰자의 상대 속도가 빛의 속도와 비교될 만큼 빠를 때 고전적인 도플러 효과와는 다른 주파수 변화가 나타난다. 상대론적 도플러 효과에서는 다음과 같은 두 가지 경우를 고려한다.

발생원이 관찰자에게 접근할 때 (청색편이): 발생원이 관찰자를 향해 이동할 때, 빛의 파장은 짧아지고 주파수는 증가한다. 이는 발생원이 내는 빛이 청색 쪽으로 이동하는 청색편이(blueshift) 현상으로 나타난다.

발생원이 관찰자로부터 멀어질 때 (적색편이): 발생원이 관찰자로부터 멀어질 때, 빛의 파장은 길어지고 주파수는 감소한다. 이 경우 빛의 파장은 적색 쪽으로 이동하는 적색편이(redshift) 현상이 나타난다.


상대론적 도플러 효과의 특징

고전적 도플러 효과와의 차이점: 고전적 도플러 효과는 빛의 속도에 비해 훨씬 느린 물체에 대해 설명할 때 사용되며, 상대 속도가 커질수록 주파수 변화가 더 크다는 선형적 관계를 보인다. 그러나 상대론적 도플러 효과는 빛의 속도와 비교될 정도로 빠른 속도에서 더 큰 주파수 변화를 보이며, 상대론적 보정이 필요한 비선형적 변화를 설명한다.

적색편이와 청색편이: 상대론적 도플러 효과는 우주론적 관찰에서 자주 사용된다. 멀어지는 천체의 적색편이 현상(예: 은하의 후퇴)이나 가까워지는 천체의 청색편이 현상(예: 블루시프트) 모두를 상대론적 도플러 효과를 통해 설명할 수 있다. 이는 빅뱅 이론에 의해 제안된 우주 팽창을 이해하고, 은하와 별들이 지구로부터 멀어지거나 가까워지는 속도를 측정하는 데 중요한 역할을 한다.

우주론적 시공간 해석: 우주의 팽창 속도와 관련하여, 멀리 있는 천체일수록 더 큰 적색편이가 관찰되는데, 이는 상대론적 도플러 효과를 통해 설명된다. 이로 인해 천문학자들은 관측된 적색편이의 정도를 통해 천체의 거리와 우주 팽창률을 분석할 수 있다.


0. 나오기


아인슈타인이 빛에 집중하게 된 이유는 빛이 기존 물리학 이론으로 설명하기 어려운 특성을 가지고 있었고, 이를 통해 고전 물리학의 한계를 드러내며 새로운 물리학적 패러다임을 제시할 가능성을 열었기 때문이다. 아인슈타인이 빛에 집중하게 된 이유는 다음과 같다. 결국 그 시대의 패러다임과 시대적인 트렌드가 난제로써 빛의 존재였던 것이다. 빛을 통해서 아인슈타인은 새로운 이론적 틀로 들어갔다. 사실 생각해보면 빛보다 빠른 존재가 없기 때문에 빛이 존재하는 것 중에서 가장 앞에 있어서 움직이지 않거나 등속도를 하거나 입자이면서 파동이라고 말하는 것 같다. 차원이 더 높은 수준으로 넘어가지 않는 상황에서는 빛이 이 관성계에서 가장 빠른 존재이기 때문에 여전히 우리는 예측할 수 있는 수준에서 이해하고 있는 것 같다. 과학은 언제나 열려 있고 언제나 회의적으로 볼 수 있기 때문에 더 공부를 해야 할 것 같다.


아인슈타인이 빛에 집중한 이유

1. 빛의 속도 불변성과 특수 상대성 이론의 기초 : 빛의 속도는 모든 관성계에서 일정하다는 실험적 결과는 당시 물리학의 큰 난제였다. 특히 마이컬슨-몰리(Michelson-Morley) 실험은 빛의 속도가 어떤 관성계에서도 동일하다는 사실을 보여주었다. 이는 기존의 뉴턴 역학과 모순되는 결과로, 고전 역학에서는 관찰자의 움직임에 따라 빛의 속도가 달라야 했기 때문이다. 아인슈타인은 이 실험 결과에 주목하여 "빛의 속도가 모든 관성계에서 일정하다"는 가설을 제안했고, 이를 특수 상대성 이론의 핵심 원리로 삼아 새로운 물리학 체계를 구축할 수 있었다.

2. 빛과 전자기파의 특성 연구 : 당시의 전자기학 연구, 특히 맥스웰의 전자기 방정식은 빛을 전자기파로 설명하며, 빛의 속도가 진공에서 일정하다는 예측을 했다. 그러나 이 방정식이 예측하는 일정한 빛의 속도는 고전적 관성 운동 개념과 충돌했다. 빛이 에테르라는 가상의 매질을 통해 전파된다고 가정했지만, 에테르의 존재는 마이컬슨-몰리 실험에 의해 부정되었다. 이 문제는 아인슈타인에게 기존 이론이 아닌 새로운 틀을 필요로 한다는 확신을 주었다.

3. 빛의 입자적 성질과 양자 이론의 시작 : 아인슈타인은 광전효과 연구를 통해 빛이 입자적 성질을 지니고 있다는 사실을 발견했다. 당시에는 빛이 오직 파동으로만 설명될 수 있다고 여겨졌으나, 광전효과에서 관찰된 전자의 방출은 빛의 에너지가 불연속적인 양자, 즉 광자의 형태로 전달될 때만 설명이 가능했다. 아인슈타인은 이를 통해 빛의 입자-파동 이중성 개념을 제시하며 양자 이론의 기초를 마련했다. 빛에 대한 연구는 이후 양자역학의 발전에 중요한 역할을 했고, 이를 통해 고전 물리학이 설명하지 못하는 현상들을 해명할 수 있었다.

4. 우주론적 중요성: 빛의 도플러 효과와 우주 팽창 : 빛은 천문학과 우주론에서도 중요한 역할을 한다. 별과 은하에서 방출되는 빛의 주파수 변화(도플러 효과)는 천체의 이동 속도와 방향을 이해하는 데 필수적이다. 특히, 빛의 적색편이는 우주 팽창을 설명하는 중요한 근거가 되었으며, 아인슈타인의 상대성 이론을 기반으로 한 우주론적 연구에 큰 영향을 주었다.

5. 시간과 공간의 재정의 : 아인슈타인은 빛의 속도가 일정하다는 사실을 이용해 시간과 공간의 개념을 재정의했다. 빛의 속도가 절대적인 상수라면, 이를 설명하기 위해 시간과 공간이 상대적이라는 결론에 도달하게 된다. 아인슈타인은 빛을 이용해 시간 지연, 길이 수축과 같은 상대성 이론의 핵심 개념을 도출했으며, 빛의 속도가 시공간의 구조와 밀접하게 연결되어 있음을 보여주었다.

keyword