brunch
매거진 과학일기

양자역학과 코펜하겐 해석

물리학의 역사와 철학

by 낭만민네이션

0. 들어가기


양자역학(Quantum Mechanics)은 미시 세계에서 물질과 에너지의 상호작용을 설명하는 현대 물리학의 핵심 이론이다. 고전 물리학으로는 설명할 수 없는 원자와 아원자 입자의 특성을 다루며, 전자의 운동, 원자의 구조, 광자와 물질의 상호작용, 그리고 양자 상태의 본질적인 확률적 성격을 이해하는 데 사용된다. 양자역학은 1900년 막스 플랑크의 흑체 복사 문제 해결을 계기로 시작되었고, 이후 알베르트 아인슈타인의 광전 효과, 닐스 보어의 원자 모형, 슈뢰딩거의 파동역학, 하이젠베르크의 행렬역학 등을 통해 정립되었다. 이론은 물리학의 전통적 결정론을 넘어, 확률론적 성격과 파동-입자 이중성 같은 새로운 개념을 제시하며, 현대 과학기술의 기초가 되었다. 오늘부터는 양자역학에 대해서 알아보고 코펜하겐 해석과 EPR 논문, 그리고 코펜하겐 해석에 대해서 알아볼 예정이다.


양자역학의 개념

양자화(Quantization) : 에너지는 연속적이 아니라 불연속적인 양자화된 값으로 존재한다. 예를 들어, 전자는 특정 에너지 준위에서만 안정적으로 존재할 수 있으며, 에너지를 흡수하거나 방출할 때 불연속적인 양자 단위로 변화한다.

파동-입자 이중성(Wave-Particle Duality) : 모든 물질과 빛은 입자이면서 동시에 파동의 성질을 가진다. 예를 들어, 전자는 간섭과 회절 같은 파동적 성질을 보이지만, 동시에 입자로 간주할 수 있다. 이는 루이 드 브로이의 물질파 이론과 관련 있다.

확률적 성질(Probabilistic Nature) : 양자역학에서는 입자의 정확한 위치와 운동량을 동시에 결정할 수 없다(하이젠베르크의 불확정성 원리). 대신, 파동함수 ψ\psiψ를 통해 입자가 특정 위치에 있을 확률 분포를 예측한다.

슈뢰딩거 방정식(Schrödinger Equation) : 입자의 상태와 시간적 변화를 기술하는 기본 방정식이다. 파동함수 ψ\psiψ는 이 방정식을 통해 계산되며, 확률 밀도를 통해 입자의 물리적 상태를 해석할 수 있다.

양자 얽힘(Quantum Entanglement) : 두 입자가 얽혀 있는 경우, 한 입자의 상태가 측정되면 다른 입자의 상태도 즉시 결정된다. 이는 두 입자가 물리적으로 멀리 떨어져 있어도 영향을 미칠 수 있다는 점에서 고전 물리학과의 큰 차이를 보여준다.


1. 모든 문제의 시작, 자외선 파탄


고전역학으로는 설명되지 않은 부분들이 발생하는 부분은 바로 가장 작은 단위인 원자의 세계로 들어갈 때이다. 원래 양자라는 말은 띄엄띄엄이라는 뜻이고 이것을 영어로 Quantum이라고 한다. 그럼 이것의 반대는 연속성이라고 해서 Continuum이라고 한다. 그럼 무엇이 연속적이고 무엇이 비연속적일까? 그것은 전자의 파동이다. 원자핵 주변을 돌고 있는 전자는 파동이고 이 파동은 하나가 아니다. 파동을 분석해보면 어느정도의 질량을 가진 것들은 파동이 일정하지만 전자의 단위에서 보면 아주 작은 단위로 내려가면 자외선 영역에 있는 파장은 무한대로 증가해버린다. 이를 자외선 파탄이라고 한다. 이것은 결국 고전역학에서 말하는 일정한 질량의 크기에서 보는 파동이 작은 세계로 내려갈 수록 안 맞는다는 이야기를 한다. 그래서 양자역학에 대한 이야기는 자외선 파탄의 문제로 시작된다.


자외선 파탄의 정의와 문제점

자외선 파탄은 흑체 복사를 설명하려던 고전 물리학 이론에서 짧은 파장에서 복사 에너지가 무한대로 증가한다고 예측하면서 발생한 이론적 모순이다.

고전 물리학의 레일리-진스 법칙은 긴 파장에서 흑체 복사의 분광 분포를 잘 설명했으나, 짧은 파장(특히 자외선 영역)에서는 실험 결과와 전혀 맞지 않는 결과를 내놓았다.

이 법칙에 따르면 파장이 짧아질수록 복사 에너지가 무한대로 발산해야 하지만, 실험적으로 관찰된 흑체 복사는 짧은 파장에서 복사 에너지가 급격히 감소한다. 이러한 모순은 고전 물리학으로는 해결할 수 없었고, 이를 자외선 파탄이라 부르며 고전적 사고 체계의 한계를 상징하는 문제로 자리 잡았다.


흑체 복사와 레일리-진스 법칙

흑체 복사는 모든 파장에서 에너지를 흡수하고 방출하는 이상적인 물체가 방출하는 복사 에너지의 분포를 나타낸다.

고전 전자기학과 열역학의 결합으로 도출된 레일리-진스 법칙은 복사 에너지가 파장의 네 제곱에 반비례한다는 결론을 내렸다.

긴 파장에서는 이 법칙이 실험 결과와 잘 맞아 흑체 복사를 설명하는 데 유효했지만, 짧은 파장에서는 복사 세기가 발산하는 물리적으로 불가능한 결과를 예측하였다.

이로 인해 고전 물리학 체계로는 흑체 복사 분포를 완전히 설명할 수 없었다. 특히 자외선 영역에서 실험 결과와의 불일치는 극명하게 나타났으며, 이 문제를 해결하지 못한 상태로는 현대 과학에서 필수적인 현상들을 이해하기 어려웠다.


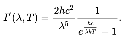
플랑크의 복사법칙


플랑크의 양자화로 문제 해결

자외선 파탄 문제를 해결하기 위해 막스 플랑크는 1900년에 에너지가 연속적이지 않고 불연속적인 양자 단위로 방출된다는 혁신적인 가설을 제안하였다.

그는 복사 에너지가 E=hν (여기서 h는 플랑크 상수, ν는 진동수)로 양자화된다고 가정하여 짧은 파장에서 복사 세기가 감소하는 실험 결과를 성공적으로 설명하였다.

플랑크의 복사 법칙은 복사의 세기가 짧은 파장에서 발산하지 않고 점진적으로 감소하는 현상을 정확히 예측하였다.

이 법칙은 고전 물리학과의 차별성을 보이며, 실험적 관찰과 완벽히 부합하였다. 플랑크의 가설은 물리학에 양자화 개념을 도입하며 고전 물리학의 틀을 근본적으로 확장시켰다.



양자역학의 탄생과 의의

자외선 파탄은 고전 물리학이 설명할 수 없는 한계를 드러내며, 양자역학의 탄생을 촉진한 중요한 사건이었다. 플랑크의 양자화 개념은 이후 아인슈타인의 광전 효과 설명에 적용되었고, 이는 빛의 입자적 성질을 입증하며 양자역학의 발전을 가속화하였다.

또한, 보어의 원자 모형은 플랑크의 이론을 기반으로 원자 에너지 준위를 설명하였고, 슈뢰딩거와 하이젠베르크는 이를 발전시켜 양자역학을 완성하였다.

자외선 파탄의 해결은 물리학에서 새로운 이론적 전환을 요구한 계기가 되었으며, 이는 현대 과학에서 핵물리학, 반도체 기술, 양자 컴퓨팅 등 다양한 응용 분야로 이어졌다. 자외선 파탄은 단순한 실패가 아닌 과학의 근본적 변화를 이끌어낸 역사적 사건으로 평가된다.



2. 양자세계의 발견, 러더퍼드의 원자핵


톰슨의 전자 발견은 원자가 더 이상 단일한 입자가 아니라 내부 구조를 가진 복합적인 존재임을 최초로 보여주었다. 이어 러더퍼드는 원자핵이라는 새로운 개념을 도입하여 원자의 중심부에 질량과 양전하가 집중되어 있음을 밝혔고, 원자의 구조를 입자적 관점에서 이해할 수 있는 틀을 마련하였다. 마지막으로 채드윅은 중성자의 발견을 통해 원자핵의 구성 요소를 완성함으로써 원자 모형을 현대적으로 정립하였다. 이 세 과학자의 발견은 원자 구조를 이해하는 데 혁명적인 변화를 가져왔으며, 현대 물리학과 화학에서 핵심적인 기반을 제공하였다.


톰슨과 전자의 발견

J.J. 톰슨(J.J. Thomson)은 1897년 음극선 실험을 통해 원자가 더 작은 입자로 이루어져 있다는 사실을 발견하며, 전자를 최초로 규명하였다. 음극선 실험에서 톰슨은 전자가 음전하를 띤 매우 가벼운 입자라는 것을 밝혔고, 전자의 전하와 질량의 비율도 계산하였다.

그는 이를 기반으로 원자가 양전하를 띤 물질로 채워진 구형 구조를 가지며, 음전하를 띤 전자가 그 안에 박혀 있다고 설명하는 "푸딩 모형(Plum Pudding Model)"을 제안하였다. 이 모형은 원자가 더 이상 불가분의 기본 입자가 아니라, 내부적으로 구성 요소를 가진 복합적인 구조임을 최초로 보여주었다.

톰슨의 발견은 전기적 특성과 관련하여 원자의 성질을 설명하는 데 중요한 첫걸음을 제공하였으며, 현대 원자 모델의 기초가 되었다.



러더퍼드와 원자핵의 발견

어니스트 러더퍼드(Ernest Rutherford)는 1909년 금박 실험을 통해 톰슨의 푸딩 모형을 반박하고 원자 구조에 대한 새로운 이론을 제시하였다. 그의 실험은 알파 입자를 얇은 금박에 쏘아 입자의 궤적을 관찰하는 방식으로 이루어졌다.

실험 결과 대부분의 알파 입자는 금박을 직선으로 통과했지만, 일부 입자는 큰 각도로 튕겨 나가거나 반사되는 특이한 현상이 관찰되었다. 이를 통해 러더퍼드는 원자의 대부분이 빈 공간으로 이루어져 있으며, 원자 질량의 거의 전부가 중심의 매우 작은 공간(원자핵)에 집중되어 있다는 결론을 내렸다.

그는 원자핵이 양전하를 띤 입자로 구성되어 있고, 전자는 원자핵 주위를 궤도를 그리며 회전한다고 제안하였다. 이러한 "러더퍼드 원자 모형"은 원자가 중심의 원자핵과 그 주위를 도는 전자로 이루어진 구조라는 새로운 개념을 제시하였다. 이는 원자 구조에 대한 현대적 관점을 열게 된 중요한 발견이었다.


채드윅과 중성자의 발견

제임스 채드윅(James Chadwick)은 1932년 중성자를 발견하며 원자핵 구조의 퍼즐을 완성하였다. 당시 러더퍼드의 모델은 원자핵이 양성자로만 이루어져 있다고 가정했지만, 이러한 모델로는 원자핵의 질량과 안정성을 완전히 설명할 수 없었다.

특히, 동일한 전하를 가진 양성자가 핵 안에서 서로 강하게 반발하는 문제를 해결하기 위해 새로운 입자의 존재가 필요했다.

채드윅은 실험에서 알파 입자를 특정 원소에 충돌시켰을 때 전하를 띠지 않으면서도 질량을 가진 새로운 입자가 방출된다는 사실을 발견하였다. 이를 통해 중성자의 존재를 입증하였으며, 중성자는 원자핵 내에서 양성자 사이의 전기적 반발을 상쇄하고 원자핵의 질량을 증가시키는 역할을 한다고 설명하였다.

중성자의 발견은 원자핵의 구조를 보다 정교하게 이해할 수 있게 하였으며, 이후 핵분열과 같은 현대 핵물리학의 발전에 크게 기여하였다.



보어의 원자모형은 닐스 보어가 1913년에 제안한 이론으로, 러더퍼드 원자모형의 한계를 해결하고 원자의 구조를 양자화 개념으로 설명하였다. 그는 전자가 원자핵 주위를 돌 때 특정 궤도에서만 안정적으로 존재할 수 있다고 주장하였으며, 이러한 궤도는 양자수 n에 따라 정해진다. 보어는 전자가 고정된 궤도에서는 에너지를 방출하거나 흡수하지 않으며, 전자가 궤도 사이를 이동할 때만 에너지 변화가 발생한다고 설명하였다. 보어의 원자모형에서는 전자가 특정 궤도에 있을 때의 에너지가 양자화되어 있으며, 각 궤도의 에너지는 불연속적인 값을 가진다. 전자가 높은 에너지 준위에서 낮은 에너지 준위로 이동하면, 그 차이에 해당하는 에너지를 빛(광자)으로 방출하며, 반대로 낮은 준위에서 높은 준위로 이동하려면 빛을 흡수해야 한다. 이러한 에너지 준위 간의 전이를 통해 원자는 특정 파장의 스펙트럼선을 방출하거나 흡수한다. 이 과정은 수소 원자의 발머 계열, 라이먼 계열 등 스펙트럼선을 정확히 설명하였다.


보어의 원자모형은 수소 원자와 같이 단일 전자를 가진 원자에서는 정확한 예측을 제공했지만, 다전자 원자에는 적용되지 못하는 한계가 있었다. 또한, 전자를 입자로만 간주하여 전자의 파동적 성질을 설명하지 못했으며, 전자가 고정된 궤도를 돈다는 가정은 고전 전자기학과 충돌하였다. 이로 인해 보어의 원자모형은 더 복잡한 원자의 구조를 설명하기에는 부족하였다. 보어의 원자모형은 에너지와 전자의 운동이 양자화된다는 개념을 물리학에 도입하며 고전 물리학의 한계를 극복하였다. 특히, 수소 원자의 스펙트럼선을 성공적으로 설명하며 실험적 관찰과 이론이 일치하는 대표적인 사례를 제공하였다. 비록 한계는 있었지만, 보어의 이론은 이후 양자역학의 발전에 중요한 기초가 되었으며, 현대 물리학으로의 전환점으로 평가된다.


3. 닐스보어의 원자모형과 행렬학파


보어의 반 고전적 모형

보어의 원자모형은 고전 물리학에 양자화 개념을 결합한 독특한 접근으로, 이를 흔히 **반 고전적 모형(Semi-classical Model)**이라고 부른다. 이 모형은 고전 역학과 전자기학의 틀에서 시작하지만, 일부 핵심 개념에서 고전 물리학의 가정을 벗어나 양자화라는 혁신적인 아이디어를 도입하였다. 이로 인해 보어의 원자모형은 고전적 물리학과 현대 양자역학 사이의 다리 역할을 하였다.

고전적 요소 : 보어의 모형은 러더퍼드의 태양계 구조와 유사한 고전적 틀에서 출발하였다. 그는 전자가 원자핵 주위를 궤도를 따라 회전한다는 가정을 유지했으며, 전자와 원자핵 사이의 인력이 뉴턴의 운동 법칙과 쿨롱 법칙에 따라 작용한다고 설명하였다. 이 관점은 전자 궤도의 존재와 전자-핵 간의 상호작용을 고전적인 방식으로 이해하는 데 기초를 두고 있다.

양자적 혁신 : 보어의 모델에서 고전 물리학을 초월한 핵심 요소는 궤도의 양자화이다. 그는 전자가 특정 에너지 준위에만 존재할 수 있으며, 이 에너지 준위는 양자수 nnn에 따라 결정된다고 주장하였다. 또한, 전자가 궤도를 따라 움직이는 동안에는 에너지를 방출하거나 흡수하지 않는다는 "정상 상태(Stationary State)" 개념을 도입하였다. 이 양자적 가정은 고전 물리학으로는 설명할 수 없었던 수소 원자의 스펙트럼선을 정확히 설명하는 데 성공하였다.

반 고전적 모형의 한계 : 보어의 모형은 고전적 원리와 양자적 가정을 결합한 형태로 성공을 거두었지만, 여전히 여러 한계를 지녔다. 전자가 궤도를 돌며 가속 운동을 한다면 고전 전자기학에 따라 에너지를 방출하고 결국 핵으로 떨어져야 하는 문제가 존재했다. 또한, 다전자 원자의 구조나 원자 스펙트럼의 정밀한 세부 사항을 설명하지 못했으며, 전자의 파동성을 반영하지 못했다. 이로 인해 보어의 반 고전적 모형은 더 정교한 양자역학의 등장으로 대체되었다.

의의와 영향 : 보어의 반 고전적 모형은 고전 물리학과 양자화 개념을 융합하여 원자 구조에 대한 이해를 획기적으로 발전시켰다. 이 모형은 고전 물리학이 설명하지 못했던 원자의 안정성과 스펙트럼선을 성공적으로 해명했으며, 양자화의 중요성을 보여주는 첫 사례가 되었다. 이후 슈뢰딩거의 파동역학과 하이젠베르크의 행렬역학으로 이어지는 현대 양자역학의 기초를 닦는 데 결정적인 기여를 하였다.


행렬역학파와 양자역학의 탄생

행렬역학파(Matrix Mechanics)는 양자역학의 첫 번째 공식적인 이론으로, 1925년 베르너 하이젠베르크(Werner Heisenberg)가 제안하였다. 하이젠베르크는 고전역학이 미시 세계에서의 물리적 현상을 설명하지 못하는 한계를 극복하고자, 물리량을 고전적 궤도로 기술하지 않고 직접적으로 관측 가능한 값에 초점을 맞췄다. 이를 통해 물리량을 행렬(Matrix)이라는 수학적 형태로 표현하고, 이들의 상호작용과 변화를 새로운 방식으로 기술하였다. 이 접근법은 고전역학에서의 직관적인 운동 기술과는 근본적으로 다른 추상적인 대수적 체계를 도입하였다.

행렬역학의 발전은 막스 보른(Max Born)과 파스쿠알 요르단(Pascual Jordan)의 수학적 공헌으로 더욱 체계화되었다. 보른은 하이젠베르크의 초기 작업에서 물리량의 행렬 표현과 연산 규칙을 정리하고, 행렬 대수학을 통해 양자 상태의 계산 방법을 확립하였다. 특히, 물리량 간의 교환 관계(Commutator)를 정의하며, 관측 가능한 양자 상태의 성질을 행렬 연산으로 이해할 수 있도록 했다. 이 과정에서 불확정성 원리는 핵심적인 결과로 나타났다. 이 원리는 물리량 간의 교환 관계를 기반으로 위치와 운동량이 동시에 정확히 측정될 수 없음을 수학적으로 보여주었다 :[x^,p^]=iℏ, x^는 위치 연산자, p^는 운동량 연산자, ℏ는 디렉 상수이다. 이 관계는 양자역학의 본질적 비결정성을 반영하며, 고전역학과의 근본적인 차이를 강조하였다.

행렬역학은 물리량의 변화뿐만 아니라 시간 의존성도 행렬 연산으로 설명하였다. 하이젠베르크는 에너지가 불연속적으로 양자화되어 있음을 가정하며, 양자 상태의 시간 변화는 행렬 대수적 계산으로 예측할 수 있다고 주장했다. 이 접근은 고전 물리학에서 나타나는 연속적인 에너지 변화와 구별되며, 수소 원자의 스펙트럼선과 같은 실험적 결과를 정확히 설명하는 데 성공하였다. 예를 들어, 수소 원자의 에너지 준위 간 전이를 통해 발생하는 불연속적인 스펙트럼선은 행렬역학으로 완벽히 기술될 수 있었다.

행렬역학파는 직관적인 물리적 해석보다는 수학적 엄밀성을 강조하며, 양자 상태를 대수적으로 처리하는 방식을 발전시켰다. 이러한 추상적인 접근은 초기에는 물리학자들에게 받아들여지기 어려웠지만, 미시 세계의 특성을 명확히 이해하는 데 매우 유용하다는 점이 점차 증명되었다. 또한, 이 이론은 고전적인 위치와 운동량의 개념을 대체하며 관측 가능량(Observable)의 새로운 정의를 도입함으로써, 물리학에서의 패러다임 전환을 가져왔다.

결국, 행렬역학은 이후 슈뢰딩거의 연속성 학파(Wave Mechanics)와 통합되어 양자역학의 완성에 기여하였다. 두 학파는 수학적으로 동등하며, 서로 다른 방식으로 동일한 물리적 현상을 설명한다는 점이 밝혀졌다. 행렬역학은 고전 물리학의 한계를 넘어서 양자역학의 새로운 길을 열었으며, 현대 물리학과 공학에서 여전히 핵심적인 역할을 하는 이론적 기반을 제공하였다.


연속학파의 특징과 장점

연속학파는 고전적인 파동 이론과 유사한 접근 방식을 통해 전자의 상태를 설명하여 물리적으로 직관적인 이해를 가능하게 하였다. 파동함수를 사용하여 전자의 위치와 에너지 상태를 확률적으로 설명할 수 있었으며, 전자가 특정 궤도를 따라 움직인다는 고전적 개념 대신, 공간에 확률적으로 분포한다는 새로운 관점을 제시하였다.

이러한 특징은 연속학파를 통해 수소 원자의 스펙트럼선을 성공적으로 설명할 수 있도록 했다. 슈뢰딩거 방정식을 통해 수소 원자의 에너지 준위와 전자의 분포를 정확히 계산하였으며, 이로써 전자의 상태가 불연속적인 에너지 준위에서만 존재한다는 점을 실험적으로 입증하였다. 연속학파는 이러한 결과를 바탕으로 양자역학의 실험적 검증을 뒷받침하였다.

또한, 연속학파는 확률 해석의 기초를 제공하며, 미시 세계의 비결정론적 특성을 설명하였다. 파동함수는 관측 가능한 물리량의 확률 분포를 제공하며, 양자화된 에너지 준위와 관측 가능한 양자 상태를 자연스럽게 도출하였다. 이러한 점은 고전역학과의 차별성을 보여주는 동시에, 양자역학을 현대 물리학의 중심 이론으로 자리 잡게 하였다.

한계와 통합 : 연속학파는 물리적 직관을 제공하는 데 강점이 있었지만, 초기에는 행렬역학에 비해 수학적 일반성이 부족하다는 한계가 있었다. 슈뢰딩거 방정식은 전자와 같은 입자의 파동성을 잘 설명했지만, 복잡한 다전자 시스템에서는 계산이 어려운 문제가 있었다. 또한, 파동함수가 실제로 무엇을 의미하는지에 대한 논란이 있었으며, 초기에는 물리적 실재성을 나타낸다는 해석이 논쟁의 중심에 있었다.

그러나 1926년 슈뢰딩거는 연속학파와 하이젠베르크의 행렬역학이 수학적으로 동등하다는 것을 증명하였다. 이로써 두 접근 방식은 통합되어 현대 양자역학의 기본 틀이 되었다. 특히, 코펜하겐 해석이 파동함수를 확률 밀도로 해석함으로써 연속학파는 물리학적으로 더 큰 의미를 갖게 되었다.

의의와 영향 : 연속학파는 양자역학을 직관적이고 물리적으로 이해할 수 있는 강력한 도구를 제공하였다. 슈뢰딩거 방정식은 전자의 파동적 성질을 성공적으로 기술하며, 원자와 분자의 구조, 화학 반응, 전자의 운동 등 다양한 현상을 설명하는 데 필수적인 이론으로 자리 잡았다. 연속학파는 하이젠베르크의 행렬역학과 함께 양자역학의 완성에 기여하였으며, 두 학파의 통합은 양자역학을 현대 물리학과 공학의 핵심 이론으로 발전시켰다. 오늘날 연속학파는 원자와 분자의 구조를 분석하거나 전자의 운동을 시뮬레이션하는 데 사용되며, 물리학, 화학, 나노과학 등 다양한 분야에서 필수적인 이론으로 활용되고 있다.



연속학파의 정의와 배경

연속학파는 1926년 에르빈 슈뢰딩거가 제안한 양자역학의 접근 방식으로, 전자의 파동적 성질을 기반으로 미시 세계의 물리적 상태를 설명한다. 이 학파는 고전적인 입자 개념을 넘어 전자를 파동으로 간주하며, 이를 수학적으로 표현하기 위해 **파동함수(Wave Function)**를 도입하였다. 슈뢰딩거는 이 이론을 통해 고전역학으로는 설명할 수 없었던 현상, 특히 수소 원자의 스펙트럼선과 같은 양자화된 에너지 상태의 문제를 성공적으로 해결하였다. 연속학파는 양자 상태를 연속적이고 확률적인 방식으로 표현하며, 이를 바탕으로 미시 세계의 비결정론적 특성을 이해하는 데 기여하였다.

연속학파는 당시 물리학계에서 중요한 혁신으로 여겨졌다. 하이젠베르크의 행렬역학이 양자 상태를 수학적으로 엄밀히 설명한 반면, 연속학파는 직관적으로 이해하기 쉬운 접근 방식을 제공하였다. 파동함수의 개념은 전자가 특정 위치에 존재하는 것이 아니라 공간에 확률적으로 분포한다는 점을 강조하며, 고전 물리학과 양립할 수 없는 새로운 관점을 제시하였다. 이로써 연속학파는 양자역학을 대중적으로 이해할 수 있는 중요한 토대를 마련하였다.

연속학파의 핵심 개념 : 연속학파의 중심 개념은 파동함수 ψ(x,t)이다. 이 함수는 입자의 상태를 나타내며, ∣ψ(x,t)∣2는 특정 위치에서 입자가 존재할 확률 밀도를 제공한다. 이는 입자가 고전적인 궤도를 따라 움직이는 것이 아니라, 공간 내에서 특정 확률로 분포한다는 것을 의미한다. 이러한 개념은 고전 물리학과는 본질적으로 다르며, 양자역학에서 관측 가능한 물리량을 설명하는 기본 원리로 자리 잡았다. 연속학파의 또 다른 핵심은 슈뢰딩거 방정식(Schrödinger Equation)이다. 이 방정식은 파동함수의 시간적 및 공간적 변화를 기술하며, 양자 시스템의 상태를 완전하게 설명한다.




4. 코펜하겐 해석의 정의와 배경


코펜하겐 해석은 1920년대 닐스 보어를 중심으로 하이젠베르크, 보른 등 여러 물리학자들이 정립한 양자역학의 철학적 해석으로, 미시 세계의 비결정론적 특성과 관측 행위의 중요성을 강조한다. 이 해석은 양자 상태를 수학적으로 기술하는 파동함수와 확률론적 관점에 기반하며, 양자역학이 고전역학과는 근본적으로 다른 새로운 물리학의 패러다임임을 제시하였다. 보어와 동료들은 양자역학이 전통적인 결정론을 포기해야 한다고 주장했으며, 관측 과정이 양자 시스템의 상태를 결정하는 데 핵심적인 역할을 한다고 보았다. 코펜하겐 해석은 양자역학의 수학적 공식을 철학적 관점으로 설명하며, 이를 통해 미시 세계를 이해하는 틀을 제공하였다. 코펜하겐 해석이 등장한 배경에는 고전역학으로 설명할 수 없는 실험적 결과들이 있었다. 대표적으로 전자의 이중 슬릿 실험에서 나타난 입자-파동 이중성과 같은 현상은, 고전 물리학의 직관적 접근으로는 이해될 수 없었다.



코펜하겐 해석은 이러한 난제를 해결하기 위해, 양자 상태가 관측하기 전까지 여러 가능성이 중첩되어 있다는 개념과, 관측 순간 상태가 확정된다는 독창적인 관점을 도입하였다. 이를 통해 코펜하겐 해석은 양자역학이 물리학의 새로운 패러다임임을 명확히 하였으며, 현대 물리학에서 중요한 위치를 차지하게 되었다. 코펜하겐 해석은 양자역학의 철학적 기초를 정립하며, 관측과 물리적 상태 간의 관계를 새롭게 정의하였다. 관측이 양자 상태를 결정짓는다는 독창적인 관점은 고전적 결정론을 넘어서 양자역학의 비결정론적 본질을 이해하는 데 기여하였다. 비록 관측자의 역할과 파동함수 붕괴의 모호성 등 비판이 지속되고 있지만, 코펜하겐 해석은 여전히 양자역학의 가장 널리 받아들여지는 해석으로 남아 있다. 이를 통해 양자역학은 단순히 계산의 틀을 넘어, 미시 세계의 본질을 이해하고 설명하는 데 중요한 역할을 하게 되었다.


코펜하겐 해석의 주요 개념

코펜하겐 해석은 파동함수 ψ(x)를 양자 상태를 기술하는 핵심 수단으로 삼는다. 이 파동함수는 양자 상태에 대한 모든 정보를 담고 있으며, 파동함수의 절댓값 제곱 ∣ψ(x)∣2 는 입자가 특정 위치에 존재할 확률 밀도를 나타낸다. 즉, 양자 상태는 고전역학에서와 같은 명확한 궤적을 가지지 않고, 확률적으로 공간에 분포한다. 이는 고전적 결정론과는 근본적으로 다른 양자역학의 특징을 보여준다.

코펜하겐 해석의 중요한 개념 중 하나는 파동함수 붕괴(Collapse)이다. 관측이 이루어지기 전에는 양자 상태가 여러 가능한 상태의 중첩으로 존재하지만, 관측이 이루어지는 순간 파동함수는 특정 상태로 붕괴한다. 예를 들어, 이중 슬릿 실험에서 전자는 관측 전에는 파동으로 행동하며 간섭 패턴을 나타내지만, 관측 순간에는 입자처럼 행동하며 특정 위치에 존재하는 것으로 나타난다.

보어는 또한 상보성 원리(Complementarity Principle)를 제안하며, 양자역학에서 서로 상충되는 성질이 관측 조건에 따라 상호보완적으로 나타날 수 있다고 주장하였다. 입자와 파동이라는 모순된 성질은 서로 배타적인 것이 아니라, 관측 행위에 따라 한쪽 성질이 드러난다는 것이다. 이러한 상보성 원리는 입자-파동 이중성과 같은 양자현상을 설명하는 데 중요한 틀을 제공하였다.


코펜하겐 해석의 의의

코펜하겐 해석은 양자역학의 수학적 틀을 철학적 관점으로 보완하며, 양자현상을 이해하는 데 중요한 틀을 제공하였다. 특히, 관측의 중요성을 강조하며, 물리적 상태가 관측 행위와 밀접하게 연결되어 있다는 점을 명확히 하였다. 이는 고전역학에서는 관측이 단순히 정보를 읽어들이는 과정에 불과한 것과 달리, 양자역학에서는 관측이 양자 상태를 변화시키는 적극적인 역할을 한다는 것을 의미한다.

보어의 상보성 원리는 양자현상의 모순적으로 보이는 성질을 조화롭게 이해할 수 있는 틀을 제공하였다. 입자와 파동이라는 성질이 상호보완적으로 존재한다는 개념은, 고전적 사고로는 이해할 수 없는 양자역학의 독특한 특성을 설명하였다. 이를 통해 코펜하겐 해석은 양자역학이 물리적 실재를 설명하는 새로운 방식임을 제시하며, 물리학자들이 양자현상을 이해하는 데 중요한 도구를 제공하였다.


코펜하겐 해석의 논란과 비판

코펜하겐 해석은 양자 상태가 관측에 의해 결정된다는 점에서 철학적 논란을 불러일으켰다. 관측자가 물리적 상태를 결정짓는다는 것은, 물리 법칙이 객관적이라기보다는 주관적일 수 있다는 인상을 준다. 또한, 파동함수의 붕괴 과정에 대한 구체적 메커니즘이 명확히 설명되지 않아, 이는 단순히 수학적 기술에 불과하다는 비판도 제기되었다.

아인슈타인은 코펜하겐 해석의 비결정론적 특성에 강하게 반대하며, "신은 주사위를 던지지 않는다(God does not play dice)"라는 유명한 말로 자신의 입장을 표현했다. 그는 양자역학이 불완전하며, 숨겨진 변수 이론(Hidden Variable Theory)과 같은 추가적인 설명이 필요하다고 주장하였다. 이후 다세계 해석(Many-Worlds Interpretation)과 같은 대안적 해석도 등장하며, 코펜하겐 해석은 양자역학의 유일한 해석이 아니게 되었다.



5. 솔베이회의의 유산


솔베이 회의는 1911년 벨기에의 화학자이자 사업가인 에르네스트 솔베이가 후원하여 시작된 국제 과학 회의로, 당시 물리학과 화학 분야의 난제를 해결하기 위해 세계적인 학자들이 모인 자리였다. 20세기 초 과학계는 전통적인 고전 물리학으로는 설명할 수 없는 현상들, 특히 양자화된 에너지, 방사선의 본질, 흑체 복사 문제 등과 같은 도전에 직면해 있었다. 솔베이는 이러한 문제를 해결하기 위해 국제적인 협력과 학문적 토론의 장을 마련하고자 했다. 첫 번째 회의는 벨기에 브뤼셀에서 개최되었으며, 이후 정기적으로 열리며 현대 물리학과 화학의 발전에 중요한 역할을 했다.


솔베이 회의는 단순히 과학적 논의를 위한 모임을 넘어, 당시 가장 혁신적인 이론들과 발견들을 정리하고 공유하며, 과학자들 간의 협력을 강화하는 장이었다. 이 회의는 초청받은 학자들만 참석할 수 있는 형식으로 진행되었으며, 이는 각 분야의 선두주자들이 심도 깊은 논의를 할 수 있도록 설계되었다. 이러한 독창적인 접근 방식은 양자역학과 상대성 이론 등 현대 물리학의 기초를 마련하는 데 큰 기여를 하였다.


솔베이 회의의 주요 회의와 주제

첫 번째 솔베이 회의(1911년)는 "방사선과 퀀텀"을 주제로 열렸으며, 막스 플랑크, 알베르트 아인슈타인, 마리 퀴리, 헨드릭 로렌츠 등 당대 최고의 학자들이 참석하였다. 이 회의에서는 흑체 복사 문제와 양자화된 에너지 개념이 주요 논의 대상이 되었고, 플랑크의 양자화 이론과 아인슈타인의 광양자 가설이 심도 있게 논의되었다. 이는 고전 물리학으로 설명할 수 없던 현상들에 대한 양자역학적 접근을 과학계에 본격적으로 도입한 계기가 되었다.

가장 유명한 5차 솔베이 회의(1927년)는 "전자와 광자"를 주제로, 양자역학의 기초와 그 철학적 해석이 뜨거운 논쟁의 중심에 있었다. 닐스 보어와 알베르트 아인슈타인은 양자역학의 비결정론적 본질에 대해 격렬한 토론을 벌였다. 보어는 코펜하겐 해석을 옹호하며, 관측이 양자 상태를 결정짓는다는 비결정론적 관점을 주장하였다. 반면 아인슈타인은 양자역학이 불완전하다고 보며, 숨은 변수 이론을 통해 이론을 보완해야 한다고 주장했다. 이 회의에는 하이젠베르크, 드 브로이, 슈뢰딩거, 디랙 등 양자역학의 주요 창시자들이 대거 참석하였으며, 참석한 29명 중 17명이 노벨상을 수상한 세계 과학사의 전례 없는 지식의 집합체로 평가받는다.

이외에도 7차 솔베이 회의(1933년)는 "원자핵의 구조와 성질"을 주제로, 원자핵과 방사능 연구가 집중적으로 논의되었다. 이는 이후 핵물리학과 원자력 연구의 발전에 중요한 기초를 마련하였으며, 현대 과학 기술의 핵심이 된 분야들을 정립하는 데 기여했다.


솔베이 회의의 의의

솔베이 회의는 현대 물리학과 화학의 발전에 중대한 기여를 하였다. 이 회의는 단순히 최신 연구 성과를 공유하는 자리였던 것을 넘어, 과학의 패러다임 전환을 논의하고 새로운 이론들을 정립하는 데 결정적인 역할을 했다. 예를 들어, 첫 번째 회의에서 논의된 플랑크의 양자화 개념과 아인슈타인의 광전 효과는 양자역학의 기초를 마련하며 고전 물리학의 한계를 넘어서려는 시도의 출발점이 되었다. 특히 5차 회의에서 보어와 아인슈타인의 논쟁은 관측과 실재의 관계, 양자역학의 철학적 해석 등을 명확히 하는 데 중요한 계기가 되었다.

솔베이 회의는 또한 국제적인 학술 교류의 장으로서, 과학자들이 서로의 연구를 공유하고 협력할 수 있는 기회를 제공하였다. 세계적인 석학들이 정기적으로 만나 지식을 교환하고 과학적 난제를 해결하기 위한 공동의 노력을 기울였으며, 이를 통해 과학 혁신이 가속화되었다. 이 회의는 학문적 네트워크의 중요성을 입증하며, 과학자들이 경쟁보다는 협력을 통해 발전할 수 있음을 보여주는 모델이 되었다.


솔베이 회의의 유산

솔베이 회의는 현대 물리학과 화학의 발전에 있어 역사적으로 중요한 위치를 차지하며, 지금까지도 과학계에서 큰 영향을 미치고 있다. 회의에서 다루어진 주제들은 고전 물리학에서 현대 물리학으로의 전환을 가능하게 했으며, 특히 양자역학, 상대성 이론, 핵물리학과 같은 이론들의 발전을 주도하였다.

오늘날 솔베이 회의는 물리학과 화학뿐만 아니라 생물학, 의학 등 다양한 과학 분야의 난제를 해결하기 위한 중요한 학술적 플랫폼으로 기능하고 있다. 이는 과학의 협력적 본질과 혁신적 발전의 상징으로, 현대 과학 발전에 있어 필수적인 모델로 평가받고 있다. 솔베이 회의는 과학사에서 가장 중요한 국제 학술 모임 중 하나로, 물리학과 화학의 패러다임을 근본적으로 바꾸는 데 기여한 혁신의 장으로 남아 있다.


솔베이 회의에 모인 기라성같은 과학자들


6. 드브로이의 물질파 이론


드 브로이의 물질파 이론

1924년 루이 드 브로이는 그의 박사학위 논문에서 물질파 이론(Matter Wave Theory)을 제안하며, 현대 양자역학의 토대를 마련하였다. 드 브로이는 모든 입자가 입자적 성질뿐만 아니라 파동적 성질도 가질 수 있다는 입자-파동 이중성 개념을 도입하였다. 이 개념은 빛의 입자적 성질(광자)과 파동적 성질(간섭과 회절)을 모두 설명했던 성공적인 접근을 물질에까지 확장한 것이다. 그는 입자의 운동량과 파장 사이의 관계를 통해 물질파를 정의하며, 물질의 파동적 성질을 수학적으로 정립하였다.

드 브로이는 입자의 파장이 입자의 운동량 p=mv에 반비례하며, 플랑크 상수를 이용해 다음과 같은 공식으로 표현된다고 주장하였다:λ=h/p는 물질파의 파장, h는 플랑크 상수, p는 입자의 운동량이다. 이 식은 전자와 같은 가벼운 입자가 느리게 움직일수록 더 긴 파장을 가지며, 반대로 무겁고 빠르게 움직이는 입자는 더 짧은 파장을 가지는 것을 보여준다. 이러한 물질파의 특성은 미시 세계의 현상을 설명하는 데 중요한 돌파구를 제공하였다.



물질파 이론의 실험적 검증

드 브로이의 물질파 이론은 1927년 클린턴 데이비슨(Clinton Davisson)과 레스터 거머(Lester Germer)의 실험을 통해 실험적으로 입증되었다. 이들은 전자를 니켈 결정에 통과시키는 실험을 수행하며, 전자가 간섭과 회절 패턴을 형성하는 것을 관찰하였다. 이는 전자가 입자일 뿐만 아니라 파동처럼 행동할 수 있음을 보여주는 강력한 증거였다. 이 실험은 전자의 파동성을 실험적으로 입증하며 드 브로이의 물질파 이론을 뒷받침하였다. 이후 전자뿐만 아니라 중성자, 원자, 분자와 같은 더 큰 입자들에서도 파동적 특성이 발견되며, 물질파 이론이 입자 전반에 보편적으로 적용될 수 있음을 입증하였다.

물질파 이론의 의의와 영향 : 드 브로이의 물질파 이론은 양자역학의 발전에 있어 혁명적인 기여를 했다. 그의 이론은 입자-파동 이중성의 개념을 확장하며, 미시 세계의 본질을 설명하는 새로운 시각을 제시하였다. 특히, 전자와 같은 입자가 고전 물리학에서 예측할 수 없었던 간섭과 회절 같은 파동적 특성을 가진다는 점은 양자역학의 필수적인 기초가 되었다. 드 브로이의 아이디어는 에르빈 슈뢰딩거(Erwin Schrödinger)의 파동역학 발전에 중요한 영감을 주었으며, 슈뢰딩거는 이를 기반으로 파동함수를 도입하여 양자역학을 정립하였다.

또한, 드 브로이의 물질파 이론은 고전 물리학의 한계를 극복하는 데 중요한 역할을 하였다. 고전역학에서는 입자를 단지 질량과 속도를 가진 점으로 간주했으나, 물질파 이론은 입자를 공간적으로 분포된 파동적 성질을 가진 존재로 재정의하였다. 이를 통해 양자역학은 고전역학과 완전히 다른 차원의 새로운 패러다임으로 자리 잡을 수 있었다.

물질파 이론의 현대적 활용 : 드 브로이의 물질파 이론은 오늘날 다양한 과학기술 분야에서 핵심적인 역할을 한다. 입자의 파동성을 바탕으로 한 이론은 입자 가속기 설계, 전자 현미경, 나노기술 개발 등에서 필수적으로 활용된다. 예를 들어, 전자 현미경은 전자의 파동성을 이용하여 매우 작은 물체를 고해상도로 관찰할 수 있는 기술로, 물질파 이론 없이는 불가능한 기술이다. 또한, 물질파의 간섭과 회절을 이해함으로써 현대 반도체 기술과 양자 컴퓨팅에서도 중요한 이론적 기반을 제공하고 있다.드 브로이의 물질파 이론은 고전 물리학의 입자적 관점에 파동적 성질을 결합하며, 현대 양자역학의 토대를 세운 혁신적인 개념이다. 그의 이론은 입자-파동 이중성을 미시 세계로 확장하며, 전자와 같은 입자의 파동적 행동을 설명할 수 있는 강력한 도구를 제공하였다. 이는 단순히 이론적 혁신에 그치지 않고, 실험적으로 입증되었으며, 현대 과학기술의 다양한 분야에서 활용되는 중요한 이론으로 자리 잡았다. 드 브로이의 물질파 이론은 양자역학의 발전뿐 아니라, 현대 물리학과 기술의 기반을 제공한 역사적 이론으로 평가받고 있다.




0. 나오기


오늘은 양자역학이 등장하게 된 배경에 대해서 알아보았다. 코펜하겐해석에 대해서 자세하게 알아보기 전에 양자역학이 나오는 과정을 알아보았다. 양자의 발견에서부터 시작해서 질량과 시간 그리고 공간의 미시적 세계의 발견은 불확정된 세계가 진짜라는 세계관을 만들어주었다. 과학이 사회를 어떻게 변화시키는 지를 알 수 있는 것이다. 앞으로 양자의 세계에 대한 이해를 기반으로 양자컴퓨터. 그리고 새로운 미래에 대한 기대감을 현실로 만들어 보자. 이제 시작이다.

keyword