다이애나가 가장 좋아하는 약들

평범하고 싶은 어느 가족의 이야기 - 넥스트 투 노멀

by 희원
넥스트 투 노멀의 포토존, 포스터의 모양과 같은데, 다이애나 혹은 조울증 환자의 눈을 형상화한다는 설도 있다.

여기 평범하고 싶은 한 가족이 있다. 외형은 일견 평범해 보인다. 건축을 전공한 부모, 자기 일에 열심힌 아빠, 그리고 아들과 딸. 문득 그런 생각이 들었다. 평범이란 무엇일까. 결혼한 부부와 아이, 자기 집을 짓고, 일을 하는 가족, 무엇을 일컬어 우리는 평범으로 정의 내리는 걸까.

넥스트 투 노멀의 등장인물, 굿맨 패밀리와, 딸 나탈리의 남자 친구, 그리고 다이애나 질병 치료의 주요 인물인 의사가 있다. 자둘이었던 이날은 헤븐매니아 데이였다.


주의! 넥스트 투 노멀의 스포일러가 많습니다!


이 평범한 가족의 엄마가 사실은 평범하지 않다는 것은 극이 시작되고 이내 드러난다. 등장부터 어쩐지 들떠있는 엄마는 양배추와 치즈만으로 만드는 샌드위치를 바닥에 잔뜩 늘어놓지 않나, 잔뜩 흐린 날씨를 앞에 두고 오늘 날씨가 너무 좋다고 들떠있는 모습까지.


서곡을 제외하고 가사가 있는 세 번째 곡인, <미친 건 누굴까? 내 신경정신과 의사와 나 : Who's Crazy/My Psychopharmacologist And I >에서 다이애나가 실은 정신적 문제를 가지고 있고, 수많은 약물들을 복용하고 있다는 사실을 알게 된다.(영문 제목이 Psychopharmacologist 인건 심리상담사나 상담사도 일정 부분 의료에서의 역할을 담당하고 있는 미국의 의료현실을 반영한 것인듯하다. 물론 요즘은 한국에서도 심리상담사들이 활동하긴 하지만, 어디까지나 정신건강의학과 의사의 판단/처방에 따른 Acting이라는 점에서 미국과는 좀 다르다) 위층의 의사들이 부르는 코러스 부분에서 무려 한 넘버에 10종류나 되는 약 이름들이 나오는데, 하나같이 항우울제나 항불안제들이니 말인데, 이것들이 다 모두 자신이 아끼는 약물이라고 하니 말이다. 넘버 중 대사로써 직접적으로 다이애나의 상병이 조울증/과대망상증이라는 것이 드러나는데, 그것도 무려 16년째 투병 중인, 꽤 병력이 오래된 환자다.


다이애나 굿맨 조울증에 과대망상증
병력 16년째 약을 복용하고 있음

요즘은 조울증이라는 말 대신에 양극성 장애라고 부르는데, 조증 삽화와 주요 우울 에피소드를 주증상으로 하는 이 양극성 장애는 한국에서 2020년 기준으로 11만 2천 명이 앓고 있고, 전 세계적 유병률은 0.5%, 미국의 경우 전 연령에 걸친 유병률은 0.75%, 한국은 0.2% 정도니(IPD, ICD-9 Code: 296.7 Bipolar affective disorder; bipolar disorder (BD, BPD)) 흔치 않은 질병임에는 분명하다. 그런 이유로 조금은 다른 가족관계를 보이는지도 말이다. 그런데 국가, 대륙을 막론하고, 터부시 하던 경향이 없어져서 인지 이유는 알 수 없지만, 전체적으로 조울증의 유병률 및 발생률은 증가하고 있다.(그리고 앞으로도 증가할 것이란 전망이 높다)

어쩌면 평범하지 않지만, 주변을 둘러보면 물 밑에 한 가족쯤은 존재했을지도 모를 이야기인 것이 그래서 아닐까.


남성보다 여성이 조금 더 많은 편이기도 하거니와, 심리적 충격, 방아쇠 역할을 하는 상실을 가장 크게 겪은 사람도 아무래도 다이애나이다 보니, 그녀의 양극성 장애 진단은 낯설지 않다.


그리고 특히 조증 삽화(Manic Episode) 시기의 전형적 증상 설명을 보면, 어디선가 본 기시감을 느낄 것이다. 조증 환자는 잘 모르는 분야에 대해서도 의견을 제시하고, 능력에 넘치는 일을 시도하기도 하며, 과대망상이 흔해서(잊지 말자, 다이애나의 부 상병이 과대망상증이었다는 걸) 자신을 신 혹은 유명인과 특별한 관계라고 말하곤 한다. 수면욕구가 줄어들어 보통 평소보다 몇 시간 더 일찍 깨기도 하고, 잠을 자지 않아도 피로를 느끼지 않는 경우도 있다.


조증 환자는 일반적으로 조절이 어려울 정도로 수다스럽고 목소리가 크고 빠른 편인데, 그러니 조증 삽 화기 즉, 조증 상태에서는 생각이 빠른 속도로 흐르는데, 실제 환자들은 말보다 생각이 더 빠르게 떠오른다고 호소한다고 한다. 그런가 하면 사고의 비약 또한 빈번하게 나타나, 대화 도중 화제 전환이 휙휙 이뤄지고, 이런 현상이 심해지면 이야기를 하거나 어떤 일을 하다가도 연관 없는 자극에 금세 주의가 산만해지는데, 극 초반, 댄이 실컷 떠들고 자리를 떠난 다이애나의 빈자리를 향해, 말하지 않던가. 무슨 말인지 하나도 알아들을 수가 없다고.


또 하나의 특징은 목표 지향적 활동의 증가인데, 과도한 계획 수립이나, 목표 지향적이라는 단어를 들으면 잘 와닿지 않겠지만, 이러한 행동의 예시로 제시되는 것들이 성욕의 증가, 성적 환상 및 성적 행위의 증가인데, 극 시작 나탈리에게 외치는 모습을 생각해 보라. 또 판단력 결여로 인해 고통스러운 결과를 초래할 수 있는 무분별한 쇼핑, 무모한 운전, 어리석은 사업 투자 등에 경솔하게 뛰어드는 경우도 있는데, 운전만 할 수 있는 여자라면 누구라도 괜찮다는 건 단순히 넘길만한 단어가 아닌 것이다. 그만큼 다이애나의 조증 삽화가 심각한 수준에 이르렀다는 이야기 인 셈이다.


그리고 병력이 16년이나 된다는 건, 그간 무수한 약물을 먹어왔다는 말과도 같다.

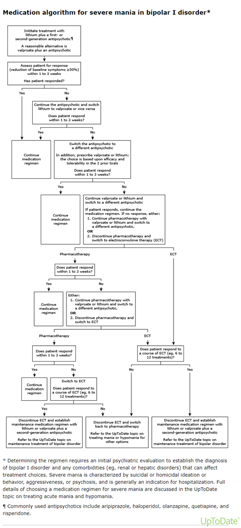
1형 양극성 장애에서의 약물 치료의 단계. 맨 마지막 어딘가에 다이애나가 받았던 ECT로의 전환이 보인다. adapted from up to date


왜냐하면, 양극성 장애의 경우, 약물치료가 기본이자 원칙이기 때문이다.


양극성 장애는 과거 조울증이라 불리던 질환으로, 조증 삽화(또는 경조증 삽화)와 우울증 삽화를 보이는 질환으로 기분 장애의 일종이다. 삽화는 증상이 계속 지속되지 않고, 일정기간 나타나고 호전되기를 반복하는 일종의 패턴을 말한다. 즉, 다이애나가 괜찮아진 듯했던 것 그 자체가 증상이자 병의 기질적 특성인 셈이다. 양극성 장애는 조증 삽화가 주증상인 경우, I형 양극성 장애, 경조증 삽화(조증 삽화보다 상대적으로 증상이 가볍고, 지속기간이 짧은 특징이 있다)가 주로 나타나는 II 형 양극성 장애가 있다.


전통적인 치료는 리튬인데(국내에선 리단정/탄산리튬 정으로 생산 유통 중이다. 1알 가격은 58원), 이후 다양한 약물이 개발 사용되고 있기에, 그리고 다이애나는 이미 16년이나 되는 병력을 갖고 있기에 이런저런 약물들은 많이 먹고 있다. 리튬 이외의 기분 조절제로는 카바마제핀, 발프로에이트, 라모트리진, 가바펜틴, 토피라메이트 등의 항전간제류를 사용하기도 하고, 최근 들어 항정신병 약물인 올란자핀, 리스페리돈, 아리피프라졸, 퀘티아핀 등을 조증 삽화에 사용하기도 한다. 물론 우울증 삽화 시기에는 항우울제를 복용하게 된다.


위 약물 치료 도표에서 본 것처럼, 이 넘버는 정확하게 표준 약물 선택 지침을 따른다.

일주일 만에 첫 조정기를 갖는 것 역시 환자의 반응을 1~3주 차에 평가하여 치료약물을 지속할지, 다른 약을 추가 혹은 변경할지는 정하는 진료 지침과 정확하게 일치한다.

일주일 만에 첫 조정기
불안한 것은 줄어들었어요

대신 머리가 아프고
앞이 안보이며
발가락에 감각이 없어졌어요

네 다시 한번 더 해봅시다. 서서히 좋아질 겁니다

뭐 그리 정교한 치료방법은 아닌가 보네요

그리고, 이내 나오는 코러스의 합창


졸로프트 팩실과 버스파와 재낵스, 데파코트 크로놀핀 암비엔 프로쟉
욱할 땐 아티반 알약 하나. 다 내가 아끼는 약물 이름
선생님 감사합니다. 전 바륨 색을 가장 좋아해요

트레이스 유를 볼 때, 이거보다 많은 약물을 만날 뮤지컬을 없을 거라 생각했는데, 2.5배 많은 10개의 약(보너스로 애더럴까지 더 하면 휴 무려 11개)을 만나게 될 줄이야. 공교롭게도 모두 정신과적 치료에 쓰이는 약물들이다.


본래 양극성 장애 약물 치료의 기초는 리튬에서 시작하는데, 리튬은 기전은 정확히 알 수 없지만, 단순 우울증보다, 양극성 장애에서의 조증 삽화/우울 삽화에 유독 효과적인 것으로 알려져 있다. 그렇지만 이미 리튬의 효용을 보기에는 늦은 것일지, 다이애나의 약 중에 리튬은 없고, 대부분이 항우울제다.


그런데, 양극성 장애 환자에서 항우울제의 사용은 찬반양론이 모두 존재한다. 양극성 장애 환자에서 항우울제의 사용으로 인해 조증기(manic phase)로의 전환 가능성이 더 높아지기 때문이다. 부프로피온이나, SSRI 보다 TCA나 SNRI에서 심한데, 그래서일까 항우울제들 중에서도 SSRI로 분류되는 것들이 많다.


선택적 세로토닌 재흡수 억제제의 예시 및 특징 - adopted from Pharmacotherapy Prepared Course book


졸로푸트는 설트랄린(자세한 이야기는 고통을 잊게 하는 약, 졸로푸트 편 https://brunch.co.kr/@musicalpharm/27에서) 팍실은 파록세틴, 푸로작은 플루옥세틴, 모두 SSRI다. (우울증 치료에서의 SSRI와 연극 맨 끝줄 소년과의 이야기는 렉사틴의 주인은 꼭 여자여야 했을까? 에서 https://brunch.co.kr/@musicalpharm/6) SSRI는 선택적 세로토린 재흡수 억제제로 풀이되는데, 우울증과 가장 깊게 연관된 신경전달물질인 세로토닌이 재흡수되어 사라지는 것을 막아, 마치 정상 상태에서의 세로토닌 대사와 같은 신경 대사가 일어나게 만드는 기전이다. 또 다른 신경전달물질인 노르에피네프린과 도파민에는 영향을 주지 않고, 선택적으로 세로토린(5-HT)만 재흡수하는 약이다. 선택성이 높아진다는 건, 원하지 않는, 혹은 질병에는 영향을 주지 않는 물질에는 영향을 주지 않는다는 뜻으로 당연히 부작용 면에서 우월해지게 마련이다. 이런 SSRI는 반감기가 짧은 편으로 약물을 중단할 때 반동 증상이 올 수 있으니, 절대로 한 번에 끊을 수 없다. 서서히(2~3주 이상)의 기간을 목표로 두고, 조금씩 약물 용량을 줄여가야 한다. 굳이 정도를 나누자면, 팍실 쪽이 좀 더 이런 반동 증상이 심하고, 졸로푸트, 푸로작이 그래도 조금 적은 편이다.


졸로푸트 그리고 팍실

그런가 하면 부스파는 부프로피온 성분으로 도파민과 노르에피네프린의 재흡수를 억제하는 기전을 갖고 있다. 가장 흔한 부작용은 불면과 불안, 예민, 두통, 식욕감퇴로 다른 약 대비 성욕 감퇴의 부작용이 덜하다. 그래서 성욕감퇴를 이유로 기존 항우울제의 복약 순응도가 떨어졌던 환자들에게 처방할 수 있는 일종의 대안적 약제가 될 수 있었다. 집중력 향상에 기여해, ADHD의 치료에 사용되기도 함은 물론이다. 또한 SSRI와 함께 사용하였을 때, SSRI 단독요법에는 충분한 반응을 보이지 않는 환자에게 효과를 부가시킬 수 있으니, 이쯤 되면 왜 부스파가 사용되는지는 충분히 설명이 되었으리라.


자낙스는 알프라졸람 성분으로 항불안제의 일종인데 (자세한 내용은 수술 전, 그녀의 손끝은 알프라졸람을 향했다 편에서 - https://brunch.co.kr/@musicalpharm/9) 계열로 분류하자면, 개량된 벤조디아제핀계라고나 할까. 한국에서 가장 많이 쓰이는 향정신성의약품이기도 하다.


부스파와 자낙스, 개인적으로는 넘버를 들을 때 마다 버스파 재낵스에 영어를 그대로 읽으면 그렇지만 한국 상품명은 그게 아니라고를 외치게 하는 약들이다.

데파코트는 본래 개발된 경위는 항전간제다. 과거에는 간질로 불렸던, 뇌전증 치료 약물이다. 데파코트의 주 성분인 divalproex는 양극성 장애의 치료과정에 있어서는, 기분조절제의 일종으로, 급성 증상과 예방적 치료에 있어 매우 효과적인데, 효과가 급속하게 나타나는 편이지만, 우울 삽화에는 그다지 효과가 없다. 권장 용량은 체중 kg 당 25 mg을 1일 1회 투여하고, 그다음부터는 목표 혈중 농도에 따라 용량이 결정된다. 이 약제 또한 치료약물 농도가 매우 좁은 편이라, 혈중농도를 모니터링해 가며 써야 하는 약이고, 타깃 약물 농도는 50 ~ 125 mcg/mL이다. 와파린처럼 피검사를 통해, 혈중농도를 모니터링해 가면서, 약 복용을 시작하고, 혹은 약 용량을 변경하고 3~5일 후에 검사를 한다. 부작용 중 혈소판 감소증, 진정, 신경독성, 탈모 등은 80 mcg/mL 보다 높은 농도에서 잘 생기는 편이다.


푸로작은 내가 한창 조제 실무를 하던 때엔 캡슐이 아닌 확산정이었는데, 내가 약사가 되기 한참 전부터 있었던 이 약의 별명이 "행복을 파는 약"이었다는 건 처음 그 말을 들었을 때부터 약사로 십 년 넘게 살아온 지금도 좀처럼 잊을 수가 없다. 행복을 어떻게 사고팔 수 있다는 것 인지. 푸로작이 있다면, 다이애나가 꿈꾸는 행복 근처에 갈 수 있는 일인지. 마케팅 한번 참 잘했다 싶다.(물론 내 업무 중 일부인 리뷰에 행복을 파는 약과 같은 추상적 문구가 올라온다면 당연히 바로 리젝이다. 한국의 약사법은 그런 광고 문구를 허용하지 않는다)



데파코트 그리고 푸로작 까지는 한국에 그 이름 그대로 있는 약들이다. 데파코트의 약리학적 분류는 항전간제 이지만, 여기선 기분 조절제(mood stabilizer)로 쓰였다.


크로놀핀은 아무리 찾아도, 약 이름이 나오지 않아서, 한참을 찾다 보니, 클로노핀/Klonopin-Clonazepam이 그나마 가까워 보였고, 암비엔은 졸피뎀 성분의 상품명이니, 수면제의 일종인 스틸녹스겠지.


클로노핀이 맞다면, 이 클로나제팜은 OO제팜, 벤조디아제핀계 약물이다. 양극성 장애의 치료에 있어 벤조디아제핀계의 경우, 초조(agitation)에는 다소 도움이 될 수 있지만, 주요 증상(core symptom)이나, 재발 방지에는 효과가 없다. 그래서 불면증이나, 과잉행동, 초조를 동반하는 환자들에 주로 쓰인다. 일반적으로 급성 환경에서. (그런데 공황발작, 뇌전증 발작 등에 주로 쓰이는 약이라 사실, 양극성 장애에 쓰이는 건 off-label 사용이다) 지금 몇 신줄 아냐고 아이들을 향해 새벽 세시가 넘었다는 말은, 다이애나 역시 새벽 세시가 넘도록 잠을 이루지 못했다는 뜻이니, 양극성 장애 중 불면, 그리고 어쩐지 오버스러운 행동은 과잉행동과 결이 맞으니, 다이애나에겐 꼭 필요했던 약일 것이다.


이런 다이애나니까, 수면제가 필요한 것도 당연하다. 넘버 속 암비엔의 성분인 졸피뎀은 벤조디아제핀 계열에 속하지는 않지만, 벤조디아제핀계 약물과 작용이 비슷하다. 뇌의 가바(GABA, gamma-aminobutyric acid) 수용체의 벤조디아제핀 수용기에 작용해, 가바 신경 전달 물질을 활성화시킴으로써 뇌에 대한 억제 효과를 올리는 역할을 한다. 즉 불면증 환자의 가바 신경 흥분 억제 효과를 강화시킴으로써 수면을 유도한다.(자세한 이야기는 드라마 십시일반 속 졸피뎀 편에서! https://brunch.co.kr/@musicalpharm/25)


크로놀핀 그리고 암비엔. 한국에서 유통되는 상품명은 달라서 같은 성분으로 추정되는 리보트릴과 스틸녹스


욱할 때 먹는다는 아티반은 로라제팜. 가장 좋아하는 알약 색깔이라는 바리움은 디아제팜인데, 이들 둘 또한 벤조디아제핀계의 일종으로, 양극성 장애의 급성기에서 치료 목적으로 사용되지만, 장기 치료는 권장되지 않는 약물이니, 필요할 때만 먹을 수밖에. (벤조디아제핀계 약물 이야기는 부부의 세계 편, 지선우가 민 현서의 마음을 산 약 편을 참조 https://brunch.co.kr/@musicalpharm/16)


욱할 때 먹는, 즉 필요시에만 복용하는 아티반과, 가장 좋아하는 바륨(바리움) 색


이렇게나 약들을 많이 먹으니 부작용은 필연적이다. 사실 부작용이 없는 약은 없다. 그 부작용이 관리 가능한 수준이어서 치료효과를 감안하면, 참을 수 있을 때와, 견딜 수 없는 부작용이 발생해 약물을 중단해야 하는 경우로 나뉠 뿐이지 말이다.


다이애나가 겪었다는 부작용들은 약의 주된 구성을 이루는, SSRI의 주된 부작용이 변비, 메스꺼움(오심) 등의 소화기 증상, 두통, 수면장애, 식욕저하, 성기능장애, 두통 등이니 열거된 부작용들의 하나고, 벤조디아제핀의 경우 졸림, 현기증, 손떨림 등 열거된 증상이 나타나기도 하니, 하나하나 약물에서 나타날 수 있는 증상들이다. 그리고 가장 중요한 것. 죽을 수 있음. 두 번이나 반복하는 데는 이유가 있다.


우울증으로 인한 자살 충동을 막기 위해 복용하는 항우울제나, 항정신병 약제 등의 가장 큰 부작용 중 하나가 아이러니하게도 자살이다. 특히 어린이나 젊은 층(24세 미만)에서 이러한 부작용 경향이 두드러지는 성향이 보여, 젊은 환자의 경우보다 철저한 모니터링이 필요한 것이 사실이다. 그런가 하면, 이런 약들의 복용을 시작하고도 호전이 없고, 자살 충동이 계속되는 경우를 대비해 적절한 모니터링이 필요함을 미 식품의약국 FDA는 밝히고 있다.


실제로 약의 효과 부족 혹은 부작용 때문이 아니더라도, 양극성 장애 환자는 질환 자체로 자살의 위험도가 높다. 논문 보고들에 따르면 환자들의 20~25%는 자살시도, 그리고 그 결과로 15%는 죽는다는 보고도 있고, 10~15%가 자살 시도로 그들의 질병 단계에서 비교적 이른 때에 사망한다는 보고도 있다. (Hawton K et al; "Suicide." The Lancet; V.373; 4/18/09; p1372)


다이애나가 갑작스럽게 호전된 듯한 양상을 보이고 약들을 모두 가져다 버리고(즉 순응도가 나쁜 환자가 약물을 일시 중단하고, 먹지도 않고 하지 말라는 모든 행동을 한 셈인데, 예견된 비극이라 해야 할까) 하는 행동들은, 가장 위험한 시기, 가족들에게 보내는 시그널이었을 수 있다. 결국 자살 시도를 한 채 댄에게 발견되고, 전기자극 치료(ECP, 드라마 괜찮아 사랑이야에서 장재열/조인성 분 이 받는 치료로 한번 소개된 적 있는데, 실제 한국에서 전기자극 치료를 시행하는 병원은 어느덧 찾기 어려워졌다. 다양한 약물의 발전 덕분에 다이애나만큼의 불응성 말단에 있는 환자들이 줄어들었기 때문이겠지)를 받으러 가게 되는데. 전기자극 치료에 실패하면 또다시 약물치료로 되돌아가기에 도돌이표 같아 보일 수도 있지만, 주변 환경을 바꾸러 다이애나는 떠난다.


그리고 마침내 댄도 게이브의 존재를 인정하게 되는데. 댄이 가진 것이 양극성 장애인지 우울인지, 망상이나 환각인지, PTSD 인지 극만으로는 알 수 없지만, 치료가 필요하다고 인정했으니,

다이애나는 가족의 곁을 (잠시) 떠났지만, 다시 약을 끊거나 하지는 않았으니(마지막 박사의 진료 행동으로 보면, 알려줄 수는 없지만 진료를 받으려는 오고 있다는 것 같으니 말이다) 잘 조절되는 질병 상태로, 가족의 보조를 받으며 치료를 계속하고 있지 않을까.


그렇다면 굿맨 패밀리가 꿈꾸는 행복, 평범 그 근처는 그리 멀지 않을 것이라고 상상해본다.


해븐매니아데이에서 무대인사 중인 굿맨 패밀리. 이 순간처럼 행복했으면 좋겠다.


keyword
매거진의 이전글지킬은 실험을 계속할 수 있었을까?