brunch

뉴턴의 법칙보다 더 자주 쓰이는 공식이 있다구?(1)

물리 덕후가 소개하는 과학-기술

by 김종민

오늘의 주제는 뉴턴의 법칙들보다 물리학에서 자주 사용되는 공식입니다.

바로 라그랑지 역학과 해밀턴 역학이라고 불리는 두 식에 대한 내용입니다.

사실 예전에 양자역학을 소개했던 글에서 살짝 언급했었는데요.

글이 너무 길어져서 이번 글에서는 특히 라그랑지 역학에 대해서 다루고,

다음 글에서 해밀턴 역학에 대해서 다룰 예정입니다.


INTRO

근대 과학혁명의 포문을 열었던 인류 지성의 혁명가 모든 이과생의 적 바로 아이작 뉴턴은 많은 업적으로 유명합니다. 특히 고등학교 때 물리를 들었던 사람이라면 누구든 한 번쯤 접했을 공식이 대표적이죠. 바로 힘-가속도 법칙(F=ma)입니다. 뉴턴은 갈릴레오 갈릴레이, 파스칼, 데카르트, 케플러 등의 학자들이 남겨놓은 유산을 바탕으로 연구를 진행했고, 뉴턴의 세 법칙을 주장하였으며, 이를 위해서 미적분학을 새로 발명하는 괴물스런 능력을 보여주었습니다.


독신으로 살았지만 괴물을 낳은 뉴턴


뉴턴은 이 제2법칙인 힘-가속도 법칙을 이용해서, 관측으로만 알려져있던 행성의 운동(케플러 법칙)을 수학적으로 깔끔하게 유도해냅니다. 자연 현상을 간단한 원리와 수학적 방법으로 설명한 엄청난 시도였습니다. 뉴턴은 이로 인해서 당대 엄청난 명성을 손에 쥐게 됩니다.


그러나 사실, 오늘날의 물리학과에서는 뉴턴의 방식을 자주 사용하지는 않습니다.


물리학과에서 배우는 <고전 역학>

물리학과에서는 자연현상을 설명하기 위해서 3가지 전통을 배웁니다. 바로 양자역학/전자기학/통계물리라는 형제들입니다. 이 셋의 공통점은 19~20세기 무렵에 어느정도 체계가 잡혔다는 것인데요. 따라서 물리학에서는 비교적 현대에서야 겨우 정립된 이론들을 바탕으로 자연세계를 설명하는 기술들을 배웁니다. 그렇다면, 이들 이론이 정립되기 전에는 어떤 방식으로 세상을 설명했을까요?


양자역학/전자기학/통계역학이 정립되기 이전에도, 수학적으로 자연현상을 설명하려는 시도는 뉴턴 이후에 꾸준히 있어왔습니다. 뉴턴 이후부터 맥스웰까지, 자연현상을 다루기 위해 사용된 수학적 방법들을 고전역학(Classical Mechanics)이라고 부릅니다. 물리학과에서는 양자역학/전자기학/통계물리를 배우기 이전에 바로 이 고전역학을 먼저 기본기로 배웁니다. 고전역학의 맥락을 알고, 이때 사용된 기법들을 이해해야만 이후에 어떤점이 수정되었는지를 알 수 있게되기 때문입니다. 특히, 그 어려워보이는 양자역학은 고전역학에서 다뤘던 문제를 거의 똑같이 이어서 다룹니다.


물리학과에서는 고전+양자역학/통계역학/전자기학이 필수


이 고전역학에서는 그럼 무엇을 배울까요?

물리학과에서 배우는 고전역학은, 뉴턴의 관점을 먼저 배우긴 합니다. 힘과 가속도의 개념을 공부하고 그걸 가지고 문제를 풀긴 하지만...실제로 더 중요하게 다뤄지는 것은 뉴턴의 관점이 아닙니다. 뉴턴의 법칙보다 어쩌면 훨씬 더 중요하게 다뤄지는 공식들이 둘 있습니다. 하나는 라그랑지 역학, 하나는 해밀턴 역학이라고 불립니다.


이번 글에서는 특히 라그랑지 역학에 초점을 맞추려고 합니다.


벡터와 스칼라

라그랑지 역학에 대해 소개하기 전에 벡터와 스칼라라는 것을 (매우 번거롭지만) 요약해야하는데요,


일전에 물리학의 법칙은 반드시 어디에서나 성립해야한다고 말씀드린 적 있습니다. 지구에서 보나 태양에서보나 동일한 현상을 수학적으로 설명해야하니까요.


조금 더 쉽게 접근하기 위한 예시를 들어보겠습니다.

서울에서 대전까지 기차를 타고 가는 상황을 가정해봅시다. 서울에 사는 사람 입장에서는 기차가 대전으로 떠나는 것처럼 보입니다. 대전에 사는 사람 입장에서는 기차가 대전으로 오는 것처럼 보이죠.


그러나 근본적으로 두 현상은 같습니다. 이 하나의 현상을 일관성있게 설명하기 위해서는 대전과 서울이라는 서로 다른 위치에 있는 사람들의 표현 방식을 수학적으로 번역할 수 있어야합니다.


이를테면 제가 서울에 있다고 합시다. 저의 입장에서는 서울이 원점이 되어 0의 위치를 차지하고 있고, 상대적으로 대전의 위치는 -a가 됩니다. 그러면 서울에서 기차를 타고 내려가는 행위는 -a를 더하는 것이 됩니다. 반대로 대전이 0이고 서울이 -a일 때는 이동하는 행위가 +a가 됩니다. 이를 좌표로 나타내면 아래와 같습니다.

위의 경우에는 이동이 -a가 되고, 아래의 경우에는 이동이 +a가 됨


위 아래의 경우는 좌표를 마치 데칼코마니처럼 뒤집었죠? 이렇게 좌표를 바꿔줌으로 인해서 원래 +였던 이동 역시도 부호가 바뀌게 됩니다.


우리가 서울-대전의 위치를 좌표 어떻게 나타나느냐에 따라서 '이동' 역시도 부호가 바뀌었습니다. 즉, 내가 서울에 있느냐 대전에 있느냐에 따라서 '이동'이라는 것이 수학적으로도 다르게 기술됩니다. 이처럼 내 세상에서 일어난 현상에서 너의 세상의 관점으로 넘어가는 현상을 물리학적으로는 좌표변환이라고 합니다. 이때 물리학 법칙을 지키고 현상의 일관성을 유지하기 위해서는 좌표변환과 함께 수식의 일부분 역시도 변해야합니다. 마치 우리가 서울-대전의 좌표를 어떻게 표현하느냐에 따라서 '이동'의 부호가 바뀌었던 것 처럼요. 이처럼 좌표변환과 함께 변하는 물리량을 <벡터>라고 합니다. 좌표변환을 할 때 벡터가 함께 변해줌으로서, 우리는 물리학 법칙을 각자의 위치에서 적절하게 표현할 수 있습니다.


좌표 변환


벡터와는 달리 좌표를 아무리 변화시켜도 변하지 않는 양이 있습니다. 위의 예시를 다시 떠올려볼까요? 기차가 서울에서 대전까지 이동하면서 방출하는 배기가스의 양이 있다면 그건 어디에서 보나 같은 양입니다. 비슷한 것이 바로 이동거리입니다. 이동 방향은 어떤 좌표계를 설정하느냐에 따라서 양수가 되기도 하고 음수가 되기도 하지만, 이동거리가 a라는 사실은 변하지 않습니다. 이처럼 좌표변환에도 변하지 않는 양을 스칼라라고 합니다. 이 스칼라 양은 물리 법칙의 기준이 되기 때문에 굉장히 중요합니다. 스칼라량의 대표적인 예시로는 바로 에너지가 있습니다. 에너지가 좌표에 대해서 변하지 않는 일종의 기준인 덕분에 우리는 에너지를 이용해서 문명을 세우고 기술을 개발할 수 있었습니다


요약하자면, 벡터는 크기와 방향을 갖고 좌표변환에 따라 함께 변한다.

스칼라는 크기만을 가지고 있으며 좌표변환에 대해 불변(Invarinat)이다.


뉴턴 법칙은 벡터, 라그랑지 역학은 스칼라

뉴턴 법칙은 힘(크기와 방향)과 그 힘이 작용하는 대상을 상정합니다. 또한 물체가 서로 힘을 주고받을때는 방향과 크기를 가지고 상호작용한다고 가정합니다. 그렇기 때문에 힘의 방향을 다 고려해서 대상에 작용하는 힘을 전부 계산해야만 합니다. 이러한 방식으로 물체의 운동을 예측합니다.


물체가 한두개 정도 있는 상황에서는 비교적 쉽게 운동을 설명할 수 있고 정확하게 예측이 가능합니다. 그러나 물체가 조금만 많아지거나 물체간의 상호작용이 조금이라도 복잡해지면 뉴턴의 벡터 방식은 너무 난잡해지고 맙니다.


벡터라는 복잡한 방식을 사용한 뉴턴 법칙의 한계 때문에, 물리학에서는 다른 관점의 설명 방식들을 개발하게 됩니다. 벡터 방법이 가지고 있는 어려움을 해소하기 위해서, 시스템 전체적으로 봤을 때 불변인 스칼라를 이용해서 식을 세우고, 시스템이 특정한 원리를 따른다고 가정해서 그 식을 푸는 겁니다.


이러한 관점을 적용한 역학이 바로 라그랑지 역학입니다. 결과적으로 라그랑지 역학은 스칼라, 즉 좌표변환에 따른 불변량을 이용합니다.

말이 굉장히 어려워보이는데요. 기본식은 간단합니다. 물체-물체 상호작용을 전부 계산하지말고, 시스템 전체의 좌표변환 불변량을 이용하면 상호작용을 일일이 고려할 필요가 없어진다!


다양한 경로가 있지만, 실제 경로: 그림에서의 적분이 0이 되는 원리를 따르는 경로


그런데 이렇게 불변량을 이용해서 어떻게 운동을 예측하냐구요?

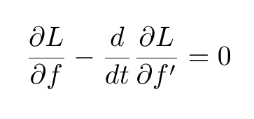
여기서 이제 상당히 신기한 가정이 들어갑니다. 이 불변량을 미분했을때 0이 되는 방향으로 시스템이 운동한다는 전제를 도입합니다. 그리고 이 전제를 '원리'라고 부릅니다. 수많은 운동의 가능성 중에서, 실제의 운동 경로는 이 원리를 만족하는 한 가능성을 택하게 된다는 관점인데요. 이를 해밀턴의 원리라고 부릅니다. 이때의 이 불변량을 라그랑지안이라고 하며 이때의 방정식을 오일러-라그랑주 방정식이라고 합니다.


Euler-Lagrange equation


즉 라그랑지 역학은,

좌표 변환의 불변량을 이용해서 벡터 방식보다 간단하게 식(라그랑지안)을 세운다.

시스템이 해밀턴의 원리를 만족하므로, 이 원리와 라그랑지안을 결합한 오일러-라그랑주 방정식을 푼다


라그랑지 역학의 장점

그렇다면 뉴턴과 라그랑지, 두 역학에 무슨 차이가 있냐구요? 고전역학적인 상황에서 두 역학은 결과에 차이가 없습니다. 아니 그럼 도대체 뭣하러 이렇게 복잡하게...라그랑지 역학을 도입한걸까요? 이것이 바로 삽질?!


사실 라그랑지 역학은 큰 장점을 가지고 있습니다.


1. 역학에 있어서 새로운 관점을 도입해 문제들을 쉽게 해결할 수 있게 합니다. 물리학의 시스템을 벡터가 아닌 스칼라의 관점에서 이해함으로서, 복잡한 벡터 식으로는 풀 수 없는 문제를 간단히 해결할 수 있습니다. 예를들면 아래와 같은 진자 문제는 뉴턴 방정식으로는 풀기 어려우나, 라그랑지 역학 문제로는 식을 세울 수 있습니다.


뉴턴 역학으로는 풀기 어려운 double pendulum problem


2. 시스템의 불변량을 이용하기 때문에, 구체적인 대상이 필요하지 않습니다. 뉴턴 역학은 힘의 작용과 그 대상을 가정합니다. 그렇기 때문에 힘이 작용되는 대상이 모호해지는 경우에는 도무지 적용될 수가 없습니다. 바로 그 예가 양자역학의 상황입니다. 양자역학 세계에서 입자는 파동성을 띄기 때문에, 힘의 작용과 가속도, 벡터의 관점에서는 도무지 이해할 수가 없습니다. 그런데 라그랑지, 그리고 다음 주제인 해밀토니안으로 접근하면 아주 작은 원자세계까지도 이해하기가 용이합니다. 특히 라그랑지 역학은 시스템의 스칼라량을 다루기 때문에, 작용 대상이 입자인지 파동인지는 크게 따지지 않습니다. 게다가 시스템을 지배하는 원리에 집중함으로서, 복잡한 현상들을 단순한 가정 아래에 둘 수 있습니다.


물리학에서의 기계론과 목적론

모든 물체는 아래로 떨어지려고 하는 목적을 가지고 있기 때문에 아래로 떨어진다.


아리스토텔레스의 운동이론입니다. 마치 세계가 특정한 목적을 가지고 있는 것 처럼 행동한다는 점에서 이는 목적론이라고 불립니다. 특히나 목적론은 종교에서 많이 차용되었습니다. 인간의 존재 목적이나 세계의 존재 목적을 신학의 입장에서 말하려고 했었죠. 신의 존재를 증거하기 위해서 세계는 존재한다든가...


뉴턴이 관점은 이와 전혀 다릅니다. 뉴턴의 물리학은 힘이라는 양이 물체에 작용하고 이로 인한 인과관계로 운동을 설명했기 때문에, 목적론이 개입할 여지가 없었습니다. (그치만 뉴턴은 신학공부를 열렬히 했던 신자라는 점이 재밌습니다.) 실제로 뉴턴의 운동이론은 오로지 기계적인 작용만을 상정하기 때문에, 기계론이라고 불립니다. 이처럼 과학은 세계의 목적론 자리에 수학적 논리를 대체해 준 경우가 정말 많습니다.


그러나 라그랑지 역학은 목적론의 관점을 가지고 있습니다. 시스템의 불변량에 주목한 것 뿐만 아니라, 특정한 원리를 따라서 시스템이 운동한다고 가정합니다. 해밀턴의 원리에 의해 시스템이 지배되기 때문에, 라그랑지안을 미분한 식(오일러 라그랑지 방정식)을 풀면 바로 그 식이 만족하는 경로가 시스템이 실제로 운동하는 경로일 것이라는 일종의 믿음입니다. 어떻게 보면 종교적인 신념과도 유사합니다.


사과가 떨어지는 것은 중력 때문인가, 아니면 자연의 원리를 만족하려하기 때문인가


그런데 이 목적론의 라그랑지 역학은 너무나 강력한 설명 방식이어서, 현대 물리학에서는 도저히 빼놓을 수가 없는 주제라는 점이 흥미롭습니다. 입자, 고체, 핵물리 등등 다양한 물리학적 상황에서 라그랑지 역학은 제 역할을 톡톡히 해냅니다. '시스템을 지배하는 원리가 있다'는 생각을 바탕으로 말이죠. 개인적으로 이런 점에서 물리학은 자연에 숨겨진 진리를 탐색한다기보다는, 인간이 개발한 수많은 논리 모델들 중에서 자연 현상에 가장 적합한 것을 찾는게 아닐까 하는 생각이 들게 합니다.


읽어주셔서 감사합니다.

다음 글에 이어서는 역학의 큰 축을 이루는 또다른 하나, 해밀턴 역학에 대해서 다룰 예정인데요. 라그랑지 역학과 어느정도 틀을 공유하고 있으면서도 또다른 관점을 보여주는 역학입니다. 이 라그랑지와 해밀턴 역학에 힘입어서 물리학에서는 자연을 설명하는 강력한 기술들을 전개해나갑니다. 대표적인 것이 바로 양자역학입니다. (사실 양자역학을 이해하기 어려운 이유가 바로 이 배경지식인 해밀턴, 라그랑지 역학을 이해하고 가야되는데 이게 쉽지 않아서 그래요..ㅠ) 모쪼록 라그랑지, 해밀턴 역학이 물리학을 이해하는 데에는 필수라는 점을 알아주셨으면 좋겠네요! 읽어주셔서 감사합니다.


바이바이~


keyword
매거진의 이전글왜 시간은 거꾸로 흐르지 않을까: 열역학 2법칙