brunch

뉴턴의 법칙보다 더 자주 쓰이는 공식이 있다구?(2)

물리 덕후가 소개하는 과학-기술

by 김종민

오늘의 주제는 저번의 라그랑지 역학을 이어서,

뉴턴 역학보다 물리학에서 더 자주 쓰이는 역학에 대해 다룹니다. 바로 해밀턴 역학입니다.

당분간 과학 주제 매거진은 이 주제를 끝으로 쉴 생각입니다.


INTRO

저번 글에서 라그랑지 역학과 뉴턴 역학의 큰 차이를 짚고 넘어갔었는데요, 바로 벡터 방식과 스칼라 방식의 차이입니다. 뉴턴의 힘-가속도 공식은 벡터 방식이었습니다. 좌표를 설정하고, 좌표별로 힘을 전부 더해주고 빼는 방식이었죠. 이는 시스템이 조금만 복잡해져도 매우 풀기가 어려워집니다.


그런데 라그랑지 방식은 시스템 전반에 걸쳐있는 스칼라량, 좌표 변환에 불변인 양을 이용하였습니다. 또한 이 시스템이 <최소 작용의 원리>를 따른다고 가정하고 수식을 전개함으로써, 물리학에 있어서 목적론적인 관점을 도입했습니다. 라그랑지 역학은 이 관점을 반영하는 라그랑지안이라는 양을 도입하고 이를 이용하여 방정식을 세웠는데요. 이 라그랑지 운동방정식은 지금까지도 자연세계를 설명하는데 기본적인 인사이트를 제공합니다.


해밀턴 역학은 이 라그랑지 역학에서 출발합니다. 정확히는 라그랑지안이라는 양과 관련이 있는 해밀토니안(Hamiltonian)이라는 양을 도입해서 출발하는데요. 이 해밀토니안이라는 것을 중심으로 자연세계를 설명하는 기본적인 틀을 제공합니다. 특히, 해밀턴 역학은 전체적인 물리학 역학 체계의 근간을 이루고 있는 중요한 설명방식입니다.

1200px-Least_action_principle_svg.png 최소 작용의 원리를만족하는 특정 경로를 택한다.


물리학과 대칭성

물리학에서 대칭성이라는 요소는 굉장히 중요합니다. 아마 교양 과학 영상에서도 자주 다뤄지는 내용일텐데요. 도대체 대칭성이라는 것이 무엇이길래 이렇게 여러번 언급되는 것일까요?


물리학에서 지칭하는 대칭성은 변환(Transformation)과 관련이 있습니다. 이 변환이라는 것은 "보는 관점을 달리해서 방정식을 기술한다"고 생각하시면 되는데요. 예를 들어서 원과 직사각형을 생각해봅시다.


우리가 원의 중심에서부터 선분을 그어서, 원 위의 한 점에 도달하도록 하면, 모든 선분은 정확히 같은 길이를 갖게됩니다. 그런데 직사각형의 경우에는 직사각형의 중심으로부터 선분을 그었을 때, 선분의 길이가 제각각이 됩니다. 만약에 중심으로부터의 거리에 의존하는 어떤 변수가 있다면, 원의 경우에는 항상 일정하게 되지만 직사각형의 경우에는 중심으로부터의 거리에 따라서 들쭉날쭉하게 될 것이라고 예측할 수 있습니다.


asdf.png 구면 대칭인 경우 축을 중심으로 회전시켜도 변하지 않음


위의 직사각형, 원의 예시는 바로 유명한 구면대칭(Spherical Symmetry)의 예시입니다. 구면 대칭인 시스템은 중심에 있는 축으로부터 아무리 회전시켜도 형태가 변하지 않는 양이 있습니다. 이를 <각도변환에 대해서 대칭>이라고 부르면 적합하겠습니다. 참고로 '스칼라량'을 좌표변환에 대해서 불변하는 양이라고 말씀드렸었는데요. 바로 이 좌표변환 역시도 내가 보는 세계와 타인이 보는 세계를 번역해주는 일종의 변환입니다. 좌표 변환에 의해서 대칭인 경우에는 불변하는 양이 <스칼라> 인 셈입니다. 이외에도 여러가지 다양한 대칭성이 있는데요. 물리학에서는 별별 변환에 대해서 대칭성을 만들어냅니다. 이 별별 변환에 대해서도 변하지 않는 불변의 양이야 말로 물리학에서 중요하게 다루는 대상입니다.


해밀토니안의 불변(Invariant)과 보존량(Conserved quantity)

라그랑지 역학이 시스템을 설명하는 기준을 제공했던 이유는, 바로 라그랑지안이라는 양이 좌표변환에 대해서 불변했기 때문입니다. 마찬가지로 해밀토니안이 어떤 변환에 대해서 불변하는 경우, 해밀토니안은 굉장히 중요한 역학적 요소가 됩니다. 특히, 시스템의 대칭성을 이해하는데는 해밀토니안이 매우 중요하게 다뤄집니다. 어떤 변환에 대해서 해밀토니안이 불변하는 경우, 그 변환의 Generator라고 불리는 양과 해밀토니안은 특정 관계를 형성하게 됩니다. 이를 Commute라고 부르는데요. Commute한 경우에는 그 Generator가 반드시 시간에 따라 상수가 됩니다. 즉 보존양이 됩니다. 시간에 따라서 상수인 보존양을 이용하면 문제를 매우 쉽게 풀수 있습니다. 위 문장이 매우 낯서실 텐데요. 요점은 이것입니다.


해밀토니안과 또다른 어떤 양이, 특정 관계(Commute)를 형성하면 그 양은 시간에 따라서 상수이고, 그 양과 관련된 변환에 대해서 해밀토니안은 불변한다.


대표적인 경우가 바로 수소원자입니다. 수소원자는 양성자(+)와 전자(-)하나가 전자기적인 상호작용을 주고받고 있는 구조입니다. (이 경우에 중력은 너무 작아서 무시합니다.) 전자기적 상호작용은 각도가 아닌 오로지 거리에만 의존하는 구면대칭의 형태를 띄는데요. 이 경우에 각도 변환에 대해서 해밀토니안은 불변하게 됩니다. 해밀토니안은 따라서 이 각도변환에 관련된 어떤 양과 Commute하게 되는데요. 그 결과 그 양은 보존됩니다. 이 보존양이 바로 각운동량의 크기와, 각운동량의 z방향 크기입니다.


각운동량의 크기와 각운동량 z방향 크기는 일단 보존된다-상수이다-라는 점을 짚었는데요. 그렇다면 그 양을 어떻게 구하냐는게 문제입니다. 여기서 이제 미분방정식을 통해 수소원자를 푸는 방법을 상기해봅니다. 미분방정식에서는 파동함수를 도입해서 매우 복잡한 방식으로 수소원자를 3차원 모델링하는데요. 이때 결과적으로 나왔던 방정식은 선형대수학에서 Eigenvalue equation이라고 부르는 방정식으로 떨어집니다. 이에 따르면 각운동량의 크기, 각운동량의 z방향 크기를 구하기 위해서는 단순히 선형대수학의 방정식을 쓰기만 하면 된다는 것을 알 수 있습니다. 이 문단도 아마 짜증나실텐데요. 결론은 이것입니다.


수소 원자에 있는 전자의 경우 각운동량의 크기와 각운동량의 z방향 성분은 시간 불변의 상수가 되고, 이를 구할 수 있는 방정식이 있다.


sfsadf.png 양자역학에 따르면, 각운동량의 크기, z방향 각운동량은 양자화된 상수값을 갖는다.


이처럼 시스템의 대칭성-해밀토니안의 불변-시간에 따른 보존양-은 밀접한 연관이 되어 물리학 설명 체계를 이룹니다.


해밀토니안과 정준 좌표계

그렇다면 이처럼 유용한 해밀토니안은 도대체 어떻게 생겨먹었나, 결론부터 말하자면 해밀토니안은 일반화 좌표(generalized coordinate)와 대응되는 운동량(conjugate momentum)의 함수입니다. 일반화 좌표라는건 여기서 시스템의 자유도라고 보시면 적합합니다. 위치의 자유도, 각도의 자유도 기타 등등...위치의 자유도에 대응되는 운동량은 우리가 알고있는 선형운동량입니다. 마찬가지로 각도의 자유도에 대응되는 운동량은 각운동량이 됩니다. 아무튼 정리하자면, 해밀토니안은 일반화 좌표와, 운동량으로 이루어져있습니다.


해밀토니안을 구성하는 일반화된 위치와 운동량을 합쳐서 canonical coordinates(정준 좌표계)이라고 하는데요. 놀랍게도 해밀턴 역학에서는 운동량과 위치를 동등하게 여깁니다. 운동량과 위치가 형성하는 가상의 공간을 Phase space라고 부르는데요. 실제 우리가 분석하는 시스템의 입자가 움직이는 것을 표시하고 있는 겁니다. 그런데, 이때 운동량과 위치가 매우 복잡하게 바뀌기 때문에 이를 따로 따로 고려하는 것은 쉽지 않을 수도 있습니다. 그렇다면 운동량, 위치와 상관없이 시스템 전체의 보존량을 중심으로 해석하는 것이 편해질 수 있겠죠? 그렇기 때문에 해밀턴 역학은 매우 핵심적인 해석 기법을 제공합니다.


마찬가지로 입자가 매우 많은 경우에, 더더욱 복잡한 Phase space가 구성되게 되는데요. 이 상황에서 입자의 위치와 운동량을 일일이 고려할 수는 없습니다. 뭉뚱그려서 생각할 만한 양이 필요해지게 되는데요. 이 발상이 바로 통계역학, 즉 다체의 시스템을 이해하기 위해 적합한 양을 구상하는 쪽으로 이어집니다. 해밀턴 역학의 아이디어는 이처럼 굉장히 중요합니다.


The-phase-space-diagram-Choice-C.png 운동량, 위치 공간인 Phase space


해밀토니안과 양자역학

이처럼 중요한 양인 해밀토니안은, 양자역학에서 더더욱 빛을 발합니다. 양자역학에서 다루는 미시세계에서는 시스템의 위치와 운동량을 한꺼번에 정확하게는 알 수 없는 불확정성의 원리가 지배하고 있기 때문입니다.


양자역학의 불확정성 원리 아래에서는, 위치와 운동량의 관계에 우리가 고등학교 때 배운 미적분 연산이나 계산처럼 단순한 수학을 사용할 수 없습니다. 위치와 운동량이 특수한 관계를 맺고 있기 때문입니다. 아까와 같은 용어로 표현하면 운동량과 위치는 Non-commute합니다. 그렇기 때문에 해밀토니안 역시 마찬가지로 operator라는 특수한 형태를 갖게 됩니다. 양자역학의 불확정성 원리를 만족하는 해밀토니안 오퍼레이터operator를 도입해서, 이를 이용한 선형대수학의 eigenvalue equation을 세우는 것은 바로 하이젠베르크의 양자역학, 행렬역학입니다.

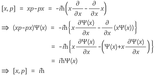
2734353A58DC743129.png 마지막 줄이 결론, x와 p는 non commute 하다.


그런데 이를 해밀턴 역학의 폼으로도 똑같이 유도할 수 있습니다. 위치, 운동량이 구성하는 phase space에서, (x,p)가 non commute할 때에 해밀턴 운동방정식은 어떻게 되는가? 그러니까 위치와 운동량이 일반적인(고전역학) 형태가 아니라 특수한(양자역학) 형태라면? 이를 살펴보면 마치 특정 입자가 확률로서 퍼져가는 개형의 방정식이 된다는 결론이 납니다. 이것이 바로 슈뢰딩거의 방정식입니다.


또다시 또 말이 어려웠는데요, 요약하자면.


해밀토니안은 시스템의 대칭성, 불변량, 보존양과 관련되어있으며, 위치와 운동량을 변수로 갖는다.

그런데 이때 위치와 운동량이 특수한 관계를 맺는다면? 슈뢰딩거의 방정식이 된다.

위치와 운동량이 특수한 관계를 맺을 때, 이를 Operator라는 것으로 취급하는 것이 좋고,

이 operator 방식으로 슈뢰딩거 방정식을 표현하면 하이젠베르크의 행렬 역학이 된다.


결과적으로 해밀턴 역학은 일반역학, 통계역학, 양자역학 게다가 전자기학을 아우르는 매우 중요한 역학 체계이며 자연 세계를 수학적으로 설명하는데에 있어서 매우 강력한 인사이트를 제공하는 것입니다.


나가며-

사실 이 해밀턴 역학 글을 쓰는 것은 매우 매우 괴롭고 힘든 일이었는데요. 첫 째는 이 글을 쓰려고 보니까 제가 해밀턴 역학에 대해서 모르는 점이 너무나 많다는 생각이 들었기 때문입니다. 그런데 해밀턴 역학을 제대로 공부해서 글을 쓰자니, 이는 대학원 과정 중에서도 비교적 하이레벨의 수학적 테크닉을 사용하기 때문에 정말 이해하기가 쉽지 않았습니다. 몇 단원을 공부하고 소화하는 데만 시간이 꽤 소요되었습니다.


그 다음은 제가 이해한 해밀턴 역학을 도저히 쉽게 설명할 자신이 없었습니다. 라그랑지 역학 까지는 그럭저럭 가능한데, 해밀턴 역학은 전공지식을 꽤나 많이 사용하는 나머지 이를 쉽게 설명할 수가 없더라고요. 그래서 그냥 일단 좀 어렵게라도 쓰고 남겨두기로 했습니다.


매거진 전체를 돌아보며-

과학공부를 열심히 하기 위한 취지에서 시작했는데, 막상 용두사미의 꼴로 전락해버린건 아닌지 하는 아쉬움만 남는 것 같습니다. 많은 분들이 읽어주신 것은 아니었지만, 감사하게도 구독해주신 분들이 하나 둘 생기니 놀람 반 부담 반이 마음에 생겼던 것 같습니다. 너무 쉽지는 않게, 그렇다고 너무 어렵지도 않게 전공 내용을 충실히 담으려고 했는데, 그게 참 어렵네요. 물론 과학을 열심히 하는 것만이 답은 아니라고 생각하기에, 인생에 있어서 여러가지를 부딪히고 고민해 보고 싶어서 당분간은 다른 주제로 글을 쓰든지 색다른 경험을 할겁니다. 이렇게 길게 사족을 달아봐야 누가 읽어주실지는 모르겠지만 독자분이 계시다면 글 읽어주셔서 감사합니다.

keyword
매거진의 이전글뉴턴의 법칙보다 더 자주 쓰이는 공식이 있다구?(1)