brunch

수포자였지만
대학수학에 관심있다면(2)

교양인을 위한 대학교 수학 리뷰

by 김종민

전편을 읽고 오시면 내용이 이어집니다^ㅡ^


(1)편의 내용을 간략히 요약하자면.

1. 수학과에서 배우는 수학과 공학/자연과학에서 다루는 수학은 다르다.

2. 공학과 자연과학에서는 전공이 달라도 대개 2년간 공통적인 수학 범위를 다룬다.

3. 대학 공통 수학의 핵심은 미적분학/선형대수학이다.



결국 미적분학과 선형대수학에 대해서 개략적으로 알고 있다면, 대학 수학 대부분의 범위를 적당히 알고 있는 셈이 되는거죠! 그래서 이번 포스팅에서는 미적분학과 선형대수학에 대해서 다루려고 합니다.


미분: 자연을 이해하기 위해 풀어야 할 암호

<김상욱의 양자공부>등의 교양 과학서적을 쓰신 김상욱 교수님은 이렇게 언급하신 적이 있습니다.

"자연의 언어는 미분으로 쓰여있고, 그것을 해독하는 일을 적분이라고 부른다."

미분과 적분은 그래서 일종의 자물쇠와 열쇠같은 존재입니다.

대학 수학에서는 이 자물쇠를 미분 방정식이라고 부릅니다.


어째서 자연의 많은 문제는 미분으로 쓰여있을까요?

미분(Differentiation, 微分(작을 미, 나눌 분)이라는 용어를 살펴보면 알 수 있습니다. 미분이라는 것은 작게 나눈다는 뜻인데요. 우리가 걸어서 시내 한 바퀴를 돈다고 생각해봅시다. 우리는 이동하는 동안 신호등을 만나 멈추기도 하고, 반대로 가까스로 신호를 잡기 위해 달리기도 합니다.


순간 순간마다 우리의 속력은 달라지는데요. 우리의 산책에서 짧은 순간을 골라서 '속력'을 측정하는 것이 바로 미분과 관련이 있습니다. 그렇기 때문에 '작게 나눠진 순간'이 미분(작을 미, 나눌 분)이라는 용어에 반영된 것입니다. 방금 예시로 든 산책처럼 긴 사건 사이의, 짧은 순간 동안 얼마나 빠르게 변하는 지에 미분은 관심을 둡니다.


머스탱%20블루.jpg 순간적으로 차가 움직이는 것에 초점을 맞추는 미분


특히 관심을 두는 것은 "1초 동안 변하는 정도"(시간 변화율)와 "특정 위치에서의 변하는 정도"(공간 변화율)간의 관계인데요. 각각의 변화율이 서로 어떤 맺고 있느냐를 살펴봄으로써, 우리는 특정 사건에 대한 "방정식"을 얻을 수 있습니다. 이 방정식을 편미분방정식이라고 하는데요, 이 방정식을 풂으로써, 우리는 특정 사건을 예측하고 이해하는 "해Solution"를 구할 수 있게 됩니다.


미분방정식을 푸는 열쇠, 적분

적분(Integration, 積分, 쌓을 적, 나눌 분)의 용어를 살펴볼까요. 적분은 미분과 반대로, 나눠진 부분을 쌓는다는 뜻을 갖고 있습니다. 즉, 순간순간의 변화가 모여 누적된 결과에 관심을 갖습니다.


앞서 미분이 공간변화율, 시간변화율 간의 관계를 바탕으로 방정식을 세운다고 말씀드렸는데요. 결국 최종적으로 우리가 이 변화를 모아서 어떤 결론이 나온다는 건가! 그 모든 변화의 총합은 무엇인가!를 궁금해할 수 있곘죠. 그 결과를 찾는 행동이 바로 미분방정식의 해를 구하는 것과 동치입니다.


ㅁㄴㅇㄻㄴㅇㄻㄴㅇㄻㄴㅇㄻㅁㄹㄴㅇㄻㄴ.jpg 변화가 누적되어 만들어낸 결과에 관심을 갖는 적분


즉 자연/공학적 문제 해결 프로세스는 보통 이렇습니다:


"자연세계를 단순화 하여 모델링한다 → 변화율을 이용하여 미분 방정식을 세운다 → 적분을 이용해 해를 구한다."


그렇기 때문에 미분적분학에서 다루는 내용은 시간 혹은 공간에서 방정식을 세우고, 푸는 법에 대해서 다룹니다. 좀...내용은.. 많지만요...^^..


인간이 가장 쉽게 이해할 수 있는 모델과 그 관점들: 선형대수학

미적분학은 미분방정식을 세우고, 자연/공학적 문제를 해결하는 결과(함수)를 얻는 것을 목표로 한다는 것! 을 아마 여기까지 읽으신 모두가 받아들이고 있겠죠!


그러나 안타깝게도 세상의 많은 문제들은 쉽게 단순화되지 않습니다. 단순하게 만들었다고 노력했음에도 불구하고, 너무 문제가 복잡한 경우가 많은데요. 이런 경우에는 미분 방정식을 세우기는 했지만, 해를 도대체 구할 수가 없는 경우입니다.


여기서 포기할 사람들이 아니죠. 최대한 많은 현상을 이해하기 위해서 인류는 노력해왔습니다. 일단 쉽게 풀 수 있는 것들을 모아서, 그것을 잘 일반화해둡니다. 그 다음은...복잡한 세상의 문제를 어떻게든 성형해서, 우리가 풀 수 있는 형태로 끼워 맞추는 겁니다(!)


이렇게 잘 일반화된 방법들을 바로 <선형대수학>이라고 부릅니다.


선형대수학은 "벡터"와 "행렬"이라는 개념을 주로 다루는데요. 고등학교 때 더러운 행렬 계산을 하셨던 분들이라면 이런 불평이 있으셨을 겁니다.


"도대체 이런 걸 왜 계산해야하지?"


쉽게 기억할 수 있는 행렬의 특징이 몇가지 있죠. AB≠BA라든가... 행렬의 곱셈 규칙이라든가... 이것들은 상식적인 수학의 영역을 벗어나기도 합니다. 3X4=4X3 인건 정말 당연할 것 같은데 행렬은 아니래요. 이렇게 복잡한 성질들이 도대체 왜 존재하느냐면! 저런 드러운 성질을 만족하는 "행렬"이야말로 세상에 존재하는 문제를 푸는 가장 "쉬운" 방법이기 때문입니다. 따라서 보통 자연과학의 문제들을 풀 때, 일단 선형대수학으로 풀 수 있는 문제로 만드는 것이 중요합니다. 대표적인 예시를 들면, 바로 파동 방정식입니다. 파동 방정식은 선형 대수학의 영역에 속합니다. (그렇기 때문에 수많은 자연과학, 공학에서는 어려운 문제를 파동의 형태로 만들어서 풀고자 합니다.)


ㅁㄴㄴㄴㄴ.png 가장 먼저 다루는 대상, 벡터


사실 파동방정식 외에도 선형대수학은 상당히 강력한 힘을 자랑하는데요, 다양한 미분방정식을 단순히 "적분"해서 구하는 것은 너무 지루한 과정이지만 선형대수학을 이용하면 그런 미적분을 이용하지 않고 단순한 계산만으로 문제의 해답을 구할 수 있습니다.


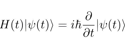
대표적인 예시가 양자역학에 있습니다. 수소 원자 주위의 전자의 움직임을 묘사하는 함수를 구할 때, 미분방정식(슈뢰딩거의 파동방정식)을 푸는 것보다, 행렬과 연산자라는 것을 이용해서 선형대수학적 방법으로 푸는 것이 훨씬 간편한 경우기 있습니다. 게다가 후자가 더 물리적으로 깊은 이해로 이어지기도 한다는 점에서...선형대수학은 정말 필수적인 지식이랄까요..


ㅁㄴㅇㄹㄹㄹㄹㄹㄹㄹㄹㄹㄹㄹ.jpg 연산자로 나타낸 슈뢰딩거의 방정식


결국 선형대수학은, 인류가 자연을 이해하고 해석할 수 있는 가장 간편한 방법이라고 보시면 됩니다.

비록 선형대수학이 일반적인 산수와는 성질 자체가 다르지만요!(그래서 그걸 익히는 데 시간이 필요하지만요!)


제목-없음-6.png 정말 아무 곳에나 다 쓰인다.



1, 2로 나누어서 포스팅하긴 했지만 너무 다루는 내용이 적었나 우려됩니다. 그렇다고 내용을 막 넣자니..길어지고 재미도 없을것 같고...


아무튼 제가 생각하는 대학 수학의 핵심! 만 딱 담아서 리뷰한 것인데요

세부적인 내용은 전공에 따라 다를지라도 방법론만큼은 확실히 액기스가 맞습니다^ㅡ^


읽어주셔서 감사합니다:)

keyword
매거진의 이전글수포자였지만 대학수학에 관심 있다면(1)