brunch

수학 공부 잘하는 법2- 성공 경험 쌓기(3)

성공 경험 쌓기 실전

by 동현

자, 그럼, 직접 성공 경험 쌓기 연습을 해보자.

아래와 같은 유형의 문제를 해결할 줄 모른다고 할게.


문제) 두 점 (-1, 1), (3, -2)를 지나는 직선을 그래프로 하는 일차함수의 식을 구하시오.


해결 방법을 모르면 예제를 잘 살펴보라고 했지? 이 문제와 관련된 예제 풀이는 아래와 같아.

a5TWQqF9L9cQ2aPsOUT1CG-elI2LX7j63JRoevYDPwc2DOkl09RMux-q6BWVmubpSNFbKbjVoHGiFvi01JY2mGxEoFUM_WMpCf3xAy4E9ozqDPcmk6N_0tM3pMyYpYeTx6tiXXUZuhdREWUCtPylq_L59A77whJDr3xtfOdoiX3-nkrgmsM4BdfUZyx_MQ

예제 풀이의 구조는 다음과 같아.

1) 두 점을 이용해 기울기 구하기

2) 기울기를 이용해 일차함수의 식 정리하기

3) 두 점 중 한 점을 x, y값에 대입하여 b값 구하기

4) 일차함수 식으로 표현하기


이 풀이 과정을 익히는 게 중요해. 이 방법을 적용할 줄 알아야 두 점이 주어졌을 때 일차함수 식 세우는 문제를 해결할 수 있거든. 그런데 이 풀이 과정을 익히기 위해서는 풀이 과정에 나와 있는 개념을 이해하고 있어야겠지? 개념을 모른다면 왜 이렇게 해야 하는지 모른 채 암기를 해서 문제가 조금만 변형되어도 해결하기 어려울 거야. 자 그럼 예제의 풀이 과정에 나와 있는 개념을 모를 때 어떻게 접근해야 하는지 보자.


예제 풀이의 첫 번째와 두 번째 줄을 보면 두 점을 이용하여 기울기 구하는 게 나왔지? 기울기는 뭐고, 기울기를 왜 구했을까를 알아야 해. 그렇기 위해서는 더 앞으로 가서 일차함수가 뭔지 알고 있어야 하고.


교과서의 일차함수 단원 첫 부분을 보면,


여기서 보면, 일차함수의 식은 y=ax+b 의 형태로 표현된다는 것을 알 수 있어. 함수라는 것은 x와 y의 관계를 의미하는 것이므로, x와 y의 관계를 알 수 있게 a와 b를 구하는 게 목표지.


예제의 풀이도 결국은 a와 b를 구하는 과정이고.

그럼, a를 어떻게 구할까? 이것도 교과서의 앞, 개념 부분에 나와 있어.


Hjk3UdHYn7bprfal9paNcUM02j5a8MaHGA_apZJ6B3cf20nHxQDqg1UykPI-I20EFafubnYW0xihCiAmTRZMlDp20iAxPSqCwd4OVObvkJE_roMTDaeMaLyh_mP65zzOsxgqCMr_P3WaLFjKQg__LPcfejTiqop2OaqIks_XE1yMSZqUA7i16Wl8T9PNWw


a는 기울기를 말하며, a를 구하는 법은 (y의 값의 증가량)/(x의 값의 증가량)으로 구한다.

그럼, 증가량은 어떻게 구할까?


VHEBEolnmaPdNG4Ki2DcW8ODUVO8hyvz_ndKsFnRtrBapPz2M7wNRfQ3ZxdHENSGullManyMdk6uQH5CyvSrGGrPAEJ8lOqS39VEgFiCbW5hsC-156Aof6yA1rUp_RPPPAw0pQseNxlM5Rpz1GU-fTst-9JeN8RBEeU5Jkt7PUFOX3U0aLXx73iIh1bMhQ


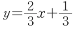
예제에서 보면 첫 번째 점의 좌표가 (-2, -1)이고, 두 번째 점의 좌표가 (1, 1)이잖아. 첫 번째 점에서 두 번째 점으로 갈 때 x와 y값의 증가량이 각각 어떻게 되는지를 말하는 거야. 쉽게 말하면 x와 y 각각 나중값에서 처음값을 빼면 되. x값은 -2 -> 1로 됐으니 1-(-2)=3, y값은 -1 -> 1 이 되었으니 1-(-1)=2. 따라서 기울기 a=⅔.


a값을 구했으니 함수식은

9_mLSHfVz2SfVYO4htGEoByMWDwiWKtOL3Aga5Ufsn9TR8XJ835srJH1krdt5Q2S_jP1iO2LHt8k3yNgMf0d6VU2TcViFWF6-bLExzDohVhvVcYes7O1U44ssRHj91uN94VIfOaFB8fhDlT9tan60WLyplyesalbQ4m02O9qdOqC3-cnsxa-_1Xr4SI_PA

가 된 거야.


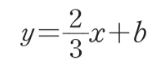
이제 b값만 구하면 되겠다.


여기서도 함수의 개념이 활용되는데, 함수의 그래프와 함수식과의 관계를 이해하고 있어야 해. 1학년 때 배운 것처럼 함수의 그래프는 함수식을 만족하는 x, y값을 점으로 표현한 것이거든. 이걸 알면, y=2/3x+b의 그래프가 점 (1, 1)을 지나니까, y=2/3x+b의 식에 x=1, y=1을 대입하면 성립해야 하지. 그래서 예제의 풀이 과정에


Yx0aCNDRIhHUXLPfRWfOhZSYqJNu9Dy3Dot-b8QyBqD7yiDsimyB4-dY5yiQP7NyCp75acfxWuyHWEsSCFduvbmjcJ54kcRmlzJvexVF-_JJF4VWMAuZCDgwxAKECAc2Ch4mrtVB6DsLiSYsax1rdnV1ERLAMXhHYRRQyUue3hsQxKbSKIm0HNp4AzyyCA

라고 표현된 거야.


a값과 b값을 모두 구했으니 일차함수의 식은


CZXyqiByiwXQBpbtPy_ex-pozCrbtbwwxMDQaWIa74H7qfxvk4SEwxS-JIj02r0zb8Uz8Bl-Zbx5-YaXQhbyD06BD8NJRugTwOcz9bWOiLqYkh6z718uC2Gf1J4Z17k8cA0SMhvCVK3c1rtAJRbIxXE6YhcXn3896oCW8dukvd-3vOgFEH78C_Bm1tA-fw

그럼, 처음에 우리가 풀려고 했던 문제를 다시 보자.


문제) 두 점 (-1, 1), (3, -2)를 지나는 직선을 그래프로 하는 일차함수의 식을 구하시오.


예제의 풀이과정을 이해했으면 그대로 적용하면 되.

1) 두 점을 이용해 기울기 구하기

2) 기울기를 이용해 일차함수의 식 정리하기

3) 두 점 중 한 점을 x, y값에 대입하여 b값 구하기

4)일차함수 식으로 표현하기


이 중에 잘 안되는 과정이 있으면 반복 연습하면 돼. 네가 직접 풀어서 성공 경험을 쌓아보렴^^


추가로 숙제하나 내줄게. 교과서를 자세히 살펴보면, 일차함수의 식을 구하는 문제는 3가지 유형이 있다는 것을 알 수 있을 거야.

1)기울기와 y절편이 주어졌을 때

2)기울기와 한점이 주어졌을 때

3)두 점이 주어졌을 때


이 세 가지 유형의 풀이 과정만 마스터하면 일차함수의 식 구하는 더 이상 어렵지 않을 거야. 각각의 방법을 마스터하는 방법은 우리가 방금 한 것처럼 예제의 풀이 과정을 너의 것으로 만들면 돼. 예제를 통해 세 가지 유형의 풀이 과정을 익히고, 관련된 문제를 스스로 풀어서 마스터 하기. 어때? 할 수 있겠지?


앞서 얘기한 것처럼 문제는 개념을 잘 이해했는지 확인하기 위한 것이기 때문에 개념을 잘 이해하는 게 중요해. 이때, 놓치기 쉬운 중요한 포인트!


<개념 이해로 끝나면 절대 안 되고, 관련된 문제 유형별 풀이 과정을 마스터 해야 함!>


그러기 위해서는 스스로 다양한 문제를 풀어보고 정리할 줄 알아야 한다는 것도 명심하렴.


숙제를 제대로 한다면, 교과서 구조의 핵심인 개념과 예제, 문제를 이용해서 성공 경험을 쌓게 될 거야. 다른 모든 영역에서도 같은 방법으로 성공 경험을 쌓을 수 있고. 성공 경험을 쌓아가면 수학에 자신감을 갖게 될 것이고, 성취감을 통해 자존감도 높아질 거야. 중일이의 실력이 더욱 업그레이드될 수 있지. 생각만 해도 뿌듯하구나^^

파이팅~!

keyword
매거진의 이전글수학 공부 잘하는 법2- 성공 경험 쌓기(4)