brunch

최대 분산 포트폴리오, MDP

횡적 리스크 모델 시리즈 #3.

by 퀀트대디

# MVO의 또 다른 대안, MDP

GMV 모델과 더불어 자산의 수익률을 예측하지 않고 오직 리스크만을 기반으로 하고 있는 또 다른 방법론은 바로 최대 분산 포트폴리오(MDP; Most-Diversified Portfolio)이다. MDP는 기본적으로 분산 비율이라고 불리는 지표를 최대화하는 것을 목표로 한다. 여기서 이 분산 비율(Diversification Ratio)이라고 하는 것은 전체 포트폴리오 변동성 대비 각 자산 변동성에 대한 가중평균의 비율로 정의된다.


비록 MDP 모델이 공식적으로는 2008년 샤우파티(Chouefaty)와 쾨냐(Coignard)의 논문에 의해 처음 소개되었으나, 분산의 최대화라는 것은 사실 그렇게 최근에 만들어진 개념은 아니다. 사실, MDP는 모든 자산들의 샤프 비율이 동일하다는 가정하에서의 MVO이다. 만약 우리가 모든 자산들의 샤프 비율을 동일하다고 가정하면, 앞서 언급했던 분산 비율은 포트폴리오 샤프 비율에 비례하게 된다. 이런 경우, MVO를 통한 샤프 비율의 최대화는 결국 분산의 최대화를 꾀하는 포트폴리오를 추구하는 것과 같게 된다.


만약 자산들 간의 상관관계가 존재하지 않는다면, MDP는 단순히 자산별 변동성에 반비례하는 가중치 값을 내놓는다. 이때, MDP는 동등 한계 변동성(Equal Marginal Volatility)라고 불리는 또 다른 횡적 리스크 모델과 같게 된다.



# MDP의 수학적 모델링

GMV가 모든 자산들의 기대수익률을 동일하다고 가정한 것에 비해, MDP는 모든 자산들의 샤프 비율이 동일하다고 가정하고 있으며, 이때의 각 자산들의 기대 수익률은 자산별 변동성에 비례하게 된다.


이러한 관점에서 MVO 효용 함수 내의 기대수익률(μ)은 변동성(σ)으로 대체되며, 따라서 MDP는 아래와 같은 목적함수를 최대화시키는 포트폴리오의 가중치 값을 찾는다.

image.png

최적화의 결과는 다음과 같은 해를 가진다.

image.png

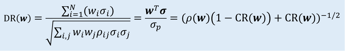
MDP를 도출하는 다른 방법은 앞서 언급했던 분산 비율을 최대화하는 것이다. 분산 비율은 쉽게 말해서 전체 포트폴리오의 변동성 대비 각 자산 변동성에 대한 가중평균 비율을 의미하며, 이는 모든 자산의 기대수익률이 각각의 변동성과 같을 때의 포트폴리오 샤프 비율이 된다. 분산 비율은 아래의 수식을 통해 계산이 가능하다.

image.png

분산 비율은 또한 위의 수식이 말하는 것처럼 자산군별 가중평균 상관계수와 포트폴리오 집중도를 사용해서도 표현이 가능하다. 이는 각각 다음과 같이 나타낼 수 있다.

image.png

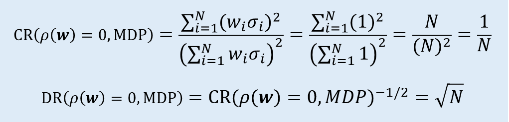
만약 가중평균 상관계수가 0이라면, 최대 분산을 위한 자산군별 가중치는 집중도의 최소화를 통해 달성이 가능하며, 이때의 가중치 값은 각 자산별 변동성과 반비례하게 된다. 앞서 언급했던 MDP가 동등 한계 변동성 모델과 같아지게 되는 것이다. 이러한 경우, 포트폴리오의 집중도는 단순히 N 분의 1이 되며, 분산 비율은 N의 제곱근이 된다.

image.png

분산 비율은 '자유도의 개수(Number of Degrees of Freedom)'라 불리는 또 다른 이론적 개념과 깊은 관계를 맺고 있으며, MDP 모델은 이 자유도의 개수라는 것을 최대화하려 한다. 이 지표는 전체 포트폴리오 상에서 실제로 독립적인 리스크 팩터들의 개수가 과연 몇 개인가를 나타낸다. 예를 들어, 만약 포트폴리오 내의 모든 자산들이 완벽하게 독립적이라고 한다면, 자유도의 개수는 당연하게도 자산들이 개수와 같아진다. 하지만 현실 세계에는 자산들 간의 상관관계라는 것이 존재하기 때문에, 실효성 있는 독립적 리스크 팩터들의 개수는 자산들의 개수와 달라질 수밖에 없다.



# MVO의 한계를 뛰어넘어

MDP 모델은 종종 단순한 동일 가중 기법보다 나은 성과를 보여왔다. 평균적으로, MDP의 성과는 GMV의 그것과 비슷해지는데, 그 이유는 두 모델이 모두 포트폴리오의 변동성을 낮추는 것을 목표로 하고 있기 때문이다. 이 두 가지 모델은 시장의 상황이 매우 나쁜 시기에 좋은 성과를 보여주지만, 장기적인 관점에서 보았을 때 이 모델들의 성과는 리스크 패리티(Risk Parity)동등 한계 변동성(Equal Marginal Volatility) 같은 리스크 버짓팅 모델들의 성과를 하회한다.


지금까지 우리는 전통적인 MVO 모델, 그리고 여기서 한 단계 나아간 GMV와 MDP를 살펴보았다. MVO의 프레임워크는 결국 투자자의 효용 함수를 최대화하는, 다시 말해 샤프 비율의 최대화를 추구하는 포트폴리오를 찾는 것이었다. 이를 CAPM의 논리와 연결 지어 생각해 본다면 결국 이러한 포트폴리오는 자본시장선에 접하는 포트폴리오를 추구하는 것이다.


그러나 MVO를 비롯한 GMV, 그리고 MDP와 같은 전통적 관점의 포트폴리오 기법은 기대수익률과 변동성, 그리고 상관계수를 입력 변수로 받고 있기 때문에 이를 예측해야만 한다. 그런데 어디 이러한 값들을 예측하는 것이 쉬운 일이던가. 특히나 우리는 자산의 수익률도 정확하게 예측을 하지 못하는데, 변동성과 상관계수의 정확한 값까지 알아야 한다는 것은 어불성설이 아닐 수 없다.


이러한 전통적 포트폴리오 방식의 비현실적인 한계로 인해 시간이 지나면서 투자자들은 새로운 대안을 찾기 시작했고, 고심 끝에 그들은 각각의 자산들에 대해 위험 예산을 배분하는 방식을 생각해내게 된다. 이른바 리스크 버짓팅(Risk Budgeting) 기법의 시작이었다.




keyword
매거진의 이전글글로벌 최소 분산 포트폴리오, GMV