brunch

리스크 패리티 포트폴리오, RP

횡적 리스크 모델 시리즈 #5.

by 퀀트대디

# RB의 특별한 케이스, 리스크 패리티

RB의 특별한 케이스로써 포트폴리오에 존재하는 전 자산군에 대해 동일한 위험 예산을 배분하는 방법이 있다. 이러한 방법론이 바로 그 유명한 리스크 패리티(RP; Risk Parity) 기법이며, 이는 동등위험기여(ERC; Equal Risk Contribution) 방식이라고도 불린다. 최근 몇 년 동안, 리스크 패리티 기법은 많은 관심과 주목을 받아왔는데, 그 이유는 멀티에셋 포트폴리오에 이 리스크 패리티가 적용되었을 때 매우 좋은 성과를 보여왔기 때문이다.


리스크 패리티 기법은 기본적으로 변동성이 높은 주식과 원자재, 그리고 회사채 때문에 국채에 보다 높은 가중치를 부여한다. 과거 몇십 년 동안 미국 국채의 금리는 계속에서 하락해왔기에 리스크 패리티 기법은 본의 아니게 다른 자산배분 방법론보다 더 나은 성과를 보였다. 하지만 리스크 패리티 기법도 만능은 아니다. 2013년에 발생한 테이퍼링 텐트럼, 동시에 높아진 주식과 채권의 상관관계는 리스크 패리티의 성과를 저조하게 만들었다.


# RP의 수학적 모델링

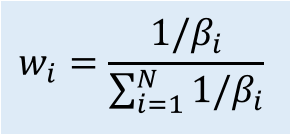
RB의 수학적 모델링에서 이미 정의했던 각 자산에 대한 위험 예산 Si가 만약 전부 같다면, 이때의 RB 포트폴리오는 결국 리스크 패리티 포트폴리오가 되며, 각 자산별 위험 예산은 모두 같아지게 된다. 이때, 각 자산별 가중치는 다음과 같이 구할 수 있다.

image.png

이 또한 다음과 같은 수치해석적 최적화 문제를 푸는 것으로 도출할 수 있다.

image.png

결론적으로 포트폴리오에 대한 어떤 자산의 위험 기여도는 자산의 가중치에 베타를 곱한 값과 같게 된다. 만약 어떤 투자자가 각 자산의 수익 기여도가 모두 같다고 가정을 하게 된다면, 리스크 패리티 포트폴리오는 가장 높은 샤프 비율을 달성할 수 있다.

keyword
매거진의 이전글리스크 버짓팅 포트폴리오, RB