brunch

우주 기술 발전의 열쇠, 로켓

by 모두의 과학
<지구에서 달까지>의 책 표지 @Public Domain (Wikimedia)


1865년 과학소설로 유명한 쥘 베른의 <지구에서 달까지>란 소설을 아시나요? 남북전쟁이 끝난 뒤 할 일이 없어진 대포클럽 회원들이 거대한 대포를 만들어 달로 사람을 쏘아 보낼 계획을 세우는 내용의 소설입니다. 그 소설 속에서 사람들은 질문합니다. “포탄이 달에 도착해 부딪치면 그 속에 탄 사람들이 죽을 건데 어떻게 할 것입니까?” 그러자 달로 갈 과학자 아르당은 제때에 로켓을 역 분사해서 추락 속도를 늦추면 된다고 말하지요. 바로 이 문장에서 많은 과학자가 우주여행의 열쇠로 로켓을 생각합니다.



로켓의 기본 원리


연료의 연소 결과, 생긴 가스가 빠져나가면서 로켓이 발사되는 모습 @Public Domain (Wikimedia)

로켓은 자주 듣는 단어지만 정작 그 원리는 잘 아는 이가 드뭅니다. 로켓은 간단히 말해서 한쪽만 뚫리고 나머진 모두 막힌 공간 안에서 폭발을 일으키는 것이지요. 액체나 고체 연료를 대단히 빠른 속도로 연소시키면 아주 빠르게 가스가 만들어집니다. 이렇게 만들어진 가스가 뚫린 부분으로 빠져나가면서 그 반작용으로 반대 방향으로 물체를 움직이는 원리가 로켓의 기본 원리입니다. 그런 원리로 본다면 총도, 대포도, 어떤 의미에선 로켓이지요. 다만, 지금의 로켓은 연료의 연소가 한 번에 그치는 것이 아니라 목표에 도달할 때까지 지속해서 이루어진다는 특징을 갖고 있습니다.




점점 더 빠르게, 제트기와 미사일


처음 인간이 동력 비행을 시작했을 때는 프로펠러를 돌려 하늘을 날았습니다. 그러나 사람들은 프로펠러 비행기의 속도에 만족할 수 없었죠. 특히 군대가 그랬습니다. 적군보다 좀 더 빠르게 날 수 있다면 얼마나 좋을까? 그런 고민 속에 당시 대포의 로켓 기술에서 힌트를 얻어 개발한 것이 제트기관이었습니다. 제트기도 분사된 연료의 연소로 얻은 고온의 가스를 분출하여 동력을 얻는 측면에서는 로켓과 비슷하지만, 연료의 연소를 위해 필요한 산소를 대기 중에서 얻는다는 점이 다릅니다. 따라서 기존의 프로펠러기에 비해서 제트기는 월등히 빠른 속도로 움직일 수 있었지요.


Airstrikes_in_Syria_140923-F-UL677-654.jpg 더 빠르고 멀리 날 수 있는 제트기 @Public Domain (Wikimedia)



2차 세계 대전 당시의 V2 미사일 모습 by Bundesarchive, CC-BY-SA 3.0 (Wikimedia)

하지만 이 정도 속도로도 만족할 수 없는 사람들이 있었습니다. 이들은 대기로부터 산소를 얻는 방식이 아닌 자체 연료의 연소로 더 빠르게 제한 없이 날 수 있는 비행체를 연구했습니다. 어떤 이들은 대기가 없는 지구 밖으로 나가기 위해 로켓을 연구했고, 또 다른 이들은 대포보다 훨씬 멀리 그리고 빠르게 적의 진지를 공략하는 무기인 미사일로 사용하기 위해 로켓을 연구했습니다.

연구의 결과는 2차 대전 당시 독일에 의해 드러났습니다. 베르너 폰 브라운이 V2 미사일을 개발하여 연합군을 경악하게 만든 것이지요. 그가 개발한 V2는 액체 산소와 알코올을 연료로 사용하여, 기술적으로 최소한 25년은 앞선 것으로 평가되었습니다. 물론 V2가 실전에 이용된 건 이미 독일이 지고 있던 1944년이었기 때문에 전황 자체를 바꿀 순 없었지만, 당시 연합군의 미국과 영국, 소련(현 러시아) 등은 기술력에 큰 충격을 받았지요. 그래서 전쟁이 끝나자 특히 미국과 소련이 경쟁적으로 V2 로켓 개발에 참여했던 독일의 과학자와 기술자, 그리고 장비들을 자국으로 데려가 독자적인 로켓 개발에 착수하게 되었습니다.





냉전과 우주 경쟁,

그리고 스푸트니크의 발사


대지 2-100.jpg


2차 대전이 끝나자 미국을 중심으로 한 자본주의 진영과 소련을 중심으로 한 사회주의 진영 간의 대립이 격화됩니다. 흔히 냉전(cold war)이라고 하지요. 특히, 두 진영에서 우주 탐사와 인공위성 기술은 가장 상징적이었습니다. 인공위성 기술이 발달하면 정찰기를 날리지 않고도 적국을 염탐할 수 있고, 우주여행에 성공하면 체제의 우위를 널리 알릴 수 있다는 점이 매력적이었지요. 더구나 인공위성이나 우주 탐사를 위해 개발된 로켓은 2차 대전 당시 증명되었듯이, 군사 무기로서 상당한 위력을 발휘할 것으로 여겨졌습니다. 우주로도 로켓을 쏘는데 대륙을 넘어 상대 국가의 수도에 로켓을 쏘는 것이 어려울 리가 없지요. 더구나 2차 대전 말에 개발된 핵무기는 단 한 발로도 도시 전체를 파괴할 위력을 지니니 대륙을 넘나들 수 있는 로켓에 핵무기를 탑재하면 커다란 군사적 우위를 차지할 수도 있게 되었지요.


한편, 항공 기술이 약했던 소련은 미국의 첩보 비행기가 자국 영토를 돌아다니는 상황에 무력했고, 미국을 중심으로 한 봉쇄정책으로 힘들어하던 상황이었습니다. 소련은 이를 대륙 간 탄도미사일 개발로 극복하려 했고 이는 로켓 기술 개발로 이어집니다. 더불어 로켓 기술을 응용한 인공위성을 미국보다 먼저 쏘아 올려 사회주의 체제의 우월성을 증명하겠다는 야심도 있었지요. 물론 미국도 마찬가지로 로켓을 이용한 군사 무기 개발에 노력을 기울이긴 했지만, 항공 기술이 우수하다 보니 소련만큼 집중적으로 투자하진 않았습니다.


그런데 1957년 10월 4일 소련이 스푸트니크 1호를 탑재한 R-7 로켓을 쏘아 세계 최초로 인공위성을 지구 궤도로 보내는 데 성공합니다. 이에 미국은 엄청난 충격에 휩싸이지요. 이때부터 미국도 로켓 발사체와 인공위성 개발에 총력을 기울이기 시작합니다. 그 결과, 1960년대와 70년대를 거치면서 미소 양국의 경쟁에 힘입어 인공위성과 발사체 기술은 장족의 발전을 하게 됩니다.




궤도 반지름이 모든 걸 정한다


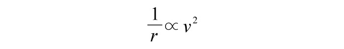
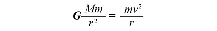
로켓으로 발사되는 인공위성에는 한 가지 비밀이 있습니다. 바로 인공위성이 떠 있는 높이에 의해 지구 주위를 도는 속도가 결정된다는 것이죠. 그 이유는 수식으로 보면 알 수 있습니다.


수식1.jpg


이는 인공위성에 작용하는 중력과 인공위성의 원심력은 항상 같음을 보여주는 수식이지요. 중력과 원심력이 같지 않다면 인공위성은 추락하거나 궤도를 벗어나게 됩니다. 그런데 저 식에서 G와 M은 각각 중력 상수와 지구 질량으로 항상 일정합니다. m은 인공위성의 질량인데 수식의 양쪽에 같이 있으니 그 값이 무의미하지요. 나머지 변수인 r은 지구 중심에서 인공위성까지의 거리고, v는 인공위성의 속도입니다. 결국, 거리에 의해 인공위성의 속도가 정해지는 것이지요.


수식2.jpg


정해진 높이의 궤도를 도는 정지위성 by Brandir, CC BY-SA 3.0 (Wikimedia)


그래서 인공위성은 정해진 높이에 있어야 합니다. 대표적인 것이 기상위성이나 통신위성입니다. 우리나라에서 띄운 기상위성과 통신위성은 항상 한반도와 같은 경도 위에 위치해야 하고, 그러기 위해선 지구가 자전하는 속도에 맞춰 움직여야 하지요. 이런 위성을 정지위성이라고 합니다. 정지위성은 적도의 지상 36,000km 높이에 떠 있습니다.


지구관측위성이나 첩보위성은 지구 표면을 전체로 훑어야 합니다. 되도록 자세히 보는 것이 좋으니 높이가 낮아야 하지요. 이들은 지상 500km~1,500km의 저궤도로 돕니다. 첩보위성 말고도 허블우주망원경도 비슷한 궤도를 돌고 우주정거장도 저궤도에 위치합니다.


타원 궤도를 따라 지구를 도는 위성도 있습니다. 이런 경우 지구에 가까우면 속도가 빨라지고 멀면 느려집니다. 따라서 러시아 같은 북극 주변의 나라들은 남극에 갈 때 가깝고 북극에 올 때 먼 타원궤도 위성을 사용합니다. 그러면 북극 주변을 돌 때 속도가 느려지니 더 오래 머물지요. 이를 이용해서 북극 주변의 통신 방송용으로 사용합니다.


대지 3-100.jpg


인공위성이 처음 지구 주위를 돌 때부터 약 70년이 지난 지금은 전 세계에서 쏘아 올린 인공위성이 너무 많아 충돌의 위험도 있을 정도로 궤도가 복잡해졌습니다. 더구나 예전에는 국가에서만 쏘아 올렸지만, 최근에는 기업들도 자신들이 필요한 위성을 쏘아 올릴 정도로 아주 일상화되었지요. 앞으론 더 자주, 더 많은 인공위성이 올라갈 터이니 도로가 정체되듯이 지구 주위의 우주도 더 복작거릴 듯합니다.

keyword
매거진의 이전글공기로 양질의 단백질을 생산한다?