미루지 마렴

by 찔레꽃
김종직 서문.jpg
일기 속지.jpg
일기 표지.jpg
오늘 읽은 「윤선생상시집서(尹先生祥詩集序)」백문(좌), 어머니의 일기 속지(중), 어머니의 일기 표지(우).




실력이 좀 늘었나? 무심히 백문(白文, 띄어쓰기나 토가 붙지 않은 한문)을 읽어 본다. 구두(句讀)가 술술 띄어진다. 어라, 제법 늘었는 걸!


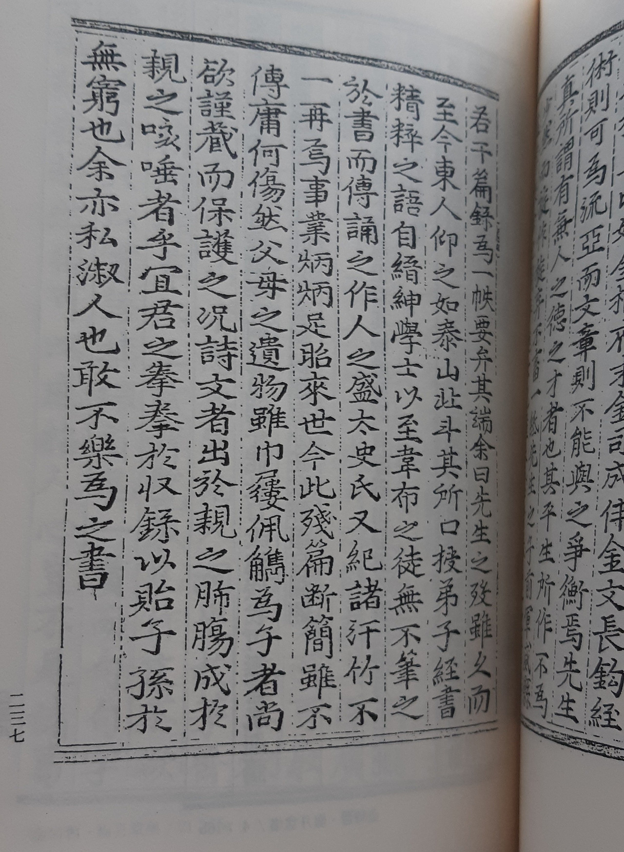
아침에 구두 실력 점검용으로 김종직의 「윤선생상시집서(尹先生祥詩集序)」를 읽어 보았다. 재도문학론(載道文學論)을 바탕에 깐 글이라, 글이 대강 어떤 방향으로 흘러갈지 짐작되기에, 구두가 좀 쉬웠을 수도 있다. 그래도, 구두가 술술 띄어지니 기분이 업됐다. 그런데, 마지막 부분을 읽다 잠시 업된 기분이 차분히 가라앉았다.


부모의 유물은 설령 그것이 생전에 부모께서 쓰시던 하찮은 수건이나 신발 혹은 간이 송곳이라 하더라도 자식에게는 소중히 간직하고픈 것인데, 하물며 시문(詩文)은 어버이의 마음속 깊은 곳에서 나와 어버이께서 직접 쓰신 것임에야 더 말할 나위가 있겠는가! 그대가 정성스레 모아 길이 자손에게 남겨주려는 것은 너무도 당연한 일이다. 父母之遺物 雖巾屨佩觿 爲子者 尙欲謹藏而保護之 況詩文者 出於親之肺腸 成於親之咳唾者乎 宜君之拳拳於收錄 以貽子孫於無窮也


김종직에게 서문을 부탁했던 이는 아버지의 시집을 발간하는 것이 괜한 일이 아닌가 걱정했다. 종직은, 결코 그렇지 않다며, 그 의미를 위와 같이 말하며 격려하고 있다. 그런데 사실 이런 염려나 격려는 서문에 으레이 등장하는 상투적인 말이라 별로 신선할 것이 없다. 일종의 짜고 치는 고스톱 같은 투식인 것. 그런데 이런 뻔한 서사에서 갑자기 업된 기분이 차분해진 건, 내 자신을 돌아보게 됐기 때문이다.


내게는 꽤 오래된 어머니의 일기 한 권이 있다. 어린이 잡지 『소년중앙』 신년 부록으로 나온 생활일기를 어머니께 드렸는데(어린 마음에 일기 쓰기를 좋아하지 않았던 탓에 어머니께 드린 것이었다), 거기에 어머니께서 일기를 쓰신 것이다. 표지에 보면 그 해는 1977년으로 돼있다. 내가 초등학교 6학년 때이다. 이 일기는 어머니께서 우연찮게 세상에 남기신 유일한 기록물이 됐다. 여러 차례 이사를 하면서도 잃어버리지 않고 간직한 것은 어쩌면 저 윤상의 아들 같은 심정이었기에 그랬을 것이다.


꽤 오래전부터 어머니의 일기를 책자로 내보고 싶다는 생각을 했었다. 형제들에게는 미처 알지 못했던 어머니의 면모를 알게 하는 것이 되고, 자식들에게는 할머니의 삶과 그 시대를 이해하는 것이 될 것 같았기 때문이다. 오늘 김종직의 글을 읽으면서 책자로 내는 일을 더 이상 미뤄서는 안 되겠다는 생각을 하게 됐다. 마침 또 책을 낼 만한 이벤트도 생겼다.


올해는 막내 누님 칠순이다. 뭔가 기념되는 것을 해드리고 싶은 생각이 들어, 가칭 『누이를 위한 명심보감』을 만들어 선물해 드릴까 하는 생각을 했었다. 학재(學才)가 있는데 어려운 가정 형편 때문에 일찍 학교를 그만둬야 했던 누이를 위해 재미있는 한문 책을 만들어 선물하면 좋아하시지 않을까 싶었던 것이다. 그런데 오늘 김종직의 글을 읽으며 그보다는 어머니의 일기를 책자로 만들어 드리는 것이 더 의미 있겠다는 생각을 했다. 제목도 벌써 정했다. 『어머니의 일기』. 어머니의 일기엔 신산(辛酸)함이 가득해 마음 편히 읽을 수가 없다. 어쩌면 이게, 나의 게으름 탓일 수도 있지만, 여태껏 책자화 하지 못한 이유인지도 모른다. 역시나 오늘도 일기를 읽는데 너무 마음이 아렸다. 누님이 책자화된 어머니의 일기를 보게 되면 같은 여성이기에 어머니의 삶에 더 공감하며 의미있게 읽을 것 같고, 모르긴 해도 일기를 읽으며 눈물도 꽤 흘리시지 않을까 싶다. 기념될만한 선물이 될 게 분명하다.


언젠가 장인어른 칠순이 다가올 때, 신문 광고(‘자서전 만들어 드립니다’ 류의)를 보고, 장인어른 자서전을 만들어 드리면 어떻겠냐고 처에게 말한 적이 있다. 돈이 들어가는 일이기도 하지만 그런 것에는 그다지 관심이 없는 듯 신통한 반응을 보이지 않아 그냥 넘어갔다. 그런데 장인어른이 어느덧 구순을 바라보고 있다. 이제라도 자서전 하나쯤 만들어 선물해 드리는 것도 괜찮지 않나 싶은데, 여전히 처나 처남들은 그런데는 별 관심이 없는 듯하다(내가 과감히 나서기도 좀 그렇다). 이런 것을 생각하는 내가 좀 특이한 사람인가 보다. 옛글만 읽어서 그런지도 모르겠고.


장인어른은 평소에 남기신 수적(手迹)이 없기에 지금 자서전을 남겨 놓지 않으면 장인어른에 관한 것은 자식들이나 손주들의 기억에만 남아있을 뿐 가시적인 것은 세상에 남아있지 않게 된다(사진이야 물론 남겠지만). 아쉬운 일이다. 이에 반해 아주 적은 양이긴 하지만 어머니가 직접 남기신 수적을 갖고 있는 나는 얼마나 다행인가. 새삼 어머니의 일기가 소중하게 느껴진다.


'불효부모사후회(不孝父母死後悔)'라는 말이 있다. 부모에게 불효하면 부모가 돌아가신 후 후회한다는 뜻이다. 처나 처남들에게 들려주려는 말이 아니다. 내게 하는 말이다. 어머니의 일기 운운하며 효자 비슷한 흉내를 내려는 것은 어쩌면 어머니 생전에 불효했던 잘못을 뒤늦게 후회하는 행위 인지도 모른다. 아니, 그렇다. 살아생전에 잘했다면 그깟 책자 아니 내도 아쉬울 일이 없지 않겠는가. 내 경우를 미루어 종직에게 아버지 시집의 서문을 부탁했던 이도 나와 비슷한 것 아닐까 싶지만, 부모 사후 문집 간행이 당연했던 당대의 관습을 생각하면 결코 나와 비슷한 경우는 아닐 것이다.


구두가 술술 띄워져 기분이 업됐던 김종직의 글 덕분에 새삼 어머니의 일기 출간을 서둘러야 되겠다는 결심을 하게 됐다. 누님의 칠순 이벤트도 한 몫 했다. 읽던 어머니의 일기를 덮는 순간, 어머니의 말씀이 들리는 듯했다. “얘야, 시간이 항상 너를 기다려 주는 게 아니란다. 네 누이가 벌써 칠십이고, 너도 육십이 넘었잖니? 해야겠다고 마음먹은 일은 미루지 말고 바로바로 하려무나.”

keyword
작가의 이전글견오봉일월도이억노대통령