brunch

[설하남의 고등수학] 수학이 어려운 이유

수학은 또 다른 언어이다.

by 설하남


(본 글은 수학에 대한 증명이 아닌 수학을 이해하기 쉽게 풀이하기 위한 개인의 생각과 설명을 담은 블로그 글입니다.)

수학이 어려운 이유 1: 수학은 언어이다.


수학이 어렵게 느껴지는 것은 수학이 언어이기 때문이다.


"일 더하기 일은 무엇입니까?"

“What is one plus one?”


미국인과 한국인이 서로 만나 위의 대화를 주고 받았다면, 서로의 언어가 다르기 때문에 서로를 이해할 수 없을 것입니다. 서로의 언어를 먼저 배우지 않고도 제 3의 기호를 통해 소통할 수 있다면 정말 멋진 일이지 않겠어요? 다행히 국제적으로 공통된 제 3의 기호가 수학이고 그 결과 아래와 같이 표현하면 기본교육을 받은 사람 누구나 공통의 답을 낼 수 가 있습니다.


1 + 1 = 2


수학이 전세계에서 통용되는 “언어”라 생각하면 어떨까요? 수학을 언어처럼 구사하려면 각 기호들의 의미를 (“+”의 의미, “=“의 의미 등) 마치 단어를 이해하듯 연습해야하고, 문법을 공부하듯 수학의 규칙/공식을 공부해야 합니다. 단어와 문법을 모르면 언어를 구사하기가 어려운 것 처럼 기호와 공식에 대한 이해가 불충분하면 수학에 대한 이해하거나 사용하기가 힘들게 됩니다. 언어에서는 잘못된 단어나 문법을 사용한 탓에 동문서답을 하듯, 수학에서는 잘못된 기호나 공식을 사용하면 오답이 나는 것입니다.


즉, 수학을 공부하는 것이 영어를 공부하는 것처럼 훈련과 연습이 필요한 언어이기 때문에 어려운 것입니다.


수학이 어려운 이유 2: 수학은 일반화된 압축


수학이 어려운 공식(규칙)으로 되어 있는 이유는 ‘그 어떠한 경우에도 무조건 맞을 수 밖에 없는 이유’가 담긴 일반화된 규칙이기 때문입니다. 우리의 실생활에서는 간단한 산수만 있으면 되는데, 복잡한 상황이나 변수가 많아지면, 압축되어서 표현하는 필요가 생깁니다.


예를 들면, 당신이 "1년 동안 매달 자녀에게 50만원씩 용돈을 주기로 약속하면 총 얼마 주는 것일까?". 이런 계산은 산수로도 충분히 계산 할 수 있습니다.


1년 * 12달 * 50만원 = 600만원


그런데, 만일 “20년 동안 50만원을 매달말에 주되, 매월 1% 이자를 이전 금액에 더해서 주기로 하면 총 얼마를 주는 것인가?”로 하면 산수로 하려면 아래와 같이 접근해서 답을 구해야합니다.


첫째달 : 50만원 + 50만원* 1%

둘째달 : 50만원 + (50만원 + 50만원 * 1%)*1%

셋째달 : 50만원 +(50만원 + (50만원 + 50만원 * 1%)*1%)*1%

(생략)

20년째 : ??????


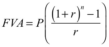
간단한 산수로 알아내려면 활용하기 위해 엄청난 계산을 해야 하는 일입니다. 이런 식이라면 은행 및 기업은 산수를 검증하느라 엄청 고생하게 됩니다. 이 계산을 가능한한 쉽게, 어느 경우에도 쓸수 있도록 축약하면 얼마나 좋겠습니까? 다행히 그 공식이 발견(증명)되었고 아래 처럼 생겼습니다.


연금의 미래가치 (Future Value Annuity) 공식

각 기호는 아래를 상징합니다.

P : 매달 입금액 50만원

n:기간(횟수), 240회

r: 이자율, 1%


그래서 위의 문제의 답을 이렇게 계산하면 됩니다.


49,462.77 만원


그리고 이 공식을 이용하면, 횟수와 관계 없이 숫자를 해당 자리에 넣기만 하면 구할 수 있습니다. 산수를 활용할 때보다 쉽게 계산할 수 있게 되었습니다.


맺음말


수학을 잘하려면 언어를 구사하듯 각각의 기호와 규칙을 이해해야만 합니다. 이 노력 자체가 언어를 배우는 것에 버금가는 노력이기 때문에 당연히 힘든 과정입니다. 그러므로, 언어가 암기해서 되지 않은 것처럼 수학도 단순 암기로해서는 안되는 것이며, 충분히 연습과 노력을 통해서 잘 할 수 있을 것이란 믿음을 갖고 학습하는 것이 수학에 “익숙해지고 잘하는 길”이라 생각합니다.

keyword
매거진의 이전글한 수학 강사의 직업 발언