"배당금으로 월급 대체? 미국 MZ들의 위태로운 도박"

by 투영인



수십 년간 공부. 평생을 일터에서. 운 좋으면 겨우 몇 년의 노후. 그리고 인생 끝.


이게 지난 한 세기 넘게 미국인들이 당연하게 받아들여온 인생 공식이었다: 열심히 일하고 안전하게 투자하면, 어쩌면, 정말 운이 좋다면, 숨 돌릴 몇 년 정도는 얻을 수 있을 거라는.


폭발적으로 늘어나는 젊은 개인투자자들에게 이런 삶은 완전 '호구 인생'이다



7월 어느 금요일 오후, 20여 명이 Manhattan Midtown에 모여 완전히 다른 인생 루트를 전도했다:


월급이 아닌 배당금으로 먹고사는 길.


그들이 외치는 성공 공식: 최신 고배당 전략에 올인하고, 거기서 나오는 꾸준한 현금으로 회사 노예 생활에서 탈출하는 것. 장기적으로 포트폴리오가 망가질 수 있다고? 그딴 건 신경 끄라는 거다.


그중 한 명이 26살 전직 부동산 분석가 Eli Breece다. 이 친구는 모은 돈을 전부 배당 포트폴리오에 꽂았다가, 그중 4만 달러(약 5,200만원)를 빼서 Tennessee 집 계약금으로 썼다. 401(k) 같은 퇴직연금은 아예 손도 안 대고, YouTube 채널 "Dividendology"에서 21만 7천 명 구독자들한테 자기 투자법을 전파 중이다.

1-8.png?type=w773

Breece 말로는, 결국 '자유'를 위한 선택이란다. "우리 할아버지는 평생 공장에서 일만 하셨어요. 전 65살까지 제 돈을 묶어두고 싶지 않아요."


아이러니한 상황이다: 한때 투자계의 '노인들 취미'였던 배당 투자가 조기 은퇴를 꿈꾸는 Gen Z들의 핫한 아이템이 되었다. 물론 이들이 노리는 건 Coca-Cola나 Exxon Mobil 같은 전통 배당주가 아니다. 요즘 배당 덕후들은 복잡한 파생상품으로 만들어낸 어마어마한 수익률을 자랑하는 ETF에 죽어라 몰빵하고 있다.


소득 창출 ETF(income-generating ETF)라는 광범위한 카테고리는 2025년 주식 ETF 전체로 유입된 자금 6달러 중 1달러를 차지했으며, 이 부문의 전체 규모를 7,500억 달러로 끌어올렸다. 8% 이상의 수익률을 제시하는 가장 공격적인 상품들은 단 3년 만에 규모가 4배로 증가했다. 이 열풍은 YouTube 채널과 Discord 서버 네트워크, 그리고 지난 5년간 10배 이상 성장하여 현재 780,000명의 회원을 보유한 Reddit의 r/dividends 포럼을 촉발시켰다.


이 열풍이 워낙 최근 일이고 (팔로워들도 대부분 젊어서) 인기 펀드들이 사실 일반 주가지수보다 수익률이 떨어지고 장기적으로 돈을 까먹을 수 있다는 팩트는 쉽게 무시당했다.


Boston College 재무학 교수 Samuel Hartzmark는 10년 넘게 이 현상을 연구했는데, 투자자들이 "공짜 배당 오류(free dividends fallacy)"에 빠진다는 걸 발견했다. 배당금과 시세차익을 완전 별개로 생각한다는 거다. 2015년 논문에서 그는 이런 착각에 빠진 투자자들이 실제 총수익률은 개선 안 되는데도 배당금만 많이 주는 펀드를 선호한다는 걸 밝혀냈다.




공짜 배당 오류 (Free Dividends Fallacy)

공짜 배당 오류란 주식 배당금이 주가 변동과는 별개로 추가 수익이나 "공짜" 수익을 가져다준다고 착각하는 현상을 말한다.


개념 설명

투자자들은 흔히 기업으로부터 배당금을 받으면 이것이 쿠폰이나 이자처럼 보너스 수익이라고 생각한다. 하지만 기업이 배당금을 지급하면 주가는 일반적으로 배당금만큼 하락하기 때문에 투자자의 총 자산은 변하지 않는다. 예를 들어, $10에 거래되는 주식이 $1의 배당금을 지급하면 배당락일에 주가는 약 $9로 하락한다.


왜 오류인가?

"공짜 돈"은 없다: 배당금은 단순히 회사 자산에서 투자자 계좌로 가치가 이전되는 것일 뿐, 주가는 그만큼 하락한다.


Mental Accounting: 많은 투자자들이 배당금과 주가 상승을 머릿속에서 분리해서 생각하며, 배당 수익을 별개의 "안전한" 수익으로 취급하면서 상쇄되는 주가 하락은 무시한다.


포트폴리오 영향: 이러한 믿음은 배당주를 과대평가하고 배당금과 주가 변동을 모두 포함하는 total return을 무시하는 등 잘못된 투자 결정으로 이어질 수 있다.


학계의 관점과 시사점

연구자들은 이러한 오류로 인해 배당금을 쫓다가 포트폴리오가 왜곡되고 전반적인 수익률이 하락할 수 있음을 증명했다. 특히 배당주에 대한 수요가 주가를 끌어올리고 기대수익률을 낮출 때 더욱 그렇다. 이 오류는 개인투자자와 전문 자산운용사 모두에게서 나타나며 시장의 비효율성에 기여한다. 투자자들은 배당금에만 집중하는 대신 주가 변동과 배당금을 모두 포함하는 total return에 집중해야 한다.


핵심 요점

공짜 배당 오류는 배당금이 아무런 비용 없이 수익을 더해준다는 잘못된 믿음이지만, 실제로 배당금은 단순히 부를 재배분할 뿐 증가시키지는 않는다. 이를 이해하면 최적이 아닌 투자 결정을 피하고 total return에 집중할 수 있다.




"대부분 배당금을 하늘에서 떨어지는 보너스처럼 생각해요"라고 그는 설명한다. "배당금 받는 만큼 주가가 빠진다는 걸, 결국 더 부자가 되는 게 아니란 걸 모르죠."


정기적으로 돈이 들어온다는 매력 때문에 투자자들은 오랫동안 분기별·연간 배당을 주는 주식과 펀드에 끌렸다. Morningstar Inc.의 Christine Benz는 이걸 "'손 안에 든 참새'의 심리적 유혹"이라고 표현한다. 대표적인 배당 ETF인 Schwab US Dividend Equity ETF는 2011년 출시 후 현재 4% 수익률로 700억 달러 넘는 자산을 굴리고 있다.


그런데 신세대 펀드들은 차원이 다른 배당을 뿌린다 - 심지어 100% 넘는 경우도 있다. 예를 들어 Bitcoin 쟁여두기로 유명한 회사 Strategy의 롤러코스터 주식에 연동된 MSTY라는 상품을 보자.



[그래프 : 같은 회사에 투자하는 세 가지 방법 비교 - 10만 달러 투자 시 시간별 가치 변화]

1-8.png?type=w773


1-8.png?type=w773


1-8.png?type=w773



이 펀드는 현재 약 50억 달러(약 6.5조원)의 자산을 운용하며 "분배율(distribution rate)" 약 90%를 자랑한다. 이런 엄청난 배당금은 복잡한 옵션 베팅 전략으로 만들어낸다. 이 구조 덕분에 매달 배당금 지급이 가능해졌지만, 동시에 ETF 성과를 갉아먹었다. 2024년 2월 출시 이후 기초자산인 Strategy보다 무려 120%p나 뒤처진 수익률을 기록했는데, 이것도 배당금을 전부 재투자했을 때 얘기다. 많은 인플루언서들처럼 배당금을 빼서 쓴다면? 당신 계좌에 남은 건 Strategy 수익률보다 거의 200%p나 뒤처진 쭉정이 ETF뿐이다.


2019년 이후 Securities and Exchange Commission이 ETF 승인과 파생상품 규칙을 간소화하여 대규모 수익률을 제공하는 펀드와 새로운 자산 운용사들의 물결을 위한 길을 열었다.


Breece가 참석한 Nasdaq에서의 Manhattan 행사는 YieldMax가 후원했는데, 이 회사는 MSTY를 포함하여 업계에서 가장 빠르게 성장하는 많은 상품들을 담당하고 있다. 2022년 이후 회사가 만든 50개 이상의 ETF는 금융 인플루언서들이 7월 11일 거래소에서 종가를 울린 이후로만 약 50억 달러의 자금이 유입되었다.

1-8.png?type=w773 고수익 ETF에 집착하는 금융 인플루언서들이 YieldMax가 주최한 뉴욕 행사에 모였다. 사진: Lanna Apisukh/Bloomberg


이 상품들이 쓰는 수법 즉, '오늘은 배당, 내일은 원금 증발' 은 Wall Street 전문가들로부터 신랄한 비판을 받고 있다. 투자자들이 지금 받는 배당금을 장기적 자산 증식으로 착각할 수 있다는 경고다. 높은 배당률이 주가 수익률과 전체 포트폴리오 성장을 갉아먹는다는 걸 못 보고 지나친다는 것이다. 변동성 전문 헤지펀드 QVR Advisors의 매니징 파트너 Benn Eifert는 이 신종 트렌드를 주도하는 일부 운용사들을 대놓고 비판해왔다.


"사람들을 속여서 마치 수익을 얻는 것처럼 착각하게 만들고 있어요"라고 Eifert가 쏘아붙였다. "결국 내 돈 돌려주는 것뿐인데, 그걸 나한테 지급하면서 ETF 가치는 계속 떨어지고 있잖아요."


YieldMax 측은 자기들 상품이 뭘 하는 건지 숨기지 않는다고 반박한다: 보유자들에게 매력적인 수익률을 만들어주는 게 목적이라는 거다.


"그냥 주식 사고 싶으면 주식 사세요. 우리는 주식 수익률을 이기려는 게 아닙니다. 주식의 변동성을 인컴으로 바꾸려는 거죠"라고 YieldMax ETF 출시를 돕는 Tidal의 공동창업자 Michael Venuto가 설명한다. "상승 수익만 노리는 사람들은 YieldMax 상품 사지 마세요."


1-8.png?type=w773


그래도 Cesar Arteaga 같은 투자자들에게 이런 뻥튀기 상품의 매력은 명백하다. 27살 기계공학 엔지니어인 Arteaga는 이전에도 개미 투자자들 사이에서 유행하는 온갖 투자를 전전했다. 옵션 거래에 손댔다가 1만 5천 달러(약 2천만원) 날린 후, 밈코인 사고팔아서 겨우 복구했다.


"저는 항상 '반짝이는 신상품 증후군'이 있었어요"라고 그는 인정한다.


최근 아내와 Montana로 이사한 후 고수익 ETF로 관심을 돌렸다. 일자리 구하기가 힘들던 차에, SNS에서 고수익 상품의 어마어마한 배당금 지급 소식을 보고 혹했다. 5개월 전 5천 달러(약 650만원)로 시작해서 빠르게 금액을 늘렸고, 저축 대부분을 MSTY를 포함한 몇 개의 YieldMax ETF에 올인했다.


"일종의 중독이 되어버렸다"고 그는 말한다. "이제 50% 이상의 미친 숫자를 내는 고수익 배당 펀드들을 보고 있다. 그것이 일자리가 없을 때 소득을 추가하려는 나를 정말로 끌어들였다."


지금까지 Arteaga는 집과 차 두 대를 판 수익금의 일부와 약 30,000달러의 마진 대출을 투자하여 포트폴리오를 160,000달러로 늘렸다. 그는 이렇게 마련한 돈에서 월 9,000달러의 소득을 창출하기를 희망하지만, 그 수치는 마진 대출 상환이나 직면할 가능성이 있는 세금 청구서를 고려하지 않은 것이다.


YieldMax가 Arteaga 같은 투자자들에게 가장 눈에 띄는 자석이었지만, 여러 ETF 회사들이 이 트렌드에 편승했다. NEOS Investments, ProShares, Defiance ETFs 등의 회사들의 소득 상품들이 지난 2년간 종종 높은 수수료와 함께 도입되었다.


가장 큰 파생상품 기반 인컴 ETF 중 하나는 JPMorgan의 Equity Premium Income 펀드(JEPI)로, 2020년에 출시되어 상대적으로 신중한 접근 방식으로 빠르게 410억 달러로 성장했다. 이 펀드는 S&P 500에 대한 노출을 제공하지만 콜 옵션을 통해 수익률의 80%를 생성한다.


JEPI는 2022년 시장이 거의 20% 하락했을 때 어느 정도 보호를 제공한 후(펀드는 3.5%만 하락) 투자자들로부터 많은 자금을 유치했다. 하지만 출시 이후 벤치마크 지수보다 여전히 약 58% 포인트 저조한 성과를 보였다. 이는 모든 배당금을 재투자한 투자자의 경우에도 마찬가지다.


JEPI를 운영하는 Hamilton Reiner는 펀드의 목표가 수익률을 극대화하는 것이 아니라 인컴을 제공하고 극심한 변동성을 최소화하는 것이라고 말했다.


"커버드 콜 전략에서 과소평가되는 것 중 하나는, 예, 소득을 얻지만 옵션이 일부 전략의 변동성을 완화하고 줄이는 데 도움이 되었다는 것이다"고 Reiner는 말했다. "우리 것이 그중 하나다."


많은 시장 전문가들이 커버드 콜 전략에 대해 우려를 표명하고 있다. 상승 수익률이 제한되고 세금 문제까지 복잡해진다는 것이다. 자산운용사 Alpha Architect의 CEO이자 자칭 '배당 회의론자'인 Wes Gray는 독설을 날렸다. "수익률 상품들이 안전해 보여서 투자자들한테 어필하지만, 실상은 세금 비효율적이고 비싸기만 한 '비밀 레시피'로 포장된 환상이에요."


배당주는 원래부터 세금 폭탄이 따라다녔다. 분기별이든 연간이든 배당금 받을 때마다 과세 대상이 되기 때문이다. 그런데 신종 고수익 상품들은 세금 부담이 더 심하다. 파생상품 기반 배당은 적격 배당금(qualified dividends)의 세제 혜택을 못 받고 일반 소득세율로 과세되기 때문이다.


"이 시장이 계속 커지고 있는데, 우리가 투자자들에게 항상 하는 말이 있어요. 숙제를 하세요"라고 NEOS의 공동창업자 Troy Cates가 강조한다. "뭘 사는지 아는 것도 중요하지만, 세금이 어떻게 되는지 아는 게 정말 중요해요."


이런 미묘한 차이들은 고수익 투자에 미친 소셜 미디어 커뮤니티라는 온실 속에서 제각각 다르게 전달된다. 이 온라인 세계의 대부 격인 43살 Mark VanWagenen은 2018년에 "Retire on Dividends"라는 Facebook 그룹을 만들었고, 현재 회원 수가 거의 3만 명에 달한다. 곧바로 YouTube 채널도 개설해서 자신의 투자 전략을 공유하기 시작했다. 하지만 그의 최고 히트작은 3년 전 만든 YieldMax 전용 subreddit으로, 현재 회원이 7만 명이나 된다.


VanWagenen은 아내의 퇴직계좌를 아예 해지해서 그 돈을 여러 YieldMax ETF와 기타 고수익 상품에 꽂았다고 한다(본인 회사 401(k)는 그대로 뒀다). 여전히 회계사로 일하고 있지만, 투자 수익으로 모기지, 기름값, 인터넷 요금과 Plymouth 미니밴 할부금을 낸다.


최근 영상에서 그는 매주 배당금을 지급하는 30억 달러 규모의 YieldMax Ultra Option Income Strategy ETF(ULTY)를 다뤘다. VanWagenen은 장기 성과가 처참하다는 걸 인정하면서도 엄청난 현금 수입을 강조했다.



"원금이 47% 날아간 건 실망스럽죠"라고 20년간 투자 성과 예상 차트를 보여주며 말했다. "하지만 그래도 보세요, 현금 수입이 얼마나 좋은지. 그들은 할 수 있는 걸 해요. 탄탄한 수입을 만들어내죠."





1-8.png?type=w773


이 차트는 배당금을 재투자하지 않고 현금으로 인출했을 때의 총수익률(원금 가치 변화 + 받은 배당금)을 보여주고 있다. 몇 가지 중요한 시사점이 있다:


핵심 문제점


ULTY의 참담한 성과: 0.7%라는 사실상 제로 수익률. 배당금 다 받고도 1년 반 동안 거의 제자리. 같은 기간 일반 주식시장은 훨씬 더 올랐을 텐데.

배당금 포함해도 평범한 수익: 가장 좋은 QQQ도 33%, SPY도 30% 정도. 이건 배당금까지 다 합친 수치인데, 같은 기간 나스닥이나 S&P 500 지수를 직접 샀으면 더 벌었을 가능성이 높음.

변동성의 함정: 왼쪽 그래프를 보면 ULTY가 엄청나게 출렁거림. 2024년 중반에는 -10%까지 빠졌다가 겨우 회복. 이런 롤러코스터를 타면서 받는 배당금이 과연 가치가 있을까?

1-8.png?type=w773

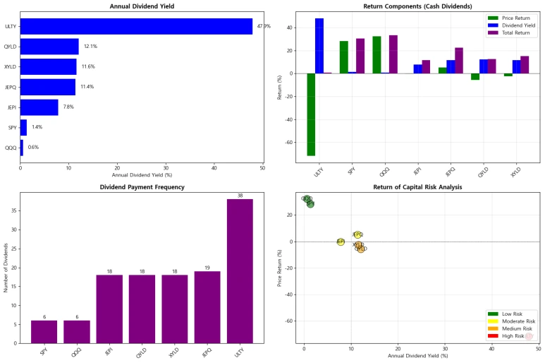
이 네 개의 차트는 고배당 ETF의 불편한 진실을 적나라하게 드러내고 있다.


첫 번째 차트에서 가장 눈에 띄는 것은 ULTY의 47.9%라는 어마어마한 배당률이다. 일반적인 지수 ETF인 SPY가 1.4%, QQQ가 0.6%의 배당률을 보이는 것과 비교하면 이는 비정상적으로 높은 수준이다.


이렇게 높은 배당률이 과연 지속 가능한 것일까요?


두 번째 차트가 그 답을 명확히 보여준다. ULTY의 경우 파란색 막대로 표시된 배당 수익이 50%에 달하지만, 초록색 막대로 나타난 원금 수익률은 무려 마이너스 70%를 기록하고 있습니다. 배당금을 다 받고도 총수익률은 사실상 0%에 가까운 것이죠. 이는 상기 내용에서 "내 돈을 돌려받는 것뿐"이라는 지적이 정확했음을 데이터로 증명한 것이다.


세 번째 차트는 배당 지급 빈도를 보여주는데, ULTY는 연간 38회, 거의 매주 배당을 지급한다. 이렇게 자주 현금이 들어오면 투자자들은 꾸준히 수익을 내고 있다는 착각에 빠지기 쉽다. 하지만 실상은 자신의 원금을 조금씩 쪼개서 돌려받고 있는 것에 불과하다.


마지막 리스크-리턴 분석 차트는 더욱 명확한 메시지를 전달한다. 배당률이 높을수록 원금 손실이 심각하다는 것을 한눈에 보여주는데, ULTY는 완전히 빨간색으로 표시된 고위험 영역에 위치하고 있다. 반면 배당률이 낮은 QQQ나 SPY는 원금 성장을 통해 오히려 더 나은 총수익률을 기록하고 있다.




그런데, YieldMax에 의해 Nasdaq 행사에 초대된 Thomas Bell은 전기 기술자인 아버지가 여정을 즐기지 못한 채 일하고 은퇴를 위해 저축하는 것을 지켜봤다고 말한다.


"대학을 졸업하면 22살이고, 젊고, 외모도 좋고 그 모든 것을 가지고 있지만 돈은 없다"고 그는 말한다. "그래서 어떻게 빨리 돈을 얻을 수 있을까?"


35세인 Bell은 2022년 Wall Street 은행에서 일을 그만뒀다. 그는 재택근무를 허용하고 YouTube 채널 "Live off Dividends & Options NOW!"를 성장시킬 수 있는 더 유연한 회사에서 일자리를 얻었다. 순자산의 약 60%가 레버리지 ETF에 대한 옵션 플레이를 포함한 소득 중심 전략에 있다. 그의 포트폴리오에서 작년에 65,000달러의 배당금을 생성했다고 그는 말한다.


"Dividendology" 창시자 Breece는 대부분의 돈을 배당 시장의 덜 모험적인 영역에 투자했으며, 포트폴리오의 40%를 대형 Schwab 배당 ETF에 투자했다. 그의 더 보수적인 접근 방식은 Breece에게 매월 약 500달러의 지급금을 제공하기에 충분했다.


Breece와 그의 동료들에게 수익률은 단순한 소득이 아니라 권한 부여의 한 형태다. 시간을 되찾고, 통제권을 행사하고, 은퇴가 여전히 멀어 보이더라도 자유를 조금 더 가깝게 느끼게 하는 방법이다.


"목표는 일을 선택 사항으로 만들 수 있는 능력을 갖는 것이었다"고 그는 말한다. "나는 10년, 20년 후에 그런 유연성을 갖고 싶다."


<출처:외신종합,투영인>




keyword
작가의 이전글New York Stock Exchange의 역사!