brunch

히바_낙타가 되어 가리라 4

아메리카 대륙을 예언한 알 비루니

by 남호영


공간을 평면으로 펼치는 고민


지리학의 또 다른 발전은 호레즘이 낳은 학자 알 비루니에 의해서도 이루어졌습니다. 둥근 지구 표면을 평면에 나타내면 거리가 달라질 수밖에 없습니다. 알 비루니는 지도는 평평한데 둥근 지구를 어떻게 펼치면 도시와 도시 사이의 거리를 정확하게 나타낼 수 있을까 하고 고민했습니다. 그 고민은 사실 아직도 끝나지 않았습니다. 지금 우리가 보는 지도도 실제 크기와는 다른 모습을 보여줍니다. 위도가 높을수록 크기가 커지고 적도에 가까울수록 크기가 작아 보입니다. 아이슬란드는 실제보다 훨씬 커 보이고 인도네시아는 훨씬 작아 보이는 식이지요.


이것은 지리학자들만의 고민은 아닙니다. 자전거 여행을 떠나기 전에도 늘 부딪히던 문제였지요. 자전거 여행을 떠나기 전에는 늘 지도를 띄워놓고 자전거로 갈 길을 로드뷰로 미리보기도 하고 거리를 재면서 계획을 세우곤 했어요. 자전거 여행은 다른 탈 것을 이용할 때와는 달리 몸으로 하는 여행이라 하루 달리는 거리를 적절히 끊지 않으면 곤란한 상황이 닥칠 수 있거든요. 적절한 거리에 먹을 곳도 있어야 하고 잘 곳도 있어야 하니까요. 화면에서 거리를 재면서 그 거리가 우리 자전거가 굴러가는 땅을 따라가는, 즉 지구 표면의 굴곡을 따라가는 거리인지 고도를 고려하지 않고 지구를 매끈하게 보고 측정한 거리인지 궁금했던 적이 있었어요. 해발 1,573 미터인 함백산을 갈 때는 더욱 중요했지요. 고도를 고려하지 않은 거리라면 실제 거리가 늘어나서 엄청나게 고생할 테니까요.


알 비루니의 고민도 비슷했습니다. 그는 지도는 평평한데 둥근 지구를 어떻게 펼치면 도시와 도시 사이의 거리를 정확하게 나타낼 수 있을까, 고민했습니다. 그가 생각해낸 방법은 이런 것입니다. 예를 들어, 북극을 기준으로 생각해봅시다. 북극 위에서 지구를 내려다본다면 적도까지 지구의 절반이 보일 것입니다. 경선은 방사형 직선으로 나타냅니다. 북극을 중심으로 동심원을 그렸을 때 같은 동심원 위에 있는 도시들은 북극에서의 직선 거리가 같게 되지요. 동심원 사이의 간격을 조정하면 도시와 도시 사이의 거리가 정확하게 나타나는 지도를 그릴 수 있습니다. 물론 거리를 보존하기 위해서 면적이나 각도 등은 포기해야 하지요.



2000px-Emblem_of_the_United_Nations.svg.png 북극을 중심으로 하여 남위 60도까지 거리를 보존한 지도 문양. 유엔 마크이다



거리를 보존하는 이 방법을 기록한 가장 오래된 책은 알 비루니의 것입니다. 그는 이 방법으로 도시와 도시 사이의 거리를 정확하게 나타내었습니다.


알 비루니, 아메리카 대륙을 예언하다


알 비루니의 또 하나의 놀랄만한 업적은 당시 아시아와 유럽인들에게는 알려지지 않았던 아메리카 대륙의 존재를 이론적으로 밝힌 것입니다. 콜롬버스가 ‘발견’하기 전에도 원주민들은 살고 있었지만, 육로로 연결된 유라시아와는 달리 서로의 존재를 모르고 있었지요. 1037년에 『마수디쿠스』라는 책에 남긴 그의 생각을 현대의 표현으로 바꾸면 다음과 같습니다.


알 비루니는 먼저 지구의 둘레를 구했습니다. 이 과정을 이해하려면 삼각비를 알아야 합니다. 별을 관측하면서 발달한 삼각비. 직각삼각형의 한 각에 대해서 두 변의 길이의 비를 말합니다. 직각삼각형의 크기가 달라져 변의 길이가 변해도 두 변의 길이의 비는 변하지 않습니다. 그래서 삼각비라는 편리한 개념이 생겨났지요. 사인, 코사인, 탄젠트 세 가지를 주로 사용합니다. 어떤 각에 대해서 사인은 빗변의 길이에 대한 그 각과 마주 보는 변의 길이(높이)의 비를 말합니다. 코사인은 빗변의 길이에 대한 그 각과 이웃한 변의 길이(밑변)의 비를 말합니다. 탄젠트는 그 각과 이웃한 변의 길이(밑변)에 대한 마주 보는 변의 길이(높이)의 비를 말합니다. 이렇게 말로 하면 상상이 잘 안 되지요? 중학교 때 배운 삼각비를 이미 안드로메다로 보내버렸을 테니까요. 이럴 때 그림이 힘을 발휘합니다. 눈으로 이해하면 훨씬 간단하니까요.


캡처5.JPG 각 세타에 대한 삼각비 sin, cos, tan


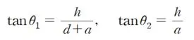
알 비루니가 지구의 둘레를 구한 첫 번째 단계는 산의 높이를 구하는 것입니다. 아래 그림에서와 같이 거리가 d인 두 지점에서 산을 바라보는 각도를 측정하여 그 각도를 세타_1, 세타_2 라고 하면

캡처6.JPG

이고 두 식에서 a를 제거하면 산의 높이 h는 다음과 같습니다.

캡처7.JPG

어려워 보일 수는 있지만, 중학교에서 삼각비를 배우는 단원에서 어김없이 등장하는 문제입니다. 그렇지만 어느 중학교 교과서에서도 알 비루니가 지구 둘레를 구했다는 이야기는 소개하지 않습니다. 고대 그리스의 에라토스테네스가 하지 때 태양의 남중고도를 이용하여 지구 둘레를 구하는 방법은 이 교과서 저 교과서에 등장하지만. 우리는 이슬람 학자의 방법에는 참 무심합니다.

캡처10.JPG 알 비루니가 지구 둘레를 구하는 과정. 첫 번째 단계로 산의 높이를 구하고 두 번째 단계로 산 위에서 지평선을 이용하여 지구 반지름을 구했다.


두 번째 단계로는 산 위에 올라 지평선의 각도를 측정합니다. 위의 그림에서 알파입니다. 이 각 알파는 지구의 중심에서 산과 지평선 끝이 이루는 각 AOC와 같습니다. 산의 높이를 h, 지구의 반지름을 r 이라고 하면

캡처 8.JPG

입니다. 이 식을 정리하면 아래와 같이 지구 반지름 r을 식으로 만들어낼 수 있습니다.

캡처9.JPG

이제 첫 번째 단계에서 구한 산 높이와 두 번째 단계에서의 지평선의 각도를 알면 지구 반지름을 구할 수 있습니다. 알 비루니는 당시 가즈니 왕조가 인도를 정복하러 가는 거점이었던, 파키스탄 북부의 난다나에서 이 작업을 수행했습니다. 알 비루니는 가즈니 왕조의 후원을 받으며 연구하였고 인도 원정에도 동행하였지요. 그가 구한 지구 반지름은 이슬람 거리 단위를 미터법으로 환산하는 데 약간 이견이 있지만 약 6,340km로 봅니다. 지금 우리가 알고 있는 지구 반지름과 거의 차이 나지 않는 매우 정확한 값이지요.


Claudius_Ptolemy-_The_World.jpg
birunimap.png
아프리카가 매우 넓고 바다는 훨씬 좁은 프톨레마이오스의 지도(왼쪽). 알 비루니의 『점성술의 요소』에서 바다가 매우 넓음을 설명한 지도(오른쪽).


이렇게 지구의 반지름을 구한 알 비루니는 이로부터 지구 둘레의 길이를 계산했습니다. 계산을 하고 보니, 아프리카 서북단에서부터 중국까지의 거리가 지구 둘레의 2/5에 불과하다는 것을 깨달았습니다. 나머지 지구의 3/5은 바다로만 채워지기에는 너무 넓었습니다. 알 비루니는 아주 오래전에 유라시아를 바다보다 높게 솟아오르게 한 지질학적인 과정이 이곳에도 벌어졌으리라 추론했습니다. 또 다른 대륙이 존재해야 한다는 결론에 이르게 된 것이지요. 또한 이 알려지지 않은 육지의 일부는 인간이 거주할 수 있는 위도 내에 있어 사람들이 살고 있으리라 추론했습니다. 아직 아메리카와 오스트레일리아의 존재를 모르던 시절의 논리적인 통찰입니다. 어떻게 이런 생각을 할 수 있었는지, 그의 책을 직접 읽을 수 없는 것이 안타까울 뿐입니다.




keyword