brunch

세상을 이루고 있는 것(3)

생명의 생성

by 부대끼는 삶

빅뱅으로 만들어진 우주는 참으로 삭막합니다. 어떤 연유인지 확실히 모르지만, 어쨌든 세상이 만들어졌습니다. 또 만들어진 다음에는 가만히 있지 않고, 굳이 변화를 지속하고 있습니다. 그 변화도 화려하지 않고 아주 단순합니다. 세상이 만들어졌지만, 만들어진 것이 처음부터 잘못된 것인 양, 원래의 상태로 되돌리려는 것처럼 변화가 일어나고 있습니다.


세상을 만드는 과정이 큰 폭발 같은 것이었으므로, 만든 것은 모두 흩어졌습니다. 폭발 과정에서 흩어진 것은 운동성을 가진 에너지였습니다. 이 에너지에서 힘의 근원인 질량, 색전하, 전하 등이 만들어집니다. 그리고 힘의 근원에 따라 위치에너지(퍼텐셜에너지)가 생겼습니다. 초기의 급팽창(인플레이션) 이후에 일어난 첫 번째 변화는, 이렇게 생긴 모든 퍼텐셜에너지를 없애는 과정입니다. 이것이 우주변화의 제1 원리입니다. 퍼텐셜에너지를 없애는 방법도 너무나 단순하여, 흩어진 것을 다시 하나로 뭉치기만 하면 됩니다. 여기에는 자연의 4가지 기본 힘이 인력으로 작용합니다. 쿼크가 결합하여 중성자와 양성자를 만들거나, 전자와 원자핵이 결합하여 원자를 만들거나, 별이 만들어지거나, 사과가 땅에 떨어지는 것은 모두 같은 원리입니다. 이 과정에서 위치에너지가 운동에너지로 바뀝니다. 이렇게 뭉쳐진 것도 빅뱅이 일어난 원래의 상태와 다른지, 그대로 두지 않고 다시 흩어버립니다. 그런데 이번에 흩어버리는 방식은 빅뱅의 폭발과는 다릅니다. 복사나 전도, 대류의 형태로 운동에너지를 공간에 골고루 퍼지게 하는 것입니다. 공간의 에너지 밀도가 균질(homogeneity)하게 되도록 만드는 것입니다. 엔트로피가 증가하도록 하는 것이지요. 이것이 열역학 제2 법칙이자 우주변화의 제2 원리입니다. 엔트로피에 대해서는 자연법칙을 다룰 때 자세히 살펴보도록 하겠습니다.


138억 년 전에 빅뱅이 일어나고, 자연은 2가지 변화의 원리에 따라 운명처럼 변화를 수행하고 있습니다. 이 변화 과정에서 은하(galaxy)와 블랙홀이 만들어지는 과정이 반복되고 있습니다. 반복 과정에는 아무런 멋도 재미도 없습니다. 이렇게 반복되는 수렴과 발산 과정의 끝이 어떻게 될는지 확실히 알지 못하지만, 원래 상태로 되돌아가려고 하는 것이 아닌지 추정이 가능합니다. 그러면 목적지가 정해져 있는 것 같지만, 사실은 어디가 목적지인지 알지도 못하면서, 열심히 변화해 가고 있습니다. 끝을 알지 못하는 것이지요. ‘불완전성 정리’에 따르면, 과학의 논리체계 밖의 일은 과학으로 밝히지 못하는데, 빅뱅이 일어난 원래의 상태는 논리체계 밖의 상태이기 때문에 과학으로는 그 상태를 알지 못합니다. 또 나아가는 목적지도 체계 밖의 상태이기 때문에, 목적지가 어디이고 어떤 상태인지 역시 알지 못합니다. 손오공이 부처님 손바닥 끝을 모르는 것과 같습니다. 그뿐만 아니라 변화의 과정에 자연이 의도하지 않았던 새로운 변화가 생기기도 합니다.


파생된 변화의 원리(1) - 파생힘의 작용


의도되지 않았던 변화는 2가지 사항에서 연유합니다. 하나는 자연의 기본 힘에 척력이 작용한다는 것입니다. 척력은 애초에 자연이 의도한 힘이 아니었던 것으로 추정이 되는데, 빅뱅 과정에서 어쩌다 생긴 것으로 생각합니다. 어쨌든 척력이 작용함으로써 변화는 새로운 과정으로 전개됩니다. 척력이 변화에 미치는 영향은 합치는 작용을 방해하고 평형을 이루게 한다는 것입니다. 떨어져 있는 것을 합쳐서 하나를 만들면 전체가 되어야 합니다. 전체는 하나이지요. 공간적으로 연속이어야 합니다. 그런데 뭉치는 인력에 저항하는 척력이 있고, 두 힘이 평형을 이루면 뭉치는 과정이 완결되지 못하고 빈 공간을 남기게 됩니다. 연속체가 되지 못하는 것이지요. 이런 평형상태는 원자나 별의 상태가 대표적인 형태입니다. 원자는 전기력 인력과 척력이 평형을 이루어서 핵과 전자가 합쳐지지 못하고 빈 공간을 남깁니다. 별도 어지간한 질량이 아니면 연속체를 이루지 못합니다. 중성자별도 축퇴압이 걸리므로 연속체가 되지 못하고, 블랙홀의 중심에서만 에너지의 연속체를 이룰 것으로 추정합니다.


결합체가 비록 뭉치는 과정을 끝내지 않았어도, 다른 말로 연속체를 만들지 못했어도 평형상태를 이루고 있습니다. 평형상태는 에너지가 안정된 상태로, 주어진 에너지 환경에서 결합이 끝난 상태로 간주할 수도 있습니다. 그러므로 외부에서 안정을 깨는 작용이 일어나면, 저항하는 방향으로 변화를 만듭니다. 저항하기 위해 만드는 변화나 작용에는 힘이 필요하므로 반대 방향으로 힘을 작용하여야 합니다. 이것이 파생힘이 생성되는 변화의 원리입니다.


파생된 변화의 원리(2) - 부분과 전체의 관계


일반적으로 평형을 이루어 안정된 여러 개체를 합치면, 전체가 되었다고 합니다. 그러므로 어떤 대상이든 그것을 전체로 간주하고 분해하는 작업을 끊임없이 진행하면, 근본을 이루는 부분을 얻을 수 있다고 생각합니다. 이러한 환원주의는 전통적으로 과학이 선호하는 연구 방법입니다. 유럽입자물리연구소(CERN)에서 진행하는 대형중입자충돌기(LHC: Large Hadron Collider) 실험이 대표적인 환원주의 연구라고 하겠습니다. 소립자를 고에너지 상태에서 충돌시켜 깨뜨리고, 튀어나온 것에서 더 근본적인 것을 찾는 실험입니다. 실제로 LHC는 ‘신의 입자’라고 불리던 힉스입자를 발견하는 쾌거를 이루어 표준모형을 완성하였습니다.


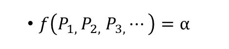
그런데 환원주의 연구는 결정적인 약점이 있습니다. 분해하고 쪼개는 작업을 한 목적은 분해하는 대상을 파악하기 위한 것인데, 분해하는 작업으로는 결코 목적을 이룰 수 없다는 것입니다. 분해 작업으로는 전체의 본질을 결코 얻을 수 없는 것은, 불완전성 정리가 논리적으로 증명합니다. 왜냐하면 부분을 합치면 새로운 성질을 만들어내고, 이 성질은 전체에 관한 것으로, 부분으로는 결코 표현할 수 없기 때문입니다. 이 관계를 수식으로 표현하면 다음과 같이 됩니다.

부분전체2.jpg

이 수식은 부분을 합치면 전체를 이루면서 새로운 것 α를 추가한다는 의미를 표현합니다. 이 수식이 우주 변화의 원리에서 파생되는 2번째 하위 원리입니다. ‘부분의 합은 전체를 구성하면서 새로운 것을 추가한다.’는 것입니다. 여기서 α가 실체가 있는 어떤 것이라는 오해를 가져올 수 있으므로, α가 실체가 없는 기능이나 성질이라는 것을 드러내기 위해서는 함수식으로 수정할 수 있습니다.

부분전체함수2.jpg


생명의 생성 - 세균역


우주는 질서가 잡힌 이후에, 우주 변화의 원리에 따라 에너지가 안정화되고 균질하게 되는 방향으로 끊임없이 변화하고 있습니다. 그런데 변화 과정에서 아주 좁은 범위(locality)에서 상대적으로 더 높은 에너지 환경이 조성될 수 있습니다. 빛이 들어온다거나, 물질의 분해로 인해 발생한 열이 축적되는 것입니다. 이러한 높은 에너지 환경에서는 새로운 안정 상태를 만드는 변화가 일어나야 합니다. 화학반응에서 흡열반응이 일어나는 것이지요. 새로운 안정된 상태는 변화의 원리에 따라 새로운 결합을 하는 방법으로 진행됩니다. 물론 새롭게 결합한 물질은 변화가 일어나 전의 상태보다 더 높은 에너지 상태에서 평형을 유지합니다. 결합과정에서 에너지가 추가된 것이지요. 초신성폭발에서 조성된 높은 에너지 환경에서 양성자와 전자가 하나가 되어 중성자가 되고, 중성자와 양성자가 합쳐져서 철보다 무거운 원소가 만들어지는 과정과 같다고 하겠습니다. 1953년 미국의 과학자 밀러(S. Miller)는 물과 원시대기가 나름대로 평형을 이루고 있는 상태에서 높은 전압으로 전기방전(인공 번개)을 일으켜 높은 에너지 환경을 조성합니다. 이 환경에서 물질이 결합하여 아미노산 등을 얻는 실험을 성공한 것도 한 가지 중요한 사례가 됩니다. (그림 참조)

밀러실험_Miller-Urey_experiment-es.svg.png

자연에서 이러한 새로운 에너지 환경에서 만들어진 새로운 물질 중에서 펩티도글리칸(peptidoglycan)이 있습니다. 펩티도글리칸은 이름에서 알 수 있듯이 탄수화물(글리칸)에 아미노산(peptide)이 결합한 당단백질의 일종(아미노당)으로 폐곡면 막을 구성하여 주위와 분리된 공간을 만들 수 있습니다. 막 안의 공간은 주위와 분리된 독립된 에너지 환경으로, 어떤 연유에서든 외부에서 에너지가 들어오면 물질의 결합을 통해 에너지를 안정화하는 변화가 일어납니다. 이렇게 결합된 물질은 특정한 상태에 놓이면, 결합한 물질을 분해함으로써 결합할 때 축적한 에너지를 내어놓고 원래의 상태로 되돌아갑니다. 이처럼 결합을 통해 에너지를 축적하고, 다시 분해를 통해 에너지를 내어놓은 과정을 반복할 수 있습니다. 에너지 대사작용이 일어나는 것입니다. 대사 작용에 관여한 물질은 여러 가지가 있었을 것으로 추정하지만, 탄소(carbon)를 제외한 나머지 물질은 지속되지 못하였습니다. 그 당시 에너지 환경에서 탄소의 구조가 결합에 적합하였다고 추정할 수 있습니다. 또 반복적으로 사용되는 물질을 매번 같은 과정으로 대사하는 과정에서 설계도 같은 것이 만들어집니다. 단백질을 합성하는 계(RNA)가 만들어진 것입니다. 또 단백질 합성계가 발전하여 전체를 복제하는 계도 만들어집니다. 자기복제계(DNA)가 만들어진 것입니다. 이처럼 경계를 가진 공간 안에서 에너지 대사가 가능하고, 단백질합성계와 자기복제계를 갖춘 존재가 새롭게 만들어졌습니다. 이렇게 만들어진 존재를 생명(life)이라고 구분합니다. 이처럼 펩티도글리칸을 경계물질로 하여, 생명 기능을 수행하는 존재를 세균역(Domain Bacteria)라고 묶어서 분류하고, 개체를 세균(Bacteria)이라고 하고, 개체를 구성하는 공간을 세포(cell)라고 구분합니다. 또 경계를 이루는 막을 세포벽이라고 구분합니다. 그러므로 세포가 생명의 기본 단위가 됩니다. 세포 하나가 생명기능을 수행하므로 단세포 생명체가 되겠습니다. 지구가 만들어진 것은 45억 7천만 년 정도 되는데, 복제 가능한 단세포 세균이 만들어진 것은 약 36억 년 전이므로, 지구 변화 과정에서 생명이 탄생하는 데 10억 년 정도가 걸렸다고 하겠습니다. 그만큼 생명이 생성되는 과정이 어려웠고, 진실로 기적에 가까웠다고 하겠습니다. 생명의 생성에서 가장 어려웠던 과정은 자기복제계를 만드는 것이었을 것으로 추정합니다. 자기복제계가 완성되기 전에는 세포 하나를 새로 만들기 위해서는 처음부터 모든 과정을 새로 시작하여야 하였을 것입니다. 그만큼 새로운 생명 하나를 만드는 데 긴 시간이 걸렸을 것입니다. 하지만 자기복제계를 만든 다음에는 그런 과정을 생략할 수 있었고, 바로 재생산(reproduction)이 가능하게 되었습니다. 생명이 계속 존속할 수 있게 된 것입니다. 물질의 합성을 통해 생명이 생성되는 관계를 함수식으로 표현하면 다음과 같습니다.

생명의 생성식2.jpg

생명의 생성 -고균역


세균의 세포벽을 생성한 에너지환경은 오늘날의 관점에서 볼 때, 일반적으로 생물이 살아갈 수 있는 서식지입니다. 그런데 지구에는 아주 극한적인 환경이 있는데, 이런 극한적인 환경에서도 생명이 생성되었습니다. 예를 들어 염도가 아주 높은 물속이나, 온도가 아주 높은 물속은 극한의 서식환경이라고 하겠습니다. 이런 곳에서 생명이 생성되기 위해서는 세포벽이 세포를 보호할 수 있는 물질이어야 하므로, 세균의 세포벽과는 다른 물질이 필요합니다. 생명은 오랜 시간 동안 많은 변화와 시도를 거친 후에 새로운 물질을 합성합니다. 이 물질이 펩티도글리칸과 비슷하면서도 다른 물질이므로 가짜를 나타내는 접두사 슈도(pseudo-)를 붙여서 슈도펩티도글리칸(pseudopeptidoglycan)이라고 구분합니다. 슈도펩티도글리칸이 고온이나 고염 같은 극한 조건으로부터 내부를 보호하므로, 내부에는 세균과 같은 물질과 에너지 대사계, 단백질합성계, 자기복제계가 만들어져서, 새로운 형태의 생명체가 생성되었습니다. 세포벽의 물질이 슈도펩티도글리칸인 생명체를 고균역 또는 고세균역(Domain Archaebacteria)이라고 묶어서 구분하고, 개체는 고균 또는 고세균이라고 합니다. 고세균역에 속한 생명체도 하나의 세포로 되어 있으므로 단세포 생명체입니다. 대표적인 고세균은 높은 염도에서 사는 극호염성균, 높은 온도에서 사는 호열균, 아주 높은 온도에서 사는 초고온성세균, 그리고 메테인(CH4)를 만드는 메테인생성균 등이 있습니다.

처음 고세균이 발견되었을 때, 극한 환경을 고려하여 세균보다 먼저 생성된 생명체로 여겨 고세균이라고 하였으나, 분자생물학의 발달과 유전자 분석을 통해 고세균이 세균보다 훨씬 발달한 생명체인 것이 밝혀졌습니다.

미생물


세균역과 고세균역에 속하는 생물들의 크기는 모두 맨눈으로는 구별할 수 없는 아주 작은 크기입니다. 세포의 직경이 대략 0.1mm(100μm) 보다 작습니다. 이런 크기의 생물을 특별히 미생물(microorganism)로 구분합니다. 그러므로 17세기에 현미경이 발명되기 전에는 미생물의 존재를 알지 못했습니다. 세균과 고균은 아무리 작아도 여과지로 거를 수 있는 크기(0.2μm)보다는 큽니다.


바이러스: 막을 이루는 물질이 단백질이면서, 막 안에 독립된 RNA나 DNA를 가지고 있는 것이 있습니다. 이런 존재는 막 안에 핵산(RNA나 DNA) 외에는 아무것도 없으므로 생명으로 분류하지는 않고, 바이러스(virus)라고 다르게 구분합니다. 바이러스는 다른 생명체에 기생하여 병을 일으킬 수 있습니다. 독감이나 코로나, 간염, 일본뇌염 등이 모두 바이러스에 의한 병입니다. 바이러스병은 딱히 치료제가 없고, 백신으로 예방하는 것이 좋습니다. 바이러스는 여과지를 통과할 정도로 작습니다.


병원균: 미생물 중에서 생명체에 병을 일으키는 세균을 병원균 또는 병원성 세균이라고 합니다. 고세균은 일반적으로 병을 일으키지 않는다고 알려져 있습니다. 인류 역사에서 큰 해를 끼친 병원균은 결핵균, 페스트균, 콜레라균 등이 있습니다. 세균에 의한 감염병은 항생제로 치료가 가능합니다. 푸른곰팡이에서 추출한 페니실린이 최초의 항생제로 사용되었습니다.


유익균: 병원균과 달리 생명체에 도움이 되는 균이 있는데, 이들은 유익균으로 구분합니다. 대표적인 유익균으로 장에 서식하는 유산균과 대장균 등이 있습니다.


분해자: 세균이 가지는 기능에서 가장 중요한 기능은 유기물을 분해하는 기능입니다. 세균은 유기물을 분해하여 유기물을 구성하는 무기원소로 만들어 자연에 되돌리는 작용을 합니다. 가장 중요한 원소인 탄소의 순환이 이루어지는 것입니다. 분해자로 인해 순환하는 생태계가 가능한 것이지요.


생명체의 진화


생명체의 진화에 대한 내용은 다음 글로 작성하도록 하겠습니다.

keyword
금요일 연재
이전 13화세상을 이루고 있는 것(2)