brunch

낙서의 특징

6장. 메타 명리의 하늘 체계 : 천본(天本·선천 십간)

by 은한

‘분화×진화’의 근본원리를 논하는 하도와 달리 낙서는 절대계가 경영하는 현상계의 보편법칙을 표현하기에 방위 개념이 실질적입니다. 진화의 이원성을 중심으로 보여주는 하도의 원본에는 사간방 없이 사정방에만 음양이 섞여 위치하지만, 분화의 이원성을 중심으로 보여주는 낙서의 원본에는 그보다 엄밀하게 사정방에 홀수의 양간이, 사간방에 짝수의 음간이 정확하게 배정됩니다.


브런치 표17.png


낙서의 수리는 서양에서는 마방진(magic sqare) 배열로 불립니다. 가로 세로가 3×3으로 이뤄진 사각형의 아홉 칸에 있는 수를 가로·세로·대각으로 각각 합하면 모두(총 여덟 경우:가로3·세로3·대각2) 15로 같은 값이 나오죠. 수리만으로도 신기하지만, 여기에 하도 수리에 내재한 음양오행의 원리에 따라 상생·상극하는 역리易理를 적용하면 앞서 4장 「사상·오행」에서 설명한 ‘낙서상극도’와 같이 우주 변화의 원리에 대한 힌트를 제공한다는 사실을 알 수 있습니다.


낙서의 원리는 절대계 황극(5土·중심)의 경영으로 굴러가는 현상계(四象·사방)의 보편법칙(생성·결실)을 나타냅니다. 절대계와 현상계의 차원이 다르기에 본래 현상계 내에서의 법칙인 상생·상극이 적용되지 않지만, 현상계에서 절대계의 정보를 캐보기 위한 일종의 방편으로 상생·상극 법칙의 적용을 시도해볼 수 있습니다.

%EB%82%99%EC%84%9C-%EC%83%81%EC%83%9D%EC%83%81%EA%B7%B9.jpg?type=w1
%EC%83%81%EC%83%9D%EC%83%81%EA%B7%B9%EC%82%BC%EA%B0%81%ED%98%95.jpg?type=w1

음양 분화의 이원성으로 인해 차이와 마찰로 변화가 이뤄지고 인식되는 현상계는 상생(시공간)의 바탕에서 상극(의식·물질)을 동력으로 변화가 진행됩니다. 낙서상극도의 오행에서 상극만 이웃한 게 아니라 상생(水生木·火生土·土生金)도 함께 이웃하는 것처럼, 현상계의 요체가 되는 창조의 삼각형(△水土木)과 결실의 삼각형(△火土金)뿐 아니라 물질의 삼각형(△木土金)과 기운의 삼각형(△火土水)도 상생·상극이 한 몸처럼 함께 굴러갑니다.


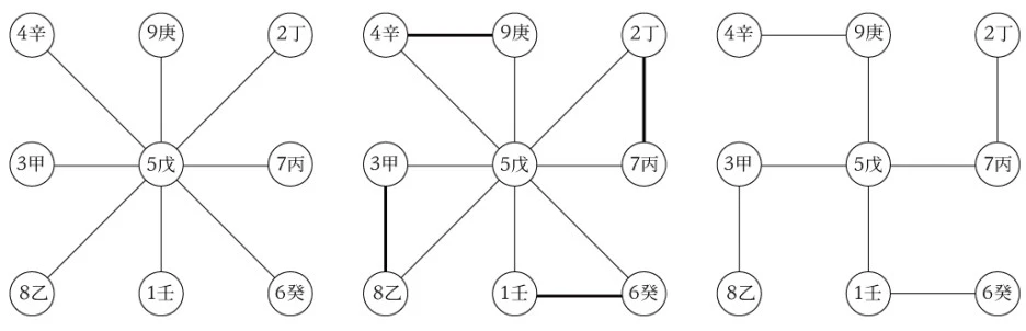
낙서 수리에서 가로·세로·대각의 모든 합에 포함되는 중앙의 5를 제외하면 10이 됩니다. 낙서에서 제외된 10己土(무극)가 완전히 사라진 게 아니라 전체적인 관계 안에 간접적으로 내재하는 규칙성을 ‘여백의 미美’로 보여주죠. 이 규칙성을 활용해서 낙서의 수리를 기하학적으로 탐구해볼 수 있습니다.


%EB%82%99%EC%84%9C%EB%B3%80%ED%98%95.jpg?type=w1


①낙서의 중심 5戊土를 기준으로 서로 합해서 10을 이루는 여덟 방위를 연결해볼 수 있습니다. ②그 상태에서 같은 오행끼리 연결하면 변화 운동을 상징하는 바람개비 모양이 나옵니다. 역행으로 회전하는 바람개비 모습을 인간의 관점에서는 ‘절대계가 현상계를 굴리기 위해 꽤 공을 들이고 있구나’라고 감정 이입할 수 있지만, 바람개비 입장에서는 역행이든 순행이든 그냥 결에 맞게 돌아갈 뿐입니다. ③여기서 두 대각선을 생략하면 태양을 상징하는 만자 문양이 나옵니다. 현상계의 생성·결실 작용을 나타내는 낙서도 태양의 의미가 잘 부합하죠.


브런치 표18.png


태양으로 낙서를 비유하면, 중앙의 5戊土(황극)는 ‘태양의 본체’로 볼 수 있습니다. 사정방(四正方)으로 뻗은 홀수(양수·천수)는 태양의 1차 작용인 ‘빛’으로 볼 수 있습니다. 사간방(四間方)으로 꺾인 짝수(음수·지수)는 태양의 2차 작용인 ‘열’로 생각해볼 수 있습니다. 태양이라는 변화의 중심으로 시작해 하늘에 뿜어져 나오는 햇빛으로부터 생명의 토대가 형성되고(天數), 태양의 열에너지가 땅에 닿아 만물이 생성하고 결실을 만들어내는 이치라고 볼 수 있죠(地數). 황극 작용 중 천황·지황이 빛과 열로 무조건으로 조건을 형성해준다면, 인황은 의식적으로 그 조건을 활용해 결실을 다채롭고 풍성하게 일궈내야 합니다.




keyword
매거진의 이전글하도 선천 십간과 성리