직장 동료 배, 수능 수학 1번 풀기대회

2023년 수능 수학 1번을 풀고, 자기 계발 의욕을 얻었다

by Sayer

지난 11월 17일, 2023년 대학 수학능력 시험 평가가 있는 날이었다.

지난해에는 9시 출근자에 한하여 10시까지 출근하세요, 라는 스케줄 조정이 있었는데 올해는 그런 말이 없었다. 게다가, 수능 당일 교문 앞을 상상했을 때 들려야 할 것 같은 왁자지껄한 응원소리도 들리지 않았다. 매년 수능 시험날은 그즈음의 날씨 중 가장 추운 날이었던 것 같은데, 이번 수능날은 그렇게 춥지도 않다고 느꼈다.


유난히 추운 날도 아니고, 시끄러운 날도 아닌 평평한 날이었다.

누군가에게는 그동안 공부한 것을 한 번에 발휘해야 하는 긴장되는 날이었을 것이다. 그러나, 나에게는 직장에서의 단조로운 하루였다.


그런데, 업무를 마감할 즈음에 동료 한 명 덕에 '아 오늘 수능이지'라고 다시금 자각했다.

그 동료는 호기심 어린 싱글벙글한 눈매로 내게 다가왔다. 그리고 자신이 오기 전까지 내가 하던 업무를 마치기를 기다려줬다. 업무를 마친 후 눈을 마주하니, 이면지 한 장을 내게 내밀었다. 짧은 수식이 하나 적혀 있었다. 그 종이를 내밀며 이렇게 말했다.

이게 이번 수능 수리 1번 문제래요.
한 번 풀어보세요.
2023년 대수능 수학 1번 문제

수능 수학 1번이면, 공부를 성실하게 한 학생은 눈대중으로도 풀 수 있게 나오는 게 무언의 규칙 아니었던가?

처음 문제를 마주한 내 머릿속은 백지상태였다.

나중에 들어보니 문제를 보면서 내가 계속 중얼거렸다고 한다.

어... 저 이거 못할 거 같은데요? 이거 로그인가? 로그 아닌가? 아닌데, 로그 아닌 거 같은데?

대학 졸업하고 오랜만에 손에 쥐어본 수학 문제에 당황스러웠다.

이거 분명 간단한 문제일 텐데, 체감상 시간이 너무 오래 걸리는 것 같아 쑥스러웠다. 그래서 안 풀고 이면지를 돌려주려고 하는 내게 다시 이면지와 펜을 쥐게 하며, 옆에서 아니야 할 수 있어, 풀 수 있을 거 같아요 풀어봐요 하며 동료가 응원해줬다. 그 동료 덕에 짧은 시간 안에 해결법을 찾아내 풀었다.


그런데, 동료가 신기해했다. 본인과 답은 같게 나왔는데 풀이 방법이 다르다고 했다. 같은 문제로 다른 풀이 식, 그러나 같은 답안을 낸 점이 흥미롭고 재밌었다.

동료는 지수를 각 수에 곱해 소거하는 방법, 나는 지수 법칙과 (a-b)(a+b) 공식을 활용해 풀었다.
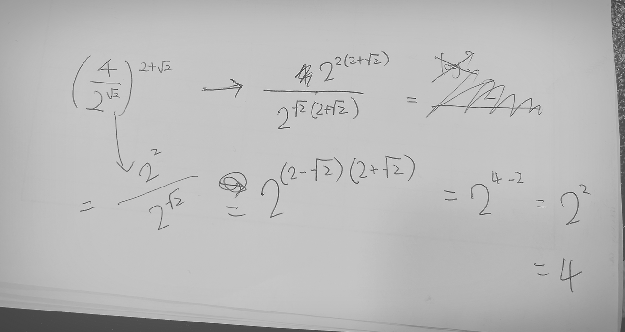
2023년 수능 수학 1번 문제, 내 풀이

비록 아무 상품도 걸려있지 않은 동료 배 수능 수학 문제풀이 대회였지만, 즐거웠다. 무엇보다도 나는 이 경험으로 인해 자신감을 얻었다.


수능 수학 문제를 풀며 무엇이든 공부해서 쌓으면 더 나은 내가 될 수 있고, 더 좋은 기회를 얻을 수 있을 것 같다는 생각을 했다. 뭐든 공부를 해보겠다는 마음이 든 것이다. 다른 직업이나 직장을 갖고 싶다는 생각을 하는 것은 아니다. 어느 것을 공부하든, 이 직장에서 좋은 경험과 경력을 쌓을 수 있는 기회를 잡을 수도 있을 것이다. 그런데 그것을 떠나서 공부를 해서 자기 계발을 하는 것에 대해 의욕이 생겼다는 것이다.

어학, 프로그래밍적 통계, 수리적 통계, 문서 작성에 도움이 되는 툴 등 현재 업무와 연관이 있거나 없을 수 있다. 하지만, 조금씩 공부해두면 어떤 식으로든 내게 큰 힘이 될 것이라는 생각을 한다. 그리고, 조금씩 공부하더라도 곧잘 활용할 수 있을 것이라는 자신감이 생겼다.

2023년 대수능 수학 1번 덕분에 말이다.


keyword