brunch
매거진 우공이산

기업가정신이 경제성장에 미치는 영향

Carree & Thurik (조영필 역)

by 조영필 Zho YP

M.A. Carree and A.R. Thurik (2002), The Impact of Entrepreneurship on Economic Growth.



요약

이 장에서는 거시 경제 성장을 위한 기업가정신의 결과를 다룬다. 그것은 7개의 섹션으로 구성되어 있다. 그것들은 1. 서론, 2. 경제 발전이 기업가정신에 미치는 영향, 3. 기업가정신의 유형과 경제 성장과의 관계, 4. 기업가정신과 고용 사이의 선택의 영향, 5. 외생 성장 모델에서 기업가정신, 6. 경험적 증거, 7. 미래 분석 및 정책 이슈 이다.




1. 서론


지난 20년 동안 기업가정신의 결정 요인을 분석하는 수많은 연구가 있었다. 이러한 연구 중 일부는 이론적인 것이지만(예: Holmes and Schmitz, 1990), 다른 연구들은 경험적인 것이다(예: Evans and Leighton, 1990). 경제 성과 측면에서 기업가정신의 결과는 광범위한 문헌을 만들어 냈다. 그러나 이 문헌은 일반적으로 두 단위의 관찰로 제한되어왔는데 그것은 설립자나 기업의 단위와 지역의 관측 단위이다. 분명히 부족한 것은 국가의 관찰 단위에 대한 기업가정신이 성과에 미치는 영향을 연관시킨 연구이다. 거대한 문헌이 기업이나 설립 수준에서 기업가정신이 경제적 성과에 미치는 영향을 분석하면서 출현했다. 이러한 연구는 일반적으로 기업의 성장과 생존의 측면에서 경제적 성과를 측정한다 (Audretsch, 1995; Caves, 1998; Sutton, 1997). 이 문헌에서 나타나는 매력적인 스타일의 사실은 기업의 규모와 연령의 관점에서 측정된 기업가적 활동이 성장과 긍정적으로 연관되어 있다는 것이다.1) 신생 기업과 (매우) 작은 기업들은 크고 확립된 기존기업들보다 체계적으로 더 크게 성장한다. 이러한 발견들은 현대 서구 경제와 시대에 걸쳐 지속된다. 기업가정신과 성과 사이의 연계는 기업의 관찰 단위를 넘어서 지리적 지역을 포함하도록 확장되었다. 소수의 문헌이 지역의 기업가적 활동 척도를 해당 지역의 경제 성과와 연계하고 있다 (Audretsch and Fritsch, 2002; Acs and Armington, 2002).


그러나 기업가정신과 국가적 수준의 성장을 연계시키는 문제는 GEM(Global Entrepreneurship Monitor) 연구 프로그램의 최근 노력에도 불구하고 상대적으로 공허하다(Reynolds et al., 2001). 이 장의 목적은 기업가적 활동과 거시 경제 성장 사이의 연계성에 대해 알려진 것을 조사하는 것이다. 기업가정신과 경제 성장을 연결하는 수많은 연구에도 불구하고 상대적 공백은 기업가정신과 성장을 연결하는 이론적 프레임워크의 부족과 국가 간 맥락에서 기업가정신 측정의 심각한 제약에 따르는 것일 수 있다. 또한 기업가적 활동에 영향을 미치는 경제 발전의 반대 인과 관계가 있다. 이 장에서는 관련 문헌에 대한 간략한 5가지 개요를 제공하고 몇 가지 새로운 자료로 이를 보완한다.


경제 성장에 대한 설명은 일반적으로 거시 경제학의 영역으로 제한되어 왔다(Romer, 1990; Krugman, 1991). 그러나 성장과 산업 조직을 연결하는 다른 학문적 전통은 적어도 Schumpeter (1934)로 거슬러 올라간다. 이 전통에 따르면, 경제 성장 측면에서 측정되는 성과는 산업 구조가 희소한 자원을 가장 효율적으로 활용하는 정도에 의해 형성된다. 이 (가장 효율적인) 산업 구조는 기저의 결정 인자가 안정적인 경우에 변하지 않는다. 그러나 Chandler (1990), Scherer and Ross (1990) 그리고 Dosi (1988)가 강조하듯이 근본적인 결정인자의 변화는 성장에 가장 도움이 되는 산업 구조의 변화로 귀결될 것으로 기대된다. Chandler(1990)와 Scherer & Ross(1990)는 다른 요인들과 함께 기저 기술의 변화로 인해 지난 세기의 첫 3분의 2기간에 걸쳐 증가된 중심화와 집중화를 향한 산업 구조의 변화를 분명히 식별했다.


보다 최근에, 일련의 연구들은 이러한 경향을 역전시킨 산업 구조의 기저에 있는 결정인자들의 변화를 확인했다. 이러한 변화의 가장 두드러진 점은 기술 변화, 세계화, 규제 완화, 노동 공급의 변화, 수요의 다양성, 그리고 그 결과로 생긴 불확실성이 보다 거대한 집중화와 중심화에서 덜 집중화와 탈중심화로 산업구조를 변화하도록 한다는 것이다. 일련의 경험적 연구들은 기저의 결정 인자들의 변화에 대한 산업 구조의 반응에 관한 두가지 체계적인 발견을 밝혀 냈다. 첫째는 산업 구조가 일반적으로 중소기업의 역할 증대 쪽으로 이동하고 있다는 것이다. 두번째는 이러한 변화의 범위와 시기가 국가 간 동일하지 않다는 것이다. 분명히, 특정 국가의 제도와 정책은 다른 기저 요소들과 함께 다른 나라들의 경우보다 덜 중심화되고 더 분산된 산업 구조로 전환함으로써 기술 변화와 세계화에 대한 더 크고 더 빠른 대응을 촉진했다. 기업가정신의 더 큰 역할로 전환한 국가들이 더 강한 성장을 누리고 있는지 여부가 정책 입안자들에게 크게 중요하다.


기업가정신은 '국가 이익의 심장에' 있다 (Porter, 1990, p. 125). 경제 성장을 촉진하는 기업가정신의 역할에 대해서는 많은 연관성이 논의되었다. 그것은 혁신을 수행하고 경쟁력을 강화하는 데 있어 두드러지게 중요하다. 이는 우리의 관심을 1980년대와 1990년대의 두가지 관련된 현상인 중소 기업의 재기와 기업가정신의 부활로 돌린다. 경제 활동이 1970년대와 1980년대에 대기업에서 중소 기업으로 옮겨 갔다는 충분한 증거가 있다. 가장 인상적이고 또한 가장 많이 인용되는 것은 미국의 가장 큰 500 개 기업인 소위 Fortune 500의 몫이다. 그들의 고용 비율은 1970년 20%에서 1996년 8.5%로 떨어졌다 (Carlsson, 1992 and 1999).


Acs & Audretsch(1993년)와 Carlsson(1992년)은 다양한 경제 개발 단계에 있는 국가들에서 제조업에 관한 증거를 제공한다. 칼슨은 소기업으로의 이동에 대한 두 가지 설명을 내놓았다. 첫 번째는 1970년대 이후 세계 경제의 근본적인 변화를 다룬다. 이러한 변화는 글로벌 경쟁의 심화, 불확실성 정도의 증가, 시장 파편화의 성장과 관련이 있다. 두 번째는 기술 발전의 특성 변화를 다룬다. 그는 유연한 자동화가 대기업에서 중소기업으로 전환하는 데 다양한 영향을 미친다는 사실을 보여준다. 또한 Piore and Sable (1984)은 1970년대 시장의 불안정은 대량 생산의 붕괴로 이어졌고 융통성 있는 전문화를 촉진시켰다고 주장한다. 이러한 기술 발전 경로의 근본적인 변화는 규모의 거대한 불일치의 발생으로 이어졌다.


Brock and Evans (1989)는 대기업에서 벗어나는 변화가 제조업으로 국한되지 않는다고 주장하며, 이러한 변화가 일어난 4가지 이유를 추가로 제시하는데, 그것들은 실질임금을 더 낮추도록 이끌며, 증가하는 교육수준과 함께 일어나는 노동 공급의 증가, 소비자 취향의 변화, (진입) 규제의 완화 및 우리가 창조적 파괴의 시기에 있다는 사실이다. Loveman and Sengenberger (1991)는 산업 구조 조정의 두가지 동향, 즉 탈중심화와 수직적 탈집중화의 영향과 새로운 기업 집단의 형성의 영향에 대해 강조한다. 이러한 중간 형태의 시장 조정은 거래 비용의 감소 때문에 번창한다. 게다가 중소기업 부문 육성을 위한 공공 및 민간 정책의 역할도 강조한다. Audretsch and Thurik(2000)은 지식 기반 경제로의 필요한 변화가 대기업에서 중소기업으로의 이동 뒤의 원동력이라고 지적한다. 그들의 관점에서 세계화와 기술 진보는 서구 국가들의 이러한 도전의 주요 결정 요인이다.


이 변화의 원인은 한 가지 측면이다. 그것의 결과는 다양한 연구 분야를 포괄한다. Acs(1992)는 그것들을 토론한 첫 번째 사람들 중 하나였다. 그는 중소기업의 증가하는 중요성의 네 가지 결과를 구별하는데 그것들은 기업가정신, 혁신 경로, 산업 역학 및 일자리 창출이다. 그의 주장은 중소 기업이 기업가적 활동에 의한 변화의 주체로서 기여하고, 산업 발전을 촉진하며, 새롭게 발생되는 일자리를 창출하면서 고려할 만한 혁신 활동의 원천이 되어 경제에 중요한 역할을 하고 있다는 것이다. Acs and Audretsch(1990)와 Audretsch (1995)는 혁신적인 활동의 과정에서 중소기업의 역할에 대한 중요한 참고 자료이다. 또한 Cohen and Klepper (1992)가 기술적 진보를 달성하기 위한 기업의 규모와 다양성의 역할에 대해 논의하는 것을 참조하시오. 일자리 창출 과정에서 중소기업의 역할은 여전히 논란거리이다.


중소기업의 역할 재평가는 기업에서 기업가정신의 역할에 대한 갱신된 관심과 관련이 있다. 규모 등급 분포가 성장에 영향을 미치는 경우에 중요한 것은 조직의 차이이어야 한다. 큰 기업과 작은 기업의 조직 사이의 가장 큰 차이점은 소유권과 경영의 역할이다. 작은 기업에는 기업을 통제하고 있고 기업과 그 미래를 형성하는 보통 한 사람이나 아주 작은 집단의 사람들이 있다. 그러한 사람의 역할은 종종 '기업가정신'이라는 용어로 설명된다. 또한 경제 발전에서, 즉 시장의 작동을 위해 기업가정신의 역할에 관심이 집중되어 왔다. 많은 경제학자들과 정치인들은 이제 기업가정신이 GDP와 고용의 성장에 긍정적인 영향을 미친다는 직관을 가지고 있다. 더욱이, 많은 사람들은 혁신을 구현하는 기업가의 역할을 강조한다. 정치인들과 경제학자들의 이러한 갱신된 관심은 대부분의 서구 경제에서 기업 소유권 비율의 부활과 맞물리고 있다.


이 서론 섹션의 나머지 부분에서는 기업가정신의 개념화에 대해 몇 가지 언급할 것이다. 섹션 2에서는 경제 발전이 기업가정신에 미치는 영향에 대해 다룰 것이다. 섹션 3에서는 기업가정신의 유형과 각각의 경제 성장과의 관계에 대해 논의된다. 기업가정신과 고용 사이에서 선택의 영향은 섹션 4에서 다룬다. 섹션 5와 섹션 6은 각각 기업가정신 내생 성장 모델과 경험적 증거를 다룬다. 섹션 7은 결론짓는다. 거시 경제 수준에서 경제 발전을 위한 기업가정신의 역할이 일반적으로 강조될 것이다. 섹션 3, 4, 5에는 일부 새로운 내용이 포함되어 있다. 경제학의 때로는 엄격한 접근법에 관심이 없는 독자들은 이들 섹션의 수학적 추정을 생략할 수 있다.



기업가정신 개념화하기


기업가정신은 제대로 정의되지 않은 다차원 개념이다. 기업가적 활동의 범위를 정의하고 측정하는 어려움은 그것들이 경제적 성과에 미치는 영향을 측정하는 것을 복잡하게 만든다. 성장 과정에서 기업가정신의 역할을 이해하려면 프레임워크가 필요한데, 왜냐하면 경제 성장에 미치는 영향을 설명할 다양한 중간 변수나 연계가 있기 때문이다. 이러한 중간 변수의 예로는 혁신, 공급의 다양성, 기업 (경쟁)의 진입 및 퇴출, 기업가의 특정 노력 및 에너지 등이 있다. 기업가정신에 대한 몇 가지 조건이 제공되는 그림 1을 참조하라. 이러한 조건에는 기업가정신과 문화 및 제도적 요소의 기원에 있는 개인적 특성이 포함된다.



기업가정신은 개인의 활동과 관련이 있다. 경제 성장의 개념은 기업, 지역, 산업 및 국가 수준에서 관련이 있다. 따라서 기업가정신을 경제 성장과 연계한다는 것은 개인 수준을 총합 수준과 연계한다는 것을 의미한다. 이 연계를 고려하기 위해 먼저 '기업가정신'의 정의에 주의를 기울인다. Hébert and Link (1989), Bull and Willard (1993) 그리고 Lumpkin and Dess (1996)에서 영감을 받아, 다음 기업가정신의 정의가 제안될 수 있다: 기업가정신은 새로운 경제적 기회(신제품, 새로운 생산 방법, 새로운 조직 계획 및 새로운 제품-시장 조합)를 인식하고 창출하기 위해 기존 조직 내부 및 외부에서 스스로, 팀으로, 불확실성 및 기타 장애물에 직면하여 위치, 형태, 자원 및 제도의 사용에 대한 결정을 내림으로써 시장에 자신의 아이디어를 소개하려는 개인의 일목요연한 능력과 의지이다 (Wennekers and Thurik, 1999). 본질적으로 기업가정신은 사람의 행동 특성이다. 기업가정신은 직업이 아니며 기업가정신은 사람의 잘 정의된 직업적 등급이 아니라는 점에 유의해야 한다. 명백한 기업가일지라도 경력의 특정 단계 및/또는 활동의 특정 부분과 관련하여서만 기업가정신을 전시할 수 있다


기업가정신은 소기업과 동의어가 아니다. 확실히, 작은 기업들은 개인들이 그들의 기업가적 야망을 조정하기 위한 뛰어난 수단이다. 그 작은 기업은 책임진 개인의 확장이다 (Lumpkin and Dess, 1996, p. 138). 그러나 기업가정신은 (혁신적인) 소기업을 창업하거나 운영하는 사람들에게만 국한되지 않는다. 대기업의 기업가적인 개인들, 이른바 '사내기업가들' 또는 '기업기업가들'도 또한 기업가적인 행동을 취한다. 이러한 환경에서는 예를 들어 사업부, 자회사 또는 합작 벤처를 사용하여 '작은 규모'를 모방하는 경향이 있다.


구어에서 기업가, 자영업자, 사업가와 같은 많은 용어들이 무분별하게 사용되기 때문에, 그것의 조작화와 측정은 결코 명백하지 않다. 하지만, 사람들은 몇 가지 실용적인 구별을 할 수 있다. 첫째로, 기업가적과 관리자적 개념 간에는 조직화와 조정화라는 의미에서, 둘째, 사업주 또는 자영업자(법인의 소유-관리자 포함)와 종업원 사이. 자영업자 대 종업원과 기업가적 대 관리자적의 이러한 이중 이분법에 기초하여 세 가지 유형의 기업가를 구별할 수 있다. 이 세가지 유형은 슘페터적 기업가, 사내기업가 그리고 형식적인 의미에서만 기업가인 관리자적 사업 소유자이다. 이는 표 1에 설명되어 있다.



슘페터적 기업가는 주로 중소기업에서 발견된다. 그들은 혁신적이고 창의적으로 기존의 시장 구조를 파괴하는 독립적인 회사를 소유하고 지배한다. 자신의 목표를 실현한 뒤에는 관리자적 사업 소유자로 발전하는 경우가 많지만 일부는 다시 새로운 벤처를 시작할 수도 있다. 사내기업가나 기업가적 관리자도 기업가 정신의 핵심에 속한다. 고용주를 대신하여 상업적인 이니셔티브를 취하고, 그들의 시간, 명성을 그리고 때때로 그렇게 할 때 그들의 직업을 위험에 빠뜨림으로써, 그들은 더 큰 기업들에서 기업가적 모험(ventures)을 야기하는 리더십의 구현이다. 때때로 이러한 기업가적인 종업원들은 팀이건 혼자이건 방향을 바꾸어 새로운 기업을 시작하여 슘페터적 기업가가 된다. 관리자적 사업 소유자들(형식적 의미에서의 기업가)은 대다수의 소규모 기업들에서 발견될 것이다. 그들은 많은 프랜차이지(franchisees), 가게 주인, 전문직 종사자들을 포함한다. 그들은 Kirchhoff (1994)가 '경제 핵'이라고 부르는 것에 속해 있으며 일부 기업가적 벤처의 요람이다.



2. 기업가정신에 관한 경제 발전의 영향

실업과 기업가정신 사이의 관계는 애매함에 싸여 있었다. 한편으로, 문헌의 한 가닥은 실업이 "난민 효과"라고 불리는 기업가적 활동을 자극한다는 것을 발견했다. 다른 한편으로 문헌의 매우 다른 가닥은 높은 수준의 기업가정신이 실업을 줄인다는 것 또는 "Schumpeter 효과"라고 불리는 것을 확인했다. 이 두 관계를 합치면 실업과 기업가정신 사이의 관계에 대해 상당한 모호함이 생긴다 (Audretsch, Carree, and Thurik, 2001). 이 섹션에서는 경제 발전에 의해 비즈니스 소유권 비율이 어떻게 영향을 받는지에 대해 설명한다. 우리는 이 관계에서 "슘페터적 체제 교체"가 보여 준 역할에 주목할 것이다. 우리는 1970년대 이전의 기업 소유권 비율 하락 시대와 그 이후에 대부분의 서구 경제에서 그 비율이 상승된 시기에 대해 논의한다. 이어지는 섹션에서 강조할 것은 경제-광역 수준에서 기업 소유권 비율이 구조적 변화와 후속 경제 성장에 어떻게 영향을 미치는가 하는 것이다.


기술 진보와 경제 발전의 메커니즘에 대한 우리의 이해에 대한 Joseph Schumpeter의 기여는 널리 인정 받고 있다. <경제 발전의 이론>에서 그는 경제 발전의 주된 원인인 기업가의 역할을 강조한다. 그는 혁신 기업이 어떻게 현재의 기술과 제품을 쓸모없게 만드는 새로운 발명을 도입하여 기성 기업들에게 도전하는지 설명한다. 이러한 창조적 파괴의 과정은 소위 슘페터 Mark 1 체제의 주요 특징이다. <자본주의, 사회주의, 민주주의>에서, Schumpeter는 대기업과 기성 기업들의 혁신적인 활동에 초점을 맞춘다. 그는 대기업들이 혁신에서 증가하는 연구 개발 활동에 이르기까지 강력한 긍정적 피드백 고리를 통해 혁신과 전유 과정에서 중소 기업 상대방을 얼마나 능가하는지 설명한다. 이 창의적인 축적 과정은 Schumpeter Mark II 체제의 주요 특징이다.


슘페터적 두 기술 체제 중 어느 하나가 특정 시기와 산업에 우세한 정도는 다양하다. 그것은 혁신에 필요한 지식의 특성, 전유성의 기회, 규모 (비)경제 의 정도, 제도적 환경, 흡수 능력의 중요성, 수요의 다양성 등에 따라 달라질 수 있다. 슘페터 Mark II 체제에서 산업은 작은 기업이 번영하는 슘페터 Mark I 체제에서의 산업과는 대조적으로 보다 집중화된 시장구조를 발전시킬 것이다.



사업 소유권의 하락


20세기의 첫 4분의 3은 축적의 시기로 묘사될 수 있다. 2차 산업 혁명부터 1970년대까지 대부분의 산업과 경제 전반에서 큰 기업의 몫이 증가했다. 이는 규모와 범위의 시대였다(Chandler 1990). 생산, 유통, 마케팅, 연구 개발(R&D) 같은 분야에서 규모와 범위의 경제를 이용하여 더 크게 진보적으로 성장하는 위계적 산업적 기업의 시대였다. 1960년대 후반의 대기업 합병 물결이 상황을 결정짓는 것처럼 보였다. 이 시기는 대부분의 산업에서 소기업의 존재감이 하락하는 것과 함께 Schumpeter Mark II 체제의 특징을 가지고 있다. (유럽) 정부들의 정책도 대기업을 육성함으로써 이런 하락에 기여했다. 자영업자의 비율은 1970년대 중반까지 대부분의 서구 국가에서 하락해 왔다. 몇몇 저자들은 (Blau, 1987; Kuznets, 1971; Schultz, 1990; Yamada, 1996) 경제 발전과 기업 소유권 (자기고용) 비율 사이의 부정적인 관계에 대해 보고해 왔다. 많은 서방 국가와 산업에서 이러한 하락은 끝났고 심지어 역전되었다. 많은 오래되고 큰 기업들이 작고 새롭고 보다 기업가적 상대에게 입지를 잃어가고 있다. 우리는 이것을 Schumpeter Mark II 에서 Schumpeter Mark I 으로의 체제 전환(추세 반전)으로 분류한다. Audretsch and Thurik(2001a)은 이것을 관리형 경제에서 기업가적 경제로의 체제 전환으로 분류한다.



추세의 반전


1970년대 중반 이후로 대부분의 현대 경제에서 자기고용 비율이 다시 상승하기 시작했다. Blau (1987)는 미국 비농업 노동력의 자기고용 비율은 금세기 내내 감소한 반면에 이 하락은 1970년대 초반에 바닥을 치고 늦어도 1982년에는 상승하기 시작했다고 관찰한다. 보다 최근에는 사업 소유권이 몇몇 다른 나라에서도 증가했다. Audretsch and Thurik (2001a)은 23개 OECD국가 중 16개국의 사업 소유권 증가율이 1986-1974년보다 1998-1986년 사이에 더 높았음을 보여 준다. 또한 다른 저자들은 덜 자기고용의 방향으로 추세 반전의 증거를 제공해 왔다. Acs, Audretsch and Evans (1994)는 23개의 OECD국가 중 15개국이 1970년대와 1980년대에 자기고용 비율의 증가를 경험했다고 보고했다. 그들은 OECD국가의 자기고용 비율의 가중 평균이 1978년 8.4%에서 1987년 8.9%로 약간 상승했음을 보여 준다. Audretsch and Thurik (2001a)은 이 성장이 1990년대에 가속화된다는 것을 보여 준다. 대기업들은 핵심 사업에 다시 집중하기 위해 몸집을 줄이고 구조 조정을 벌이고 있다. 그러는 동안 기업가가 죽음에서부터 떠올랐다. 첨단 기술 혁신 중소 기업들이 많은 (새로운) 산업에서 기술 발전의 선두에 섰다.


서구 경제에 소기업과 자기 고용의 부활에 대한 잘 문서화된 여러 가지 이유들이 있다. 우선, 20세기의 마지막 25년 동안의 창조적 파괴로 보여질 수 있다. Piore and Sabel (1984)은 산업 분리를 사용하고, Jensen (1993)은 제3차 산업 혁명 용어를 선호하고, Freeman and Perez (1988)는 이를 제4차 제5차 Kondratiev 파동의 이동으로 해석한다. 가장 명백한 증거는 소프트웨어와 생명 공학 산업과 같은 새로운 산업의 출현이다. 작은 기업들은 이러한 새로운 산업에서 중요한 역할을 한다. Acs and Audretsch(1987)는 중소 기업이 그러한 고도로 혁신적인 산업에서 대기업에 비해 상대적으로 혁신적인 우위를 점하고 있다는 경험적 증거를 제공한다. 급진적으로 새로운 제품을 발명함에 있어 중소 기업의 비교 우위에 대한 증거는 Prusa and Schmitz(1991)와 Rothwell(1983,1984)에서도 제시된다.


둘째로, 새로운 기술은 많은 분야에서 규모 경제의 중요성을 감소시켰다. 소규모 기술 기반 기업들은 여전히 대량 생산 기술에 모든 신뢰를 가지고 있는 대기업들에게 도전하기 시작했다 (Meredith, 1987; Carlsson, 1989). Jensen은 "동일한 지리적 위치에 있는 사람들이 효율적으로 함께 일하는 것은 훨씬 덜 가치 있는 일이며, 따라서 이는 기술을 통해 협력하는 더 작고, 더 효율적인 기업가적 조직화 단위를 장려하고 있다."라고 주장한다. 이는 Jovanovic의 다음과 같은 주장에 의해 지지된다: "정보 기술의 최근 진보는 내부 조정에 비해 시장 기반의 조정을 더 저렴하게 만들었으며 부분적으로는 기업 규모와 다양화에서 최근의 하락을 야기했다" (Jovanovic 1993, p. 221).


셋째, 규제 완화와 민영화 운동이 세계를 휩쓸었다. 많은 서구 국가들은 규제를 철폐하고 민영화하려는 강한 경향이 있었다(OECD 1995, p. 39-49). Phillips (1985)는 1980년대 초 미국에서는 규제가 철폐된 산업 분야에서 중소 기업이 신규 사업과 일자리 창출에 지배적이었다고 보고한다. 덧붙여, 정부는 경제성장과 발전을 확립함에 있어, 작은 (스타트업) 기업의 역할을 인정하고 촉진한다 (OECD 1998).


넷째, 대기업들이 "핵심 역량"에 집중하는 경향이 있었다 (Carlsson1989). Jovanovic (1983)은 그 결과로 1980년대는 기업의 스핀오프와 투자 회수로 특징 지어진다고 보고했다. Aiginger and Tichy (1991)는 1960년대 말의 기회주의적인 대기업 합병의 물결을 상당부분 "기본으로 돌아가기"와 몸집 줄이기 (또는 규모적합화) 경향에 책임을 돌린다.


다섯째, 소득과 부의 증가는 다양성에 대한 수요의 증가로 이어졌다 (Jackson 1984). 문화 간 영향도 다양성에 대한 수요를 증가시켰다. 작은 기업들은 종종 새롭고 특화된 제품의 가장 명백한 공급자들이다. Jovanovic (1993)에 의해 보고된 다양화의 감소는 대기업들이 그러한 틈새 시장에 진입할 능력이 없었다는 것을 암시한다.


여섯째, 자기고용은 이전보다 직업 선택으로 더 높이 평가된다. Schiller and Crewson (1997)에 따르면 대략 4명의 미국 청년 노동자들 중 1명이 자기고용을 추구하고 있다. Kirchhoff (1996)는 자기고용은 더 이상 불완전하거나 가족 기업(mom-and-pop)이 아니라 다양한 개인적 목표를 달성하기 위한 방법이라고 주장한다.


마지막으로, 서비스 부문의 고용 비율은 1인당 소득과 함께 증가하는 것으로 잘 문서화되어 있다 (Inman 1985).. 대부분의 서비스(항공사, 운송 및 일부 비즈니스 및 금융 서비스 제외)의 상대적으로 작은 평균 기업 규모를 고려할 때 이는 사업 소유권을 위한 추가적인 기회를 창출한다.


분명히, 이러한 요인들 중 일부는 일시적인 효과만을 가질 수 있다. 예를 들어, 아웃 소싱과 규제 완화 물결이 마르지 않을 것 같지는 않다. 게다가 새롭게 부상한 산업들의 많은 신생 기업들이 살아남지 못하고 있다 (예를 들어, 1990년대 후반부터의 인터넷 기반 스타트업들). 반면에, 신기술의 영향과 같은 더 영구적인 효과가 있다. 우리는 Freeman and Perez (1988)를 다시 언급한다. 그들은 새로운 기술-경제 패러다임(제5차 Kondratiev 파동)에서 기업들의 조직은 대기업과 중소 기업들의 "네트워크"가 될 것이라고 주장한다. 게다가, 이러한 새로운 기술의 도입은 또한 필요한 기술과 다른 투자 없이는 그것들이 효과적일 수 없기 때문에 경제 발전의 단계와 긍정적인 관계가 있다. 경제 발전의 이러한 구조적 영향은 둘다 번영의 수준에 의존하는 전문화된 상품과 서비스에 대한 수요의 증가하는 다양성과 자아실현의 고양된 가치평가에 의해 강화된다.


3. 기업가정신의 유형과 각각의 경제성장과의 관계


지적 역사를 통해, 기업가는 많은 얼굴을 하고 많은 역할을 수행해 왔다 (Hébert and Link, 1989). 이 섹션에서는 Schumpeter, Kirzner 및 Knight가 각각 강조한 세 가지 기업가적 역할에 초점을 맞춘다. 첫 번째는 혁신자의 역할이다. Schumpeter는 '혁신하는 기업가'에게 가장 두드러지게 관심을 가져온 경제학자였다. 그/그녀는 '우리가 기업이라고 부르는 새로운 조합을 수행하고, 그 조합을 수행하는 기능을 가진 사람을 우리는 기업가라고 부른다' (Schumpeter 1934, p. 74). 두 번째는 수익 기회를 인지하는 역할이다. 우리는 이 역할을 Kirzner적 (또는 네오오스트리아학파의) 기업가정신으로 분류한다 (예: Kirzner, 1997 참조). 세 번째는 불확실성과 관련된 위험을 가정하는 역할이다. 우리는 이 역할을 Knight적 기업가정신이라고 부른다. 개인이 새로운 제품을 도입하거나 새로운 기업을 시작할 때 이는 세 가지 유형의 기업가 정신의 각각의 측면에서 기업가적 행위로 해석될 수 있다. 개인은 혁신자이며, 지금까지 눈에 띄지 않았던 이익 기회를 감지했다고 가정하고, 제품이나 벤처가 실패로 끝날 수 있는 위험을 감수한다.


기업가 정신에 관한 경제적 사고의 역사에 대한 연구에 기초하여, Hébert and Link (1989, p. 47)는 기업가가 누구인지와 그가 무엇을 하는지의 다음 '통합적' 정의를 제안한다. ‘기업가는 재화, 자원 또는 기구(institution)의 위치, 형태 및 사용에 영향을 미치는 책임을 지고 판단적 결정을 내리는 것을 전문으로 하는 사람이다’. 기업가정신과 성장 사이의 연계를 탐색할 때 이 정의는 충분하지 않다. 새로운 경제적 기회를 인식하고 창출하는 역동성과 기업가정신의 경쟁적 차원에 더 많은 관심이 필요하다. 경제 성장에 대한 기업가 정신의 핵심 기여는 '참신함'으로 간주될 수 있다. 여기에는 새로운 기업의 창업뿐만 아니라 '발명과 아이디어를 경제적으로 실행 가능한 실체로의 전환, 그렇게 하는 과정에서 그들이 기업을 설립하거나 운영하는지 여부' 또한 포함된다 (Baumol 1993, p. 198).


경영학 문헌은 진입에 관한 넓은 관점을 가지고 있다. 이 문헌을 조사할 때 Lumpkin and Dess(1996)는 기업가 정신의 갱신 측면을 통합한다. 신규 진입은 신규 또는 기존 상품 또는 서비스로 신규 또는 기존 시장에 진입함으로써 성취된다. 신규 진입은 창업기업에 의하거나, 기존 기업을 통해 또는 내부 기업 벤처를 통해 새로운 벤처를 시작하는 행위이다 (Lumpkin and Dess 1996, p.136). 그들의 관점에서, 기업가 정신의 본질적인 행동은 우리가 보는 새로운 진입 그 이상이다. 기존의 대기업에서 ‘신규 진입’이라는 기업가적 활동은 종종 작은 규모를 모방함으로써 이루어진다. 경쟁뿐만 아니라 창업과 혁신을 통한 참신함이 기업가정신과 경제 성장을 연결하는 가장 관련 있는 요소이다. 관리적 사업주들이 생산과 유통의 조직과 조정과 같은 경제의 많은 유용한 기능을 수행하는 동안, 그들은 혁신과 창의적 파괴의 원동력으로 간주될 수 없다. 이것은 슘페터적 기업가들과 사내기업가들의 주요한 기능이다.


기업가정신의 여러 유형 : 경제 성과에 대한 여러 가지 영향

다음 모델에서 우리는 유통부문의 사례를 사용하여 Kirzner적(네오 오스트리아학파) 기업가정신과 Knight적 기업가 정신(for the latter see also Kihlstrom and Laffont, 1979)의 (부족의) 경제적 영향에 대한 예를 제공한다. 더 많은 슘페터적 접근법은 섹션 5에서 다룰 것이다. 이 모델은 Carree and Thurik (1999b)에 의한 운반 용량 모델의 단순화된 버전이다. 이 모델은 기업가정신의 결여가 경제 성과에 어떤 영향을 미칠 수 있는지를 나타내는 데 사용된다. 수학에 관심이 없는 독자는 이 섹션의 마지막 단락으로 진행하기를 원할 수 있다.


소매업체들이 동종 재화를 판매하는 두 개의 지역 시장 i 와 j 가 있다고 가정한다. 소매업체들은 한 시장 또는 다른 시장에만 있을 수 있다. 두 지역 시장에서 소비자의 총 수요는 1과 같은 가격 탄력성을 갖는 것으로 가정한다.


(3.1) Qx = αx / px x = ∈ {i, j}


시장 x의 각 소매업체 k는 이윤 π = (px - β)qk - α 를 최대화한다. 여기서 α는 고정 비용이고 β는 변동 비용이며 둘 다 기업을 교차하여 동일하다. 소매업체가 Cournot 과점을 형성하므로 산출량 qk를 변경할 때 경쟁업체의 반응을 고려하지 않는다고 가정한다. 각 소매업체의 비용 함수가 동일하다고 가정하기 때문에 산출 수준도 qk = Qx / Nx 와 동일합니다. 시장 x에 Nx 개의 기업이 있는 경우 균형 시장 가격은 쉽게 (3.2) 로 유도된다.


(3.2) px = β { Nx / ( Nx - 1) } x = ∈ {i, j}

따라서 Cournot 과점에서 시장 x 내에 균형 총산출은 (3.3)과 같다.


(3.3) Qx = { αx / β } { ( Nx - 1 ) / Nx }

방정식 (3.3)을 이익함수에 대입하면 다음 균형상태에서 (3.4)가 유도된다.


(3.4) πk = { β·Qx / Nx ( Nx - 1) } - α = αx / Nx2 - α

한 지역의 기업가가 다른 지역의 기업가만큼 버는 경우 지역을 교차하여 균형이 있다. 이는 (3.5)를 암시한다.

(3.5) Ni / Nj = √ αi / αj

이 균형 조건은 특정 고정된 기업가의 수 N이 주어지면 결합된 두 시장에 대한 최대 총산출을 보장한다. 이를 유도하려면 Nj = N – Ni 이고, 따라서 산출의 합은 (3.6) 임을 명심하라.

(3.6) Qi + Qj = { αi (Ni - 1) /Ni } + { αj (N - Ni - 1)/(N – Ni)} / β

Ni에 대해 방정식 (3.6)을 최대화하면 방정식 (3.5)에 주어진 것과 똑같은 결과를 얻을 수 있다. 이제 우리는 얼마나 많은 기업가가 있을 것인지에 대한 최종 문제에 도달했다. Carree and Thurik(1999b)에 따르면 우리는 기업가가 자신의 노력에 대한 보상으로 받으려고 하는 임계 이익 수준 π*이 있다고 가정한다. 이익이 임계 수준에 미치지 못하는 경우 기업가는 이익 수준이 임계 수준으로 증가할 때까지 퇴출한다. 이익이 임계 수준을 초과하는 경우(신규) 기업가는 이익 수준이 임계 수준으로 감소할 때까지 진입한다. 임계 이익 수준의 중요 결정 요인은 기업가가 직면한 위험에 대해 보상받기를 원하는 정도이다.


Kirzner적 기업가정신 또는 Knight적 기업가정신의 부족의 영향을 나타내는 숫자 사례를 제시한다. 두 시장의 규모가 동일하여, αi = αj = 50 이고 고정 비용 매개변수 α와 임계 이익 수준 π* 모두 1이라고 가정한다. 가변 비용 매개변수 β는 0.1로 가정한다. 그러면 두 시장 각각에 있는 소매업체의 총 수는 αx / Nx2 - α = π* 에서 파생되며 숫자 값을 삽입한 후 5와 같은 것으로 확인된다. 두 시장의 총 산출은 (3.3)에서 유도되어 800과 같다.


이제 두 시장에 5개의 기업이 있는 대신 6개의 기업이 있는 하나의 시장과 4개의 기업이 있는 하나의 시장이 있다고 가정한다. 그러면 총산출은 최대 산출 800 대신 792가 된다. 따라서 6개 소매업체 중 적어도 한 곳이 만연한 불균형에 주의를 기울이지 않으면 산출이 1% 감소한다. 다른 경우, 한 소매업체에 위치(시장)를 변경하도록 경고했을 Kirzner적 기업가정신의 부족으로 인해 산출이 감소한다. 이제 기업가가 직면한 불확실성에 대해 더 높은 보상을 받기를 원하고 임계 이익 수준 π*은 1 대신 1.5와 같다고 가정하자. 각 시장의 기업 수는 4.47로 감소하고 총산출은 776으로 감소한다. 따라서 기업가가 위험을 더 회피하게 되면 총산출은 감소한다. 시장에서 위험을 감수할 준비가 된 개인(Knight적 기업가)의 수가 감소하면 산출 손실이 발생한다. 다음 섹션에서는 기업가정신과 고용 사이의 선택이라는 이 문제에 대해 더 자세히 다룬다.


4. 기업가정신과 고용 사이 선택의 효과


이 섹션에서는 기업이 진입(또는 퇴출)하지 못하게 하거나 기업이 활동을 확장(또는 제한)하지 못하게 하는 결과를 고려하여 기업 활동의 영향이 분석되어지는 직업 선택의 단순한 모델을 소개한다. 우리는 '시장 경제', '반계획 경제', '계획 경제'로 분류되는 세 가지 경제 '체제‘를 구별한다. 직업 선택 모델의 세부 사항을 제시하기 전에 우리는 먼저 직업 선택과 경제 발전 사이의 상호 시기적(intertemporal) 관계에 관한 최근의 중요한 논문을 논의할 것이다.


우리는 Banerjee and Newman (1993), Iyigun and Owen (1999) 및 Lloyd-Ellis and Bernhardt (2000)의 세 논문에서 기여한 내용에 대해 간단히 논할 것이다. 그 논문은 직업 선택과 경제 발전 사이의 쌍방향 상호 작용의 복잡한 문제를 다루고 있다. 한편으로, 자기고용이 되기로 선택한 개인의 수와 그들의 기업가적 기예(skill)는 둘다 경제 발전에 영향을 미친다. 반면에, 발전 과정은 직업으로의 복귀에 영향을 미친다. 그것은 위험의 본질과 혁신의 가능성을 변화시킨다.


Banerjee and Newman (1993)은 부의 분배가 중심 역할을 하는 모델을 개발한다. 그들은 직업적 결정이 자본 시장의 결함으로 인한 부의 분배에 의존한다고 가정하는데, 자본시장의 결함이란 그 때문에 가난한 사람들은 임금을 받는 일만을 선택하고 부유한 사람들은 기업가가 될 수 있다고 가정하는 것이다. 부의 초기 분배는 장기적으로 경제가 소규모 생산('불황(stagnation)')의 경우에 단지 자기고용의 경우에만 통합되는지, 아니면 활발한 노동 시장과 대규모 및 소규모 생산이 모두 번영하는 경우('번영')에 통합되는지를 결정한다. Banerjee and Newman은 이 모델이 임금을 위해 일하는 것이 최선의 선택인 무산자(dispossessed) 인구의 초기 존재가 경제가 번영하는 자본주의 단계를 달성하는 데 필요한 조건이라는 것을 암시한다고 강조한다.


Banerjee and Newman은 기업가정신의 결정적인 특징으로서 재정적인 요구 사항에 초점을 맞추는 반면, Iyigun and Owen (1999)은 위험 요소에 초점을 맞춘다. Iyigun and Owen은 두가지 종류의 인적 자본을 구분하는 데, 그것은 기업가적 인적 자본과 전문가적 인적 자본이다. 기업가적 활동은 전문가적 활동보다 위험성이 높은 것으로 가정한다. 이 모델에서 기업가는 업무-경험 집약의 프로세스를 통해 인적 자본을 축적하는 반면, 전문가적 인적 자본 축적은 교육-집약적이다. 이 모델은 예견하기를 기술이 향상됨에 따라 개인은 업무 경험을 통해 인적 자본의 축적에 시간을 덜 투자하고 전문적 훈련을 통해 인적 자본의 축적에 더 많은 시간을 투자할 것이다. 정규 교육에 대한 시간의 증가하는 지분의 할당은 안정적인 상태에 도달할 때까지 계속된다 (Iyigun and Owen, p. 224 참조). 따라서, 기업가들은 중간-소득 국가에서 상대적으로 더 중요한 역할을 할 것이고, 전문직 종사자들은 부유한 국가에서 상대적으로 더 풍부하게 될 것이다. 그러나 기업가정신과 전문적 활동 모두 중요하며 초기에 기업가적 또는 전문가적 인적 자본이 너무 적은 국가는 발전 트랩(trap)에 처할 수 있다. Iyigun and Owen은 높은 교육을 받은 노동력은 있지만 기업가 부족으로 인해 여전히 고소득의 안정 상태를 달성하지 못한 경제의 한 예로서 과거 공산 국가를 지적한다 (p. 225).


또한, Lloyd-Ellis and Bernhardt (2000)는 기업가적 기예의 부족함이나 풍부함이 균형 발전 과정 뒤에서 어떻게 결정적인 변수인지를 도출한다. 그들의 모델에서, 개인들은 기업가로 일하는 것, 산업이나 영세농업에서 임금 노동자로서 일하는 것 사이에서 선택할 수 있다. Banerjee and Newman 모델에서처럼 기업가들은 제한된 자본 시장에 직면해 있고 (상속된) 부가 기업가적 활동이 확장될 수 있도록 필요하다. 이 모델의 경제는 네 가지 구분되는 단계를 거친다. 이 모델의 흥미로운 결과는 평균적인 기업 규모가 발전 과정의 첫 번째 단계에서 빠르게 증가하지만, 발전 과정의 후반부에서 감소한다는 것입니다. 인구의 소수(fraction)로서 기업가(농업 외)의 수는 각 단계에서 증가할 수 있다 (Lloyd-Ellis and Bernhardt, p.157).


우리는 기업의 진입(또는 퇴출)을 허용하지 않거나 또는 기업이 그들의 활동을 확장(또는 제한)을 허용하지 않는 결과를 고려함으로써 기업가적 활동의 영향을 분석하는 단순한 새로운 직업 선택 모델을 제시한다. 우리는 세 가지 가능한 경제 ’체제(system)‘를 구별한다. 첫번째 시스템인 '시장 경제'에서는 진입과 퇴출의 완전한 자유가 있고 그리고 기업이 이익을 극대화하기 위해 그들의 투입을 조정하는 완전한 자유가 있다. 이 시스템에서는 완전한 기업가적 자유와 관리자적 자유가 있다. '반계획 경제'라고 표시된 두 번째 체제에서는 진입과 퇴출의 자유가 없다. 그러나 기업들은 최대 이익을 얻기 위해 자유롭게 그들의 투입을 조정할 수 있다. 이러한 경제 체제에서 대규모 기성기업은 경제 진보의 원동력으로 간주된다. 새로운 기업을 시작하는 것은 규제와 비교적 낮은 사업 소유권에 의해 방해를 받는다. ’계획 경제'라고 불리는 세 번째 경제 체제는 또한 수익을 극대화하기 위해 투입을 조정하는 관리자적 자유마저 잃는다. 일부 기업들이 이익을 내지 못하게 될 수 있음에도 불구하고 일정량의 고정된 노동력을 이용하여 산출을 생산하도록 배정된다.

분명히, 세 가지 경제적 '시스템'은 극단적이다. 그러나 그러한 가상 시스템의 경제적 성과를 비교하는 것은 경제적 성과에 대한 장기 및 단기의 기업가적 활동의 총 기여에 대한 이해를 높일 수 있다. 또한 세 시스템의 조건은 기존 경제 시스템의 실제 조건에 근접할 수 있다. 예를 들어 미국의 시장 경제는 정부의 개입이 거의 없는 상태에서 (잠재적) 기업가들에게 상당한 자유를 부여한다. 이와는 대조적으로, 프랑스, 독일과 스칸디나비아 국가들과 같은 유럽 대륙의 경제는 정부에게 훨씬 더 큰 역할을 부여한다. 이러한 국가들에서 정부는 가까운 과거에 대기업을 지원하기 위해 적극적으로 개입해 왔다. 소련식 경제 체제는 계획된 경제 체제의 가장 좋은 예이다. 아래에 설명된 모델은 세 개의 '시스템'의 상대적 성과를 비교하는 데 사용된다. 비수학적으로 관심이 있는 독자는 주요 결과를 논의하는 이 섹션의 마지막 단락으로 진행하기를 원할 수도 있다.

종업원이 되는 것과 관리자(사업주)가 되는 것 중 하나를 선택할 수 있는 N명의 개인 모집단을 고려하시오. 각 사람 i는 기간 t에서 e의 특정 관리자 능력 eit를 할당받는다. 이 능력은 동일한 임금 wt 를 받는 종업원의 투입과 결합하여 일부 (균질한) 재화 Qit = eit Litβ의 총생산량을 생산하고 β는 0과 1 사이에 있다. 재화의 가격이 기간 t에서 관리자 i의 총이윤이 1이라고 가정하면 πit = eit Litβ − wt Lit 이다. 1계 조건 ( ∂πit / ∂Lit = 0 )에서 노동 투입과 이윤의 최적 수준을 찾는다.


(4.1) Lit* = ( βeit /w )1/(1−β) 그리고


(4.2) πit* = (1-β)eit ( βeit / w )β/(1-β)


방정식 (4.2)에서 관리 능력 수준이 높은 개인이 더 높은 이윤을 낸다는 것은 분명하다 ( ∂πit* / ∂Lit > 0 ). 개인이 자유롭게 진입 및/또는 퇴출할 수 있는 경우 최적의 이윤 수준이 임금 수준보다 낮으면 기존 기업이 시장에서 퇴출되고 (그리고 종업원이 됨) 반면 종업원은 최적의 이윤 수준이 그들의 임금 수준을 초과하는 경우에 기업을 시작한다. Lucas(1978)에 따르면 다음과 같은 경우에만 개인이 관리자가 되는 균형에 도달한다.


(4.3) eit > wt / {ββ (1−β)(1−β) }

세 가지 경제 체제 각각에서 임금 수준은 노동의 수요와 공급이 동일하도록 하는 균형 조건에 의해 결정된다고 가정한다. 관리자/기업가의 수를 Mt 으로 표시하고 Θt 로 설정하면 이 조건은 다음과 같다.

(4.4) N − Mt = Σi∈ΘtLit* ⇔ wt = β{ Σi∈Θteit1/(1−β) /( N − Mt )}(1−β)


방정식 (4.3)과 (4.4)로부터 자유 진입과 퇴출이 주어진 균형 구조를 결정할 수 있다. 능력 eit의 분포가 주어지면 균형직업 선택과 (최대) 총 산출이 도출될 수 있다. 능력분포의 변화가 있을 경우 노동시장의 균형이 회복되는 방식은 경제체제에 따라 다르다. ‘시장 경제’ 체제의 경우 능력이 향상된 관리자의 진입과 능력이 떨어지는 관리자의 퇴출, 기업 규모의 변화, 임금 수준의 변화가 있을 것이다. ‘반계획 경제’ 체제의 경우 기존기업의 기업규모와 임금수준의 변화가 있을 것이다. ‘계획경제’ 체제에서 균형을 회복하는 변수 중 하나는 임금수준인데, 이는 노동수요에 적응할 경영 재량의 부재로 인한 것이다. 더 큰 ‘자유도’로 인해 능력 분포의 변화 후 총산출은 ‘시장 경제’에서 가장 높고 ‘계획 경제’에서 가장 작을 것이 분명하다. 성과의 차이가 클수록 시간이 지남에 따라 능력 분포가 더 많이 변경된다. 따라서 기술 체제의 중요한 변화의 시기에 그리고 더 장기일수록 그 차이는 가장 클 것이다. 이 결과는 기업의 신규 진입 부족이 단기가 아니라 장기적으로 경제 성과에 부정적인 영향을 미친다는 Eliasson(1995)의 발표와 관련이 있다.



5. 내생적 성장모델에서 기업가정신


기업가정신이 경제 이론에서 사라진 이유 중 하나는 Solow(1970)가 개발한 신고전파 성장 모델에서 기업가정신이 아무런 역할도 하지 않았기 때문이다. 이 성장 모델의 중요한 특징은 기술적인 향상이 외생적이며 따라서 경제적인 유인(incentves)에 독립적이라는 것이다. 전통적인 성장 모델의 경제 성장은 자본 축적과 외생적 기술 발전에 의해 달성되며, 이 두 요인 모두 기업가적 역할을 할 여지는 거의 없다 (Baumol 1968 참조). 최근에 개발된 내생적 성장 모델들은 또한 기술의 향상이 영구적으로 성장하는 생활 수준 뒤의 핵심 힘이 되어왔다는 생각을 지지한다. 그러나, 이러한 장기적인 성장 과정은 많은 내생적 성장 모델에서 지식에 대한 목적적, 이윤 추구 투자에 의해 결정된다고 가정한다 (Grossman & Helpman, 1994, p. 24). 기술 향상을 위해 자원을 이전하여 이윤을 추구하는 행위는 투자 결과가 불확실하기 때문에 기업가적 행위로 간주될 수 있다. 그러나 내생적 성장 모델이 기술 및 경제 발전의 원동력으로서 기업가정신의 문제를 명시적으로 다루는 것은 흔하지 않다. 이 섹션에서는 세 가지 예외 사항에 대해 설명한다. 첫 번째 예외는 Aghion & Howitt (1992)의 창조적 파괴 모델이다 (see also Aghion and Howitt, 1997; Howitt and Aghion, 1998). 두 번째 예외는 Peretto (1998;1999a;1999b)에 의한 내생적 시장 구조 모델이며 세 번째 예외는 Schmitz (1989)에 의해 개발된 모방 모델이다. 이 세 가지 예외 중에서 Aghion & Howitt의 모델이 가장 영향력이 있었고 우리는 그것을 좀 더 자세히 논의할 것이다.

Aghion & Howitt는 슘페터적 ‘창조적 파괴’ 개념을 이전 제품을 쓸모없게 만드는 새로운 제품을 개발하기 위해 기업이 연구에 자원을 투자함에 의한 성장 모델로 도입한다. 자본은 기본 모델에서는 배제되고 성장은 기술 진보로 얻어지는데, 이는 혁신을 발생시키는 기업들의 경쟁의 결과이다. 기업들은 성공적인 혁신 기술이 특허를 얻은 후에 (일시적) 독점 지대의 전망에 의해 동기부여 받는다. 다음 혁신은 기존의 상품이 슘페터적 기업가에 의해 구식이 되어짐에 따라 이러한 지대를 또 다시 파괴할 것이다. 우리는 Aghion & Howitt가 그들의 섹션 2에서 제시한 기본 모델의 단순한 버전에 대해 논의할 것이다. 비-수학적으로 관심이 있는 독자는 방정식 (5.8)이하로 진행하기를 원할 수 있다.


최종 소비재 y, 중간재 x, 최종재를 생산하기 위한 비숙련 노동 및 중간재를 생산하거나 또는 연구에 이용될 수 있는 숙련노동의 네 가지 유형이 있다고 가정한다. 미숙련 노동의 총량은 M으로 고정된다. 숙련노동의 총양은 N으로 고정되고, 연구에 사용되는 양은 n으로 표시되어 중간재 생산을 위해서는 N-n 단위가 남겨진다. 최종재는 (투입 요소인 비숙련노동 및 중간재를 가진) Cobb-Douglas유형의 생산함수를 사용하여 생산되는 것으로 가정하며, M이 고정되어 있으므로, 다음과 같이 기술될 수 있다.

(5.1) yt = At xtα 0 < α < 1


여기서 t는 기간의 인덱스이다. 매개변수 At는 기간 t에서 중간 투입물의 생산성을 나타낸다. 중간재는 연구에 사용되지 않는 숙련된 노동과 선형 기술을 사용하여 생산된다.


(5.2) xt = N − nt


혁신은 경제에서 혁신의 포아송 도달률이 λn인 무작위 순서로 도착한다 (Howitt and Aghion, 1998, 방정식 (6) 참조). 도달률은 연구로 투입의 현재 흐름에만 의존한다. 따라서 연구의 기술에는 기억이 없다. 기간의 인덱스 t는 새로운 혁신이 나타날 때마다 1씩 증가하므로 시간 인덱스는 아니다. t 에서 t+1 까지의 시간 간격의 길이는 무작위이며 매개변수 λnt 을 갖는 지수 분포를 갖는다. 이 시간 간격 동안 가격과 수량은 일정하다고 가정한다. 각각의 혁신(새로운 중간재의 발명)은 최종 재화 yt의 생산이 더 효율적이 되도록 하기 때문에 이전의 중간재를 쓸모없게 만든다. 효율성 증가는 요인 γ에 의해 결정된다.

(5.3) At = A0γt γ > 1


이 모델은 성공적인 혁신자가 중간 부문을 독점하는 데 사용되는 특허를 획득하는 것으로 가정된다는 의미에서 “승자독식” 모델이다. 특허 수명은 무한하다고 가정하지만 독점은 중간재가 다음 제품(vintage)로 대체되는 다음 혁신 때까지만 지속된다. 독점된 중간 부문을 제외하고 각 시장은 완전 경쟁적이라고 가정한다.

성공적인 혁신가는 일시적인 독점권을 가지며 이 기간 동안 이익을 극대화하려고 한다. 최종재 부문은 최종재의 가격을 ‘교환비율(numérair)’로 하여 독점자가 부과하는 가격인 pt인 yt − pt xt 를 최대화하기 위하여 중간재의 양 xt를 선택할 것이다. 그 1계 조건은 다음과 같다.


(5.4) pt =αAtxtα-1


독점기업은 이 조건을 고려하여 숙련노동의 임금수준을 wt로 하는 그 자신의 이윤 (αAtxtα-1 − wt )xt 을 최대화한다. 최적화는 이윤, 가격 및 중간재의 산출의 결과로서 주어진다.


(5.5) π t = { (1-α) / α }wtxt , pt = wt / α and xt = { wt / α2At }1/(α-1)


이제 연구에 투입된 자원의 양 nt 에 대해 알아본다. 연구 기술의 규모에 대한 지속적인 수익 때문에 연구를 수행하는 회사의 수는 불확실하다. 기간 t+1에 독점을 달성하기 위해 연구 활동을 수행하는 nt 단위의 숙련된 노동력을 고용하는 기업은 일시적 가치가 (nt에 의존하지 않는) Vt+1 인 성공적인 혁신을 가질 일시적 확률 λnt을 가질 것이다. 예상 수익 흐름은 λntVt+1 − wtnt 와 같으며 nt ≥ 0 에 대해 최대화된다. 연구 부문은 완전 경쟁이기 때문에 λVt+1는 임금 수준 wt과 동일하다.


값 Vt+1는 독점 이윤 πt+1 흐름의 예상 현재 가치 또는 다음과 같다.


(5.6) Vt+1 = πt+1 / (r + λnt+1) r > 0


여기서 r은 시간 선호도의 일정한 비율이다. 방정식 (5.6)은 현재 연구가 미래 연구에 부정적으로 의존한다는 Aghion and Howitt 모델의 중요한 특성을 보여준다. 창조적 파괴는 독점 임대료의 전망이 감소하기 때문에 현재 연구를 낙담시킨다.


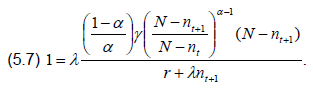
nt와 nt+1사이의 시간적 관계는 방정식 (5.2), (5.5) 및 (5.6)을 조건 wt = λVt+1에 대입하여 결정된다. 그 결과로 다음이 유도된다.



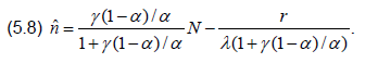
이제 우리는 nt = nt+1 = nˆ 인 (독특한) 정태 균형에 집중한다. 방정식 (5.7)에서 우리는 정태 균형값을 도출한다.



방정식 (5.8)은 정태균형 nˆ에서의 연구와 시장지배력의 정도 사이의 직접적인 관계를 보여준다. α값이 높을수록 시장 지배력이 낮다. 특히, 1−α는 Lerner 지수(가격에서 한계 비용을 가격으로 나눈 값을 뺀 값)이다. 따라서 슘페터적 기업가가 연구에 참여하려면 지대를 달성하기 위한 어느 정도의 시장 지배력이 필요하다. Aghion and Howitt (1992, p. 336)는 실질 생산량의 평균 성장률을 λnˆ ln(γ)로 유도했다. 기업가적 에너지를 끌어들이는 시장 지배력의 효과는 성장 과정에서 불완전 경쟁의 중요성을 보여준다.


이 Schumpeter적 모델에서 경쟁과 성장은 반비례 관계에 있으며 일반적으로 경험적 증거에 의해 뒷받침되지 않는다 (예: Nickell, 1996 참조). 따라서 Aghion and Howitt (1997)는 보다 경쟁적인 시장 구조가 경제 성장에 기여할 수 있음을 보여주기 위해 모델을 확장했다. Howitt and Aghion (1998)에서 저자는 창조적 파괴 모델에 자본을 추가한다. 그들은 자본 축적과 혁신이 성장 과정에서 상호 보완적인 과정이자 동등한 파트너임을 보여준다. Aghion and Howitt는 지식에 대한 목적적이고 이윤을 추구하는 투자를 이 작업을 수행하는 사람인 기업가와 연결함으로써 내생적 성장 문헌에 기여했다.

일련의 논문에서 Peretto는 내생적 시장 구조가 통합된 다른 종류의 내생적 성장 모델을 소개한다. 그의 모델은 투자와 R&D수익을 결정하는 중간 부문에서 다시 기업의 수가 핵심적인 역할을 한다. 그의 모델과 Aghion & Howitt(1992) 간의 중요한 차이는 중간 부문의 독점기업들이 원가절감 혁신의 지속적인 흐름을 산출하기 위하여 기업내 R&D 시설을 설정한다는 가정이다. 이는 Aghion & Howitt (1992)의 독립 연구 기업과는 다르다. Peretto (1999b) 모델에서 기업 수와 투자 수익률 및 R&D수익률 사이의 관계는 외부 규모의 경제 및 내부 규모의 경제 사이의 절충에 의해 결정된다. 외부 규모의 경제는 총산출이 중간재의 수에서 증가하고 있기 때문에 기업 간의 보완성의 결과이다. 따라서 그 모델에서 기업의 많은 수는 높은 전문화로 이어진다. 반면에, 많은 수의 기업들로 인한 시장의 분열은 작은 투자와 R&D 프로그램으로 이어지고, 성장은 느려진다. 기업의 수가 증가하면 전문화 효과를 통해 시장 규모가 증가하는 반면 각 기업의 시장 점유율은 단편화 효과를 통해 감소한다. 그 결과 기업의 수와 경제 성장 사이에는 혹 모양(hump-shaped)의 관계가 있다.

Peretto(1998)에서 기업가들은 더 눈에 띄는 역할을 한다. 그의 모델은 투자자-기업가가 수행하는 R&D(경쟁 자본주의)에서 생산 라인에 가까운 기성 기업 내에서 수행되는 R&D('담합 자본주의')로의 혁신의 현장 변화를 설명한다. 그 모델에서, 경제는 안정적인 산업 구조로 수렴하는데, 여기서 기업가적 R&D와 새로운 기업의 형성이 소멸되는 반면 성장은 기성 과점기업들에 의해 수행된 기업 R&D에 의해 유도된다. 약 1870년부터 1970년까지 대제조기업에 제휴된 기업 연구소는 상업적 R&D에 증가하는 책임을 져 온 것이 사실인 반면, 경제성장의 중요한 결정자로서 기업가적 에너지의 사라짐은 그 모델의 비현실적 특징이다. Peretto의 설정에서 기업가들은 새로운 차별화된 제품을 개발해야 하는데, 이는 기존업체와의 베르트랑(Bertrand) 경쟁에서 기존 제품 라인에 진입하면 매몰되는 진입비용 때문에 손실이 발생하게 된다. 진입자들은 "그들이 새로운 제품과 제조 운영에 필요한 지식을 만들어낼 때"(p. 58) 지식의 순수한 창조자이다. 보다 발전된 단계에서 Peretto의 모델의 경제는 기업가적 R&D에서 기업 R&D로의 전환을 경험하지만, 기업가정신은 경제발전에서 핵심적인 역할을 한다: 중요한 수의 기업이 시장에 진입했을 때만 기성기업들은 R&D에 투자를 시작한다. Peretto 모델의 핵심 결과는 “기업의 수와 안정상태 성장 간 역U 관계이다”(Peretto, 1999a, p. 1762). 라는 것이다.


Schmitz (1989)는 기업가적 활동과 경제 성장을 관련시키는 내생적 성장 모델을 최초로 제시했다. 그러나 그의 기업가들은 그들의 역할이 ‘모방’의 역할로 제한되기 때문에 다른 모델들에서보다 더 '수동적'이다. 이것은 Schmitz 모델이 Aghion and Howitt 모델보다 영향력이 덜한 이유일 것이다. 그의 모델은 경제에서 기업가들의 균형 비율이 사회적 최적 수준보다 낮다는 것을 암시하며 기업가적 활동을 촉진하는 정책에 대한 근거를 제공한다. 우리는 (특정 개념의) 기업가정신이 성장에 도움이 되지 않을 수도 있는 내생적 성장 모델을 설정할 수도 있음을 강조하면서 이 섹션을 마무리한다. Peng (2000)은 기업가들이 연구를 하지 않고 연구 프로젝트를 선택하는 모델을 만든다. 그는 지대추구 요소 때문에 기업가정신의 실행에서 부정적인 관계를 발견한다.


6. 경험적 증거

기업가정신이 경제 성장에 미치는 영향을 보여 주는 경험적 문헌에는 여러 가닥이 있다. 우리는 4 줄기의 경험적 연구에 집중할 것이다. 첫 번째는 경제 성장에 미치는 격동(turbulence)의 영향에 대한 문제를 다룰 것이다. 격동 즉, 산업이나 지역에서 진입과 퇴출의 합은 기업가적 활동의 지표로 해석될 수 있다. 두 번째 가닥은 후속 경제 성장에 따른 지역의 규모 분포 (변화)의 영향에 초점을 맞춘다. 한 지역이 다른 지역에 비해 중소기업 비중이 더 높은 경우 이는 더 높은 수준의 기업가적 활동을 나타낼 수 있다. 세 번째 가닥은 한 산업에서 시장 참가자의 수가 경제성장에 미치는 영향을 조사한다. 경쟁자의 수가 증가하는 것은 대개 더 집약적인 기업가적 활동과 관련이 있다. 네 번째 가닥의 경험적인 문헌은 자기고용(사업주)의 수가 후속 성장에 미치는 영향에 초점을 맞추고 있다. 선진국에서 자기고용 비율은 기업가적 활동의 정도와 관련이 있을 것이다. 새로운 기업들은 대개 자기 고용, 좁은 의미에서, 즉 임금을 받는 종업원이 없는 단계에서부터 시작한다. 자기고용과 진보 사이의 관계에 대한 증거의 다섯 번째이자 마지막 원천은 과거 중앙집권화된 계획 경제의 역사이다. 이러한 경제의 특징은 중소기업(그리고 생산 수단의 개인 소유)의 거의 완전한 부재였으며, 이러한 극단적인 독점화는 1996년 국가 사회주의 붕괴를 초래한 주요 요인들 중 하나였다 (Acs 1996). 소기업의 발전은 동유럽에서 현재의 전환 과정의 중요한 부분으로 여겨진다. 이 마지막 증거 출처는 본 장에서 논의되지 않을 것이다.


후속 경제 성장에 미치는 격동의 영향에 대한 경험적 증거가 섞여 있다. Caves(1998, p.1973)는 단기적으로 진입과 퇴출에서의 전환이 산업의 생산성 성장에 아주 작은 기여를 하는 것으로 보인다고 결론짓는다. 그러나 장기적으로 봤을 때 진입-퇴출 수익은 보다 중요하다고 그는 덧붙였다. Bosma and Nieuwenhuijsen (2000)은 1988-96년 동안 네덜란드 40개 지역에 대한 데이터를 사용하여 격동이 서비스 부문의 총 요소 생산성 성장에 긍정적인 영향을 미치고, 그러나 제조업에서는 그렇지는 않았다는 것을 발견한다.


다른 문헌은 기업가정신이 지역수준에서 후속 경제 성과에 미치는 영향에 초점을 맞추고 있다. 이러한 연구에 대한 관찰 단위는 도시, 지역 또는 국가 등의 공간 수준에 있다. 가장 일반적이고 배타적인 성과 척도는 일반적으로 고용 성장 측면에서 측정되는 성장이다. 이러한 연구들은 기업가적 활동의 다양한 척도, 거의 대부분은 창업 비율을 경제 성장과 연결시키려고 노력해 왔다. 가끔 사용되는 다른 척도로는 중소기업의 상대적 비율과 자기고용 비율이 있다.

Reynolds (1999)는 여러 가지 방법의 1980-92년 기간 연구에 대한 미국의 지역 정보를 이용한 경제 성장과 관련된 격동의 증거를 찾는다. Acs & Armington(2002)은 기업가정신의 척도를 지역 수준의 성장과 연계시킨다. 그들의 논문은 세 가지 중요한 기여를 한다. 첫째로, 그들의 접근법은 선택된 산업보다는 전체 민간 부문 경제에 대한 데이터를 포함하여 더 포괄적이다. 둘째, 분석 단위는 단순한 도시가 아니라 전체 시골 경제 지역(미국 전역을 포괄하는 394 노동 시장 지역)으로, 일반적으로 대도시 지역과 종업원과 소비자 모두를 끌어 모으는 주변 시골 지역을 포함한다. 셋째로, 그들은 기업가적 활동의 직접적인 측정, 이들 지역 경제의 새로운 출산율을 사용한다. 그들은 기업가적 활동의 증가가 지역 경제의 더 높은 성장률로 이어진다는 가설을 시험한다. 그들은 높은 수준의 기업가적 활동이 심지어 설립 규모와 응집 효과를 통제한 후에도 더 높은 성장률과 강하게 연관되어 있다는 것을 발견한다.


Audretsch & Fritsch(1996)는 독일의 사회 보험 통계에서 나온 신규 창업과 퇴출을 식별하는 데이터베이스를 분석하여 슘페터가 그의 1911년 논문에서 제시한 바와 같이, 격동이 크면 클수록 더 큰 경제성장을 이끄는지를 조사한다. 이러한 사회 보험 통계는 개인별로 수집된다. 데이터베이스의 각 기록은 개인이 고용된 기관을 식별한다. 신규 기업의 설립은 데이터베이스에 신규 설립 식별이 나타날 때 기록되며, 이는 일반적으로 신규 기업의 탄생을 나타낸다. 미국이 지역 차원에서 더 높은 수준의 격동을 지역의 더 높은 성장률(Reynolds, 1999)과 연계시킨 증거가 있지만, Audretsch & Fritsch(1996)는 1980년대에 독일에서는 그 반대가 진실이었다는 것을 발견한다. 제조업과 서비스업 모두에서, 지역 내 높은 격동 비율은 더 높은 성장률이 아닌 더 낮은 성장률로 이어지는 경향이 있다. 그들은 이러한 부정적인 관계가 그 기저의 요소들이 - 창업률과 폐업률 - 후속 경제 성장과 부정적인 관계가 있다는 사실에 기인한다고 본다. 창업률이 높은 지역은 이후 몇 년간 더 낮은 성장률을 보이는 경향이 있다. 가장 놀라운 것은 폐업률에서도 마찬가지이다. 폐업률이 더 높은 독일 지역 역시 그 후 몇 년간 더 낮은 성장율을 보이는 경향이 있다. 독일에서 유사한 증거는 Fritsch(1997)에 의해서도 발견된다.


Audretsch & Fritsch(1996)는 미국과 독일 사이의 결과 차이에 대한 하나의 가능한 설명은 혁신적인 활동 그리고 따라서 궁극적으로 기존의 기업을 대체하는 새로운 기업의 능력이 신생기업 설립에서 기여하는 역할에 달려 있을 수 있다고 제안했다. 혁신적인 활동은 독일 중소기업(Mittelstand)에서 미국의 중소기업에서와 같은 역할을 하지 않았을 수도 있다. 이것이 사실이라면, 지역 성장은 중소기업들이 혁신적인 활동을 통한 변화의 주체로 작용할 때에만 생겨날 것이다.


경험적 증거에 따르면 독일의 성장 모델은 미국의 그것과 뚜렷한 대조를 보였다. Reynolds (1999)는 기업가정신의 정도가 미국의 성장과 긍정적으로 관련되어 있다는 것을 발견했지만, Audretsch & Fritsch(1996)의 일련의 연구와 Fritsch(1997)는 그러한 관계를 확인할 수 없었다. 그러나, Audretsch & Fritsch에 의한 결과는 1980년대의 자료에 기초했다.


1980년대 미국과 독일에서 기업가적 활동의 정도와 경제 성장 사이의 관계에 관한 분기하는 발견들은 다소 수수께끼 같은 것을 제기했다. 한편으로, 이러한 다른 결과는 기업가정신과 성장 사이의 관계가 모호함으로 가득 차 있음을 시사했다. 선진국들 전반에 걸친 일반적인 패턴에 대한 확인을 찾을 수 없었다. 반면에, 그것은 독특하고 다른 국가 시스템의 존재에 대한 증거를 제공했다. 경험적 증거는 적어도 다른 국가들에 걸쳐 성장을 달성할 수 있는 방법이 여러 가지가 있다는 것을 분명히 보여 주었다. 성장률의 수렴은 기저의 제도와 구조의 차이를 유지함으로써 달성할 수 있는 것처럼 보였다. 하지만, 보다 최근의 연구에서, Audretsch & Fritsch(2002)는 1990년대에 다른 결과가 나타난다는 것을 발견했다. 창업률이 높은 지역은 증가율이 높다. 이것은 사실 독일이 시간이 지나면서 변화하고 있는데, 여기서 성장의 동력이 성장의 원천으로서 기업가정신으로 이동하고 있다는 것을 암시한다. 그들의 2002년 논문의 결과는 무언가 다른 해석을 제안한다. 독일의 성장 원천이 1980년대에 기성 기업에서 1990년대에 기업가적 기업으로 옮겨 갔다는 설득력 있는 경험적 증거에 기초하여, 수렴과정이 독일과 미국 사이에서 일어나고 있는데, 여기서 기업가정신은 양국 모두에서 성장의 엔진을 제공하고 있는 것으로 나타난다. 여전히 제도적인 차이가 남아 있음에도 불구하고 기업가정신과 성장 사이의 관계는 분명히 양국에서 수렴되고 있다.


지역 차원에서 기업가정신과 성장 사이의 긍정적인 관계는 1990년 독일에만 국한되지 않는다. 예를 들어, Foelster(2000)는 1976-1995년 사이에 스웨덴에서 신규 및 중소기업의 고용 영향뿐만 아니라 자기고용 및 총 고용 증가 간의 전반적인 연관성을 조사한다. 그는 Layard-Nickell 프레임워크를 사용함으로써 미시적 행동과 거시 경제적 성과의 연계를 제공하며, 스웨덴에서 자기고용률의 증가가 지역 고용률에 긍정적인 영향을 미쳤음을 보여 준다. Hart & Hanvey(1995)는 1980년대 후반 영국의 세 지역에 대한 신규 및 중소기업의 척도를 고용 창출과 연계시켰다. 그들은 고용 창출이 주로 중소기업에서 이루어졌다는 사실을 발견했지만, 그들은 또한 대부분의 일자리 상실이 중소기업에서 발생했다는 것을 식별했다. Callegon & Segarra(1999)는 1980년부터 1992년 사이에 스페인 제조업의 데이터 세트를 사용하여 함께 모여 격동의 척도를 구성하는 신생기업 창업률과 폐업률을 산업과 지역에서의 전체 생산성 성장률과 연계한다. 그들은 새로운 진입자들이 이용 가능한 첨단 기술을 구체화하고 퇴출 기업들은 한계의 쓸모없는 공장들을 표현하는 유서 깊은 자본 프레임워크에 기초한 모델을 채택한다. 불완전 경쟁과 규모의 경제의 정도를 관리하는 홀(Hall) 형의 생산함수를 활용하여 새로운 기업의 창업률과 폐업률이 산업뿐만 아니라 지역에서 총 요소 생산성 성장에 긍정적으로 기여한다는 사실을 발견한다.


적어도 1980년대 후반과 1990년대 초반의 데이터에 대해서는 기업의 규모 분포 (변화)가 후속 성장 성과에 미치는 영향의 경험적 증거가 더 명확해 보인다. Carree and Thurik(1998,1999a)은 1990년 유럽 국가의 제조업에서 중소기업의 비율이 후속 4년간 산업 산출 성장에 긍정적인 영향을 미쳤음을 보여준다. Thurik(1996)은 중소기업의 과도한 성장이 1988년부터 1993년까지 16개 유럽 국가의 표본으로서 국민 총생산의 백분율 변화에 긍정적인 영향을 미쳤다고 보고했다. Robbins, Pantuosco, Parker and Fuller (2000)는 1986-95년 기간 동안 48개의 미국 주를 분석했고 (매우) 작은 사업고용의 더 높은 비율을 가진 주들이 생산성 성장과 주(state) 총생산 성장의 더 높은 수준을 경험하는 것을 발견한다. Audretsch, Carree, van Stel and Thurik (2002)은 17개 유럽 국가들이 산업 구조가 대기업에서 중소기업으로 옮겨 가지 못하는 경우 경제성장의 결과가 오히려 크다는 증거를 찾았다. 마찬가지로, Carree(2002년)는 1977-90년 사이에 작은 몸집 줄이기를 겪은 제조업이 국제적으로 비교해 볼 때 후속 성장률이 저조했다는 5대 경제 대국(프랑스, 독일, 일본, 영국, 미국)의 증거를 보여 준다.


Nickell (1996), Nickell, Nicolitsas and Dryden (1997) 및 Lever and Nieuwenhuijsen (1999)는 경쟁자의 증가로 측정된 경쟁이 총요소생산성 성장률에 긍정적인 효과를 가짐을 보여 준다. 이러한 긍정적인 효과는 새로운 기업의 총 진입 속도의 지체와 함께 79개 영국 제조업의 전반적인 생산성 성장률이 증가한 것을 Geroski(1989)가 발견한 것과 일치한다. 이러한 발견의 한 가지 이유는 증가하는 시장 참여자들과 증가한 기업가적 활동이 종종 함께 하기 때문이다. 시장 참가자의 수가 지역 경제 성장에 미치는 영향에 대한 연구도 있었다. Glaeser, Kallal, Scheinkman & Shleifer(1992)는 지역 부문 성장의 결정 요인인 전문화, 다양성 및 경쟁을 조사한다. 그들은 노동자 당 사업의 상대적인 숫자로 측정되는 지역 경쟁이 산업에서의 고용 성장을 촉진한다는 것을 발견한다. Fritsch(1997)와 Audretsch & Fritsch(2002)는 독일 지역의 창업 활동을 후속 성장과 관련시킨다. 그들은 독일에게 창업이 경제 성장에 미치는 영향은 1980년대에는 없었지만 1990년대에는 긍정적이 되었다는 것을 발견한다.


문헌의 네 번째 줄기는 자기고용이 성장에 미치는 영향에 초점을 맞추기 시작했다. Blanchflower (2000, p.497)는 OECD 회원국들의 자영업 비율이 증가가 경제성장을 증가시켰다는 증거를 찾지 못했다. 그러나 그는 국가 간 비교 가능성 부족으로 어려움을 겪고 있는 수정되지 않은 OECD노동력 통계 자료를 사용하였는데, 그 자료는 추가적인 경우에서도 계수 절차의 변화로 인해 시간 경과에 따른 비교 가능성이 부족하다. 최근의 논문에서, Carree, van Stel, Thurik and Wennekers (2002)는 경제 발전의 비교적 높은 수준에서 "균형" 사업 소유 비율에서 벗어나는 국가들이 경제 성장에서 고통을 받는지 여부를 조사한다. 그들의 관점에서 사업소유주의 실제와 균형비율의 이탈은 중기적으로 경제의 성장잠재력을 감소시킬 것이다. 사업소유주들의 부족은 국가경제의 정태적인 효율성과 경쟁력에 해로운 영향을 미치면서 경쟁을 감소시킬 것 같다. 또한 다양성, 학습 및 선택이 감소하고 따라서 동적 효율성(혁신)이 손상된다. 반면에, 자기 고용의 과잉은 평균적인 규모의 운영이 최적 이하로 유지되도록 할 것이다. 그것은 다른 곳에서 더 생산적으로 할당될 수 있었던 자본과 인적 에너지를 흡수하는 다수의 한계 기업들을 초래할 것이다. 그들은 사업 소유의 "균형" 비율을 자본당 GDP의 함수로써 결정하는 오류-수정 모델을 개발한다. 수정된 OECD노동력 통계 자료를 사용하여 그들이 추정한 "균형" 관계는 실제의 (수정된) G7국가 데이터와 함께 그림 2에 제시된다. 추정 결과에 따르면 실제 사업 소유주 수가 "균형" 비율에서 벗어나면 경제 성장에 상당한 부정적 영향을 미친다.



그림 2는 대부분의 국가가 균형값에 비해 자기고용이 너무 적다는 것을 보여 준다. 분명한 예외는 이탈리아이다. 이는 이탈리아의 높은 자기고용 수준이 효율적이지 않다는 것을 보여 준다. 이탈리아에서 자기고용은 경제성장에 상대적으로 큰 부정적 영향을 준다. 균형값에 비교하여 낮은 사업소유율을 가진 국가들에는 스칸디나비아 국가들이 포함된다. 이들 경제는 대규모 공공 부문, 상대적으로 낮은 진입률 및 퇴출률, 그리고 높은 세금으로 특징지어진다. Eliasson(1995)과 Braunerhjem and Carlsson(1999)은 1980년대 스웨덴의 상대적으로 나쁜 경제 실적의 일부를 제한적인 민간 주도와 구조 조정의 부족 탓으로 돌렸다. 상대적으로 낮은 사업소유율을 가진 또 다른 국가는 독일이다. 또한 그림 2는 적어도 최근까지 독일이 예를 들면 영국과 같은 곳에서 행해진 구조 조정에 실패했음을 보여 준다. Klodt (1990)는 (서)독일의 산업 정책이 보조금을 받는 대규모 산업에서의 구조적 변화를 억제하고 있다고 비난했다. 1990년대 중반까지 독일에서 신규 기업과 산업의 활기 찬 부문이 부족한 중요한 이유는 혁신적인 활동에 대한 높은 장벽 때문이었다 (Audretsch 2000).


통계 정보가 종종 소유권 측면에서 이용 가능하기 때문에 자기고용의 수가 기업가정신의 척도가 될 수 있다는 점을 강조해야 한다. 그러나 이 척도는 오해를 불러일으킬 수 있다. 예를 들어, 독일에 비해 이탈리아에서 상대적으로 높은 수의 자기 고용자들이 슘페터적 기업가정신의 높은 수준을 표현하는지 아니면 단지 한계 기업의 수에 영향을 미치는 경제발전의 시간지체인지 또는 단지 부문 구성의 차이인지 여부는 알려져 있지 않다. 최근의 경험적 연구에서는 다른 근사치가 제시된다. Audretsch (1995)는 살아남은 신생 기업의 고용 비율을 제조업의 기업가적 활동을 위한 대리인(proxy)으로 사용한다. 이 변수는 이러한 산업들의 비교 기업가적 위치를 충분히 표현할 수 있다. 제조업 외에도, 이 변수는 프랜차이즈 기업과 한계 또는 시간제 창업의 발생으로 인해 편향될 수 있다. 게다가, 신규 및 기존 기업에서의 사내기업가정신 비율은 부족하다.



7. 미래 분석과 정책 이슈


우리는 기업가적 활동을 경제 성장과 관련시키는 프레임워크가 최소한 4가지 요소에 달려 있을 것으로 예상한다. 첫째, 성장 과정에서 지식 외부 효과의 역할을 강조하는 성장의 미시 경제 기반을 확인하는 문헌이다(Romer, 1986, 1994). 둘째, 그림 1에서 언급한 것과 같은 중간 연계를 식별해야 한다. 셋째, 기업가적 활동과 성장 사이의 관계에서 이중 인과 관계를 다루어야 한다. 그리고 마지막으로, 다양한 수준의 분석을 연결하는 동시에 다원 학제적 특성을 고려해야 한다. 일부 정책 이슈를 토의하기 전에 우리는 Wennekers and Thurik (1999)로부터 유도된 한 프레임워크를 먼저 제시할 것이다.


미래 분석을 위한 한 프레임워크

그림 3은 문헌의 다양한 가닥들로부터 얻은 많은 통찰에서 영감을 받은 한 프레임워크를 보여 준다. 기업가정신과 경제 성장을 연계하는 것은 기업에 대한 개인 수준과 거시 수준을 연결하는 것을 의미하기 때문에 세 가지 수준의 분석이 구별된다.



기업가적인 행동은 기업 수준에서 일어난다. 기업가들은 그들의 개인적 자질과 야망을 행동으로 바꾸는 수단이 필요하다. 기업가가 지배 지분을 갖고 있는 중소기업은 그러한 수단을 제공한다. 대기업은 종종 소규모 기업(사업부, 자회사 및 합작 벤처와 같은 조직 형태 사용)을 가장하여 기업 기업가정신이나 사내기업가정신을 도입한다. 기업 수준에서 이러한 기업가적 표현의 결과는 일반적으로 '참신함'과 관련이 있다. 이것은 제품, 프로세스와 조직 혁신, 새로운 시장 진입 및 혁신적인 사업 스타트업을 통한 새로움이 될 수 있다.


산업, 지역 및 국가 경제의 종합적인 수준에서 많은 개별 기업가적 활동이 새로운 실험의 모자이크를 구성한다. 진화적으로 이것은 다양성이라 불릴 수 있다. 이러한 다양한 새로운 아이디어와 이니셔티브 간의 경쟁 과정이 발생하여 가장 유망한 기업과 산업의 선정을 지속적으로 유도한다. 다양성, 경쟁, 선택과 또한 모방은 지역 또는 국가 경제의 생산적 잠재력을 (쓸모없는 기업의 대체 또는 퇴출에 의해, 더 높은 생산성에 의해 그리고 새로운 틈새시장과 산업으로의 확장에 의해) 확장하고 변화시킨다.


이 과정에서 슘페터적 기업가, 사내기업가, 관지자적 사업소유주들이 모두 자신들의 역할을 한다 (표 1 참조). 개별 수준에서 집계 수준으로의 링크 옆에는 중요한 피드백 메커니즘이 있다. 다양성 속에서 경쟁과 선택은 의심할 여지 없이 개인(과 기업)이 그들 자신과 타인의 성공과 실패로부터 배울 수 있게 해 준다. 이러한 학습 과정을 통해 개인은 그들의 기예를 향상시키고 태도를 적응시킬 수 있다. 이러한 소위 유출(spillovers)의 결과는 새로운 기업가적 활동이 될 것이며, 반복적인 연계 고리를 만들 것이다.

명백히 이러한 동적 프로세스의 결과는 그림 3에서 언급한 것과 같은 일련의 조건에 따라 결정된다. 첫째, 국가 (또는 지역) 문화 환경과 기업의 내부 문화를 말한다. 문화와 기업가정신 사이의 연계는 결코 단순하고 직접적이지 않으며, 이러한 과정에 대해서는 아직도 많이 알려져 있지 않다. 국가의 흥망 성쇠의 역사는 문화적 활력, 번성하는 과학과 기업가정신의 만조가 종종 일치한다는 것을 보여 주었다 (Wennekers and Thurik, 1999). 둘째로, 국가적 차원과 기업 수준 내 모두에서 기구(제도)적 프레임워크는 개인들이 그들의 야망을 행동으로 옮길 유인을 규정하고, 불필요한 장벽이 어느 정도까지 그들을 방해할지 결정한다. 기업가정신의 개발을 위한 기구(제도)의 중요성은 가장 중요하며 추가 연구가 필요하다.

일부 정책 이슈

모든 현대 경제에서 일반적인 공공 정책의 핵심 목표 중 하나는 성장의 생성과 고용 창출이다. 성장과 일자리 창출을 위한 정책 논의의 상당 부분은 거시 경제적 틀에 의존해 왔고 전통적인 거시 경제 정책 수단에 초점을 맞추었다. 이 장의 서베이는 성장과 고용을 창출하기 위해 다르면서 보다 덜 전통적인 도구가 중요한 역할을 한다는 것을 – 기업가정신을 창출하고 촉진하는 정책(OECD, 1998) - 암시한다. 이 장에서 조사된 경험적 증거는 기업가적 활동의 증가를 경험한 국가들이 더 높은 성장률을 누렸음을 또한 시사한다. 그러나 기업가정신이 왜 성장을 일으키는지, 그 실제 메커니즘, 즉 중간 연계는 덜 명확하다. 현재의 장은 기업가정신의 미시적 기초를 분석하면서 이론적임과 동시에 경험적인 풍부한 문헌에 의존한다. 기업가정신은 혁신과 변화를 위한 운반체(수레vehicle)로서, 따라서 지식 유출을 위한 도관으로서 역할을 하기 때문에 성장을 창출한다. 따라서 현대 경제의 비교 우위가 지식기반 경제 활동으로 옮겨 가는 증가하는 세계화 체제에서 기업가정신은 더 중요한 역할을 할 뿐만 아니라 그러한 기업가정신의 영향이 성장을 발생시킨다. 이로 인해 You는 "경제 발전에 관한 모든 정책 권고안은 경제 성장의 엔진인 기업가정신을 통합한 분석에 근거해야 한다"고 주장하게 되었다 (You, 1998, p.906). 이와 유사하게 Holcombe는 "기업가정신을 경제 성장의 틀 안에 통합하는 것은 성장 과정을 더 이해하기 쉽게 하기 위해 제도적 세부 사항을 채울 뿐만 아니라, 경제 성장을 육성하기 위한 보다 유망한 경제 정책 권고안을 제시한다"라고 주장한다 (Holcombe, 1998, p.60).

서유럽과 북미의 비교 우위가 새로운 지식에 기초하여 점차 증가함에 따라, 비즈니스에 대한 공공 정책은 두 가지 기본적인 방법으로 대응해 왔다. 첫 번째는 기업의 계약에 대한 자유를 근본적으로 구속하는 정책 수단의 전통적인 세 기둥인 규제, 경쟁 정책 또는 반독점 및 기업의 공적 소유에서부터 벗어나 정책의 초점을 옮기는 것이었다. 제약의 정책 접근은 주요 이슈가 상당한 시장 지배력을 가진 제멋대로의 다국적 기업들을 어떻게 제지하느냐 하는 것이라면 합리적이었다. 그 대신 지식의 창조와 상업화를 활성화하는 것에 초점을 맞춘 새로운 정책 접근 방식이 등장하고 있다 (Audretsch and Thurik, 2001a). 그러한 정책의 예로는 R&D, 벤처 캐피털 및 신생 기업의 촉진 등이 있다. 제약에서 활성화 정책으로의 이동은 슘페터 Mark Ⅱ 체제에서 슘페터 Mark Ⅰ 체제로의 이동과 함께 진행된다. 두 번째 근본적인 이동은 그러한 활성화 정책의 중심지를 포함하며, 지구적(regional) 또는 심지어 지역(local) 수준에서 점차 증가하고 있다. 지난 10년간 전통적인 규제 기관의 관할 밖에 있는 광범위한 활성화 정책 추진 과제가 등장했다. 중소기업을 위한 유럽 관측소(European Observatory for SMES)의 이슈를 예로 들어 보자 (EIM/ENSR, 1993 through 1997 and European Commission, 2000). 현재 10년은 훨씬 더 많이 그러한 활성화 정책을 증거할 것이다.