고객의 마음이 풍요로워지는
비즈니스 전략

'단골 고객의 소금' 고객 경험을 통한 고객가치를 제공하라

by 물고기


1만 명 회원 달성 기념행사 제목 "고객들이 웃으면서 행복한 시간 즐기기"


그룹의 미션은 ‘고객을 행복하게 세상을 풍요롭게’이다.


코로나 팬데믹 시대에도 대형 유통 백화점으로 고객이 몰려드는 이유는 무엇일까?


고객의 마음이 풍요로워지는 비즈니스 전략을 실천하고 있기 때문이다.


고객을 행복하게 하는 고객가치를 제공함으로써 고객의 마음을 풍요롭게 만들고 있다. 새로운 콘텐츠 제공을 통한 지속적인 변화를 통해 고객들에게 즐거움을 준다. 고정고객들에게는 편안하게 쉴 수 있는 공간을 만들어 주고 즐거운 쇼핑을 위해 고객 관계 활동을 주기적으로 하고 있다.


이러한 커뮤니케이션 관계 활동을 통해 고객 가치를 제공하여 고객 신뢰를 확보하였다. 이것이 코로나 팬데믹 상황에서도 고객이 꾸준히 찾게 되는 이유이다.


고객 가치 제안(Customer Value Proposition)은 마케팅 용어로 고객에게 비즈니스를 제공할 수 있는 가치를 말한다.


고객과의 관계 활동인 고객가치 제안을 실제 사례이다.

일본의 햄버거 스테이크 전문점 스미토료 ‘단골 고객의 소금’이 있다. 이 소금은 2번 방문한 고객부터 사용할 수 있는 소금이다. ‘단골손님 소금’을 통해 장난기 가득한 요소가 맛있게 즐길 수 있는 경험을 제공한다. 이것이 바로 고객이 즐거움을 얻는 가치이다.


일본의 이탈리안 레스토랑 ‘페세 아주로’는 도시락에 작은 아이디어를 도시락에 담아서 배달했다. 이탈리아 피렌체 풍경이 그려진 식탁 테이블, 포크, 나이프, 앞치마도 준비했다. 도시락 박스 디자인도 이탈리아 국기 색깔의 포장지로 포장하였다. 도시락 세트를 주문한 손님이 가게에도 찾아오게 된 것이다.


코로나 때문에 외식을 못 했는데 도시락 세트를 먹으니 ‘페세 아주로’라는 이 가게 분위기가 어떤지 무척 궁금해서 방문했다는 것이다.


또 다른 예로 작은 소도시의 한 가게는 1만 명 회원 달성 기념행사를 하였다.

제목도 특이하다. ‘고객들이 웃으면서 행복한 시간 즐기기’이다.

1) 초대장. 입장권 발행하여 미리 행사를 안내한다

2) 특별한 공간을 꾸미는데 콘서트장과 같은 음악과 분위기를 만든다

3) 재미있는 퍼포먼스를 진행한다

4) 단골 고객들이 등장하여 무대에서 인사하고, 에피소드들을 인터뷰한다.

5) 디자이너 등 직원들을 소개한다.

6) 새로 개발한 상품을 설명하고, 경매 행사와 다양한 이벤트를 한다.

7) O, X 퀴즈를 하고 경품을 증정한다.

☞ 재미있는 사회자, 옥션 전문 사회자 섭외하여 코믹하게 진행


우리나라에서 이런 행사를 본 일이 있는가?


상상만 하여도 즐거움과 고객 감동이다. 코로나 팬데믹 상황에서 고객을 내 가게로 오게 하는 것은 쉽지 않다.

잘되는 가게들의 단골고객 만들기, 성공한 가게 따라 하기를 통해 아이디어를 만드는 기획자, 디자이너로 바뀌어 가는 것이 더 중요하다.


기업은 경영 철학으로서의 마케팅, 즉 마케팅 콘셉트의 생애 가치가 높은 잠재 고객들에게 경쟁자보다 더 높은 가치를 제공함으로써, 이들을 고객으로 확보하고 유지하도록 노력하는 것을 핵심 가치로 삼고 있다. 이렇게 함으로써 기업은 지속적으로 매출과 높은 이익을 거둘 수 있다.


고객 생애 가치(Customer Lifetime Value)는 소비자가 평생에 걸쳐 구매할 것으로 예상되는 이익 흐름에 대한 현재가치를 말하며, 장기적인 관점에서 판매자가 수익성을 극대화하기 위해 사용하는 개념이다.


소비자 한 명이 하나의 상품 혹은 기업의 고객으로 남아있는 기간 동안 발생하는 수익의 총합계를 말하는 것으로, 1988년 로버트 쇼(Robert Shaw)의 『데이터베이스 마케팅』에서 처음 소개됐다. 한 명의 고객이 일회적인 소비로 그치는 것이 아니라, 평생에 걸쳐 자사의 제품이나 서비스를 주기적으로 소비한다는 가정하에 고객가치를 측정한다.


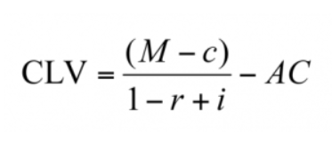
고객 생애가치를 계산하는 방법은 고려되는 비용과 기간 등의 요인에 따라 조금씩 달라지며, 매년 발생하는 고객으로부터의 이익과 고객 유지비율이 일정하다고 가정하였을 때, 고객 생애가치의 기본적인 계산 방법은 다음과 같다.

image01.png 고객 생애가치의 기본적인 계산 방법

M : 고객 1인당 평균 매출, (보통 1년 단위 = 객단가)

c : 고객 1인당 평균 비용, (보통 1년 단위)

r : 고객 유지 비율(Retention Rate), 즉 어떤 고객이 다음 해에도 여전히 남아 있을 확률

i : 이자율 또는 할인율

AC : 고객 획득 비용(Acquisition Cost), 고객이 첫 방문 또는 첫 구매를 하게 하는데 드는 비용

위 식에서 고객 유지비율(retention rate)은 특정한 고객이 다음 해에도 고객으로 유지될 확률을 의미하며, 고객 획득 비용(Acquisition Cost)은 고객이 첫 방문 또는 구매하도록 하는 데 드는 비용으로서 광고비 등이 이에 해당한다.


예를 들어, 평균 매출은 $15, 고객 1인당 평균 비용은 $8, 고객 유지비율은 70%, 할인율은 10%, 고객 획득 비용은 $5라고 가정하면, 고객 생애가치는 $12.5이다.


고객 생애가치는 기업의 지속적인 수익 창출을 위해 고객 유치 비용(고객 획득 비용)을 줄이고, 고객 유지비율을 높게 유지하도록 마케팅 전략을 수립하는 것이 중요하다는 점을 시사한다.

(출처:네이버 지식백과, 고객 생애 가치“Customer Lifetime Value, CLV)”, 두산백과)


tip

고객 경험을 통한 고객 가치를 제공하라

10주년 기념 또는 매출 1억 달성 기념 ‘웃으면서 행복한 시간 즐기기’

1) 행사를 사전에 미리 안내한다

2) 상품의 세일을 많이 한다

3) 고객들과 노래자랑 대회, O, X 퀴즈를 하고 경품을 준다

4) 신상품을 설명하고 브런치를 준비한다.

5) 고객들에게 정성을 담은 Gift 떡, 와인을 증정한다.


※ 참고 문헌 : 1. 고사카 유지, 강지원 옮김, 『고객 소멸 시대 마케팅』, 파지크, 2022

2. 네이버 지식백과, 고객 생애 가치“Customer Lifetime Value, CLV)”, 두산백과




keyword
물고기 커리어 분야 크리에이터 소속 팀장 직업 기획자 프로필
팔로워 546
이전 22화단골 고객 1명이, 일반 고객 10명보다 더 낫다