브런치북 90호 시작 11화

[경영] 상우의 60억짜리 선물

편집부원 서동명

by 상경논총

“선물? 선물로 그 돈을 써? 아, 누구 선물을 얼마나 비싼 걸 산 거야? 여자 생겼냐?”


이는 넷플릭스의 드라마 ‘오징어 게임’ 중 선물로 60억을 잃은 ‘상우’에게 ‘기훈’이 한 대사이다. 위의 대사를 듣고 사람들의 반응은 세 가지로 갈렸을 것이다. 웃거나 웃지 않거나 혹은 웃지 못하거나. 웃지 못한 사람과 더불어 기훈은 파생상품의 한 종류인 ‘선물(Futures)’을 평소에 접할 기회가 많지 않아 이러한 상황이 발생하였다고 생각한다. 이렇듯 일반적으로 선물(Futures)은 선물(Present)에 비해 익숙한 개념은 아니다. 또한, 선물과 함께 파생상품의 일종인 ‘옵션’ 역시 평소에 파생상품에 관심이 없다면 생소한 개념일 것이다. 따라서, 본 글에서는 선물과 옵션을 소개함으로써 이들과 여러분이 좀 더 친해지도록 하여 다음에 이들과 만날 기회가 있을 때, 어색한 표정보단 환한 미소로 마주할 수 있게 하고자 한다. 더불어, 상우가 선물을 통하여 어떻게 저렇게 큰돈을 잃게 되었는지를 알아보면서 파생상품의 위험성에 대한 경각심을 일깨우고자 한다.




파생상품이란?

앞서 언급했듯이 선물과 옵션은 파생상품에 해당한다. 그렇다면 파생상품이란 무엇일까? 파생상품이란 주식과 채권 등 전통적인 금융상품을 기초자산으로 하여 기초자산의 가치변동에 따라 가격이 결정되는 금융상품을 말한다.[1] 즉, 파생상품은 기초자산의 가격에 의해서 가격이 결정되는 금융상품을 의미하므로 파생상품이 존재하기 위해서는 기초자산이 필수적으로 존재해야 한다.[2] 이때, 파생상품의 기초자산으로는 주식, 채권, 통화 등의 금융상품, 농∙수∙축산물 등의 일반상품 등이 가능하며, 심지어 파생상품도 기초자산이 될 수 있다.[3] 본 글에서는 우리에게 상대적으로 익숙한 주식을 기초자산으로 하는 선물과 옵션에 대해 살펴보도록 할 것이다.




선물이란?

먼저, 선물에 대하여 살펴보도록 하자. 선물이란 무엇일까? 선물(Futures) 계약은 미래의 특정 시점(이를 ‘만기일’이라 한다.)에 특정한 가격(이를 ‘선물가격’이라 한다.)으로 기초자산을 사거나 팔기로 한 계약을 의미한다.[4][5] 선물 계약의 당사자는 선물을 구매하는 매수자와 판매하는 매도자로 나뉜다. 매수포지션(Long position)이라 불리는 매수자는 만기일에 계약 체결 당시 약정한 선물가격으로 기초자산을 매수해야 할 의무가 있으며, 반대로 매도포지션(Short position)이라 불리는 매도자는 반드시 매도해야 할 의무가 있다. 따라서, 매수자는 현재보다 만기일에 기초자산의 가격이 더 높을 것이라 예상하여 이에 베팅하는 것이고, 매도자는 기초자산의 가격이 현재보다 만기일에 더 낮을 것이라 예상하여 이에 베팅하는 것으로 볼 수 있다. 이때, 기초자산 인도 여부에 따라 기초자산을 실제로 인도하는 ‘실물 인도’와 선물 계약으로 인한 손해나 이익 금액만을 결제하는 ‘현금결제’로 나뉘게 되는데, 한국거래소에서 매매되는 선물 계약은 현금결제를 기본으로 한다.[6]


또한, 선물 계약은 미래의 거래 가격을 약속하는 계약이므로 아무런 투자금 없이 계약을 체결할 수 있다. 그러므로, 선물 계약 체결에 아무런 제약이 없을 경우 만기일에 이익 계약만 이행하고 손실 계약은 이행하지 않는 부작용이 발생할 수 있다. 따라서, 이를 방지하기 위해 여러 제도가 존재하는데, 그 중 증거금 제도에 대해 알아보도록 하자.


증거금(Margin)에는 개시증거금과 유지증거금이 있다. 개시증거금(Initial margin)은 선물거래를 시작할 때 매수자 또는 매도자가 중개회사에 납입하는 증거금을 의미한다.[7] 유지증거금(Maintenance margin)은 계약이 지속되는 동안 유지해야 할 최소한의 증거금을 의미한다.[8] 이때, 유지증거금 수준은 거래소에 따라 일부 차이는 존재하지만, 통상적으로 개시증거금의 75% 수준이다.[9] 즉, 증거금은 선물 계약에 대한 일종의 담보 역할을 하는 것이다. 그러므로, 만약 일일정산으로 인한 손실로 인하여 증거금이 유지증거금 아래로 감소할 경우, 중개회사는 추가증거금 납입을 요구하는데, 이를 마진 콜(Margin call)이라 한다.[10][11]

제로섬 게임(Zero-sum game)


위에서 설명하였듯이, 선물 계약 매수자는 만기일에 선물가격을 지불하고 기초자산을 매입하게 되며, 선물 계약 매도자는 만기일에 선물가격을 수령하고 기초자산을 매도하게 된다. 따라서, 이를 수식으로 나타내면 다음과 같다.


화면 캡처 2023-01-01 172838.jpg

[그림 1] 선물 계약 매수자와 매도자의 만기손익


위 수식을 보면 매수자와 매도자의 손익 부호가 서로 반대이며, 그 손익이 정확히 일치하는 것을 알 수 있다. 즉, 선물 계약은 한쪽이 이익을 보게 되면 다른 한쪽은 동일한 금액만큼 반드시 손해를 보게 되어 그 손익의 합이 0이 되는 제로섬 게임(Zero-sum game)이라는 특징을 가지고 있다. 따라서, 이를 그래프로 나타내면 두 그래프는 x축을 기준으로 대칭임을 알 수 있다.



화면 캡처 2023-01-01 172910.jpg

[그림 2] 선물 매수자의 손익 그래프


화면 캡처 2023-01-01 172920.jpg

[그림 3] 선물 매도자의 손익 그래프




옵션이란?

이제, 옵션에 대하여 살펴보도록 하자. 옵션이란 무엇일까? 옵션이란 거래당사자들이 미리 정한 가격(이를 ‘행사가격’이라 한다.)으로 만기 시점 또는 그 이전에 기초자산을 팔거나 살 수 있는 권리를 매매하는 계약을 의미한다.[12][13] 옵션은 반드시 매수자와 매도자가 계약을 이행해야 하는 ‘의무’인 선물 계약과 달리 매수자가 계약의 이행 여부를 선택할 수 있는 ‘권리’에 해당한다.


이러한 옵션은 옵션의 가격인 옵션 프리미엄(Option premium)을 지불하여 매수할 수 있으며, 옵션 프리미엄은 내재가치와 시간가치로 구성되어 있다. 이때, 내재가치는 지금 당장 옵션을 행사했을 때 얻을 수 있는 이익의 가치를 의미하며, 시간가치는 만기까지 남은 기간 동안 기초자산의 가격이 유리한 방향으로 변동할 가능성에 대한 가치를 의미한다.


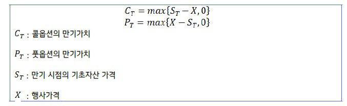
옵션의 종류에는 콜옵션과 풋옵션이 있다. 먼저, 콜옵션(Call option)은 행사가격으로 기초자산을 살 수 있는 권리를 의미한다. 따라서, 콜옵션 보유자는 만기 시점에 기초자산의 가격이 행사가격보다 클 경우에 비싼 기초자산을 싼 가격에 구매할 수 있으므로 콜옵션을 행사하여 이익을 얻을 것이다. 반면, 만기 시점에 기초자산의 가격이 행사가격보다 작을 경우에는 싼 기초자산을 비싼 가격에 구매할 경우에는 손해가 발생하므로, 콜옵션 보유자는 콜옵션을 행사하지 않는 것이 행사하는 것보다 이익이므로 콜옵션을 행사하지 않을 것이다. 그러므로, 콜옵션은 만기 시점에 기초자산의 가격이 행사가격보다 클 경우에만 행사될 것이다.


다음으로, 풋옵션(Put option)은 기초자산을 팔 수 있는 권리를 의미한다. 따라서, 풋옵션 보유자는 만기 시점에 기초자산의 가격이 행사가격보다 작을 경우에 싼 기초자산을 비싼 가격에 판매할 수 있으므로 풋옵션을 행사하여 이익을 얻을 것이다. 반면, 만기 시점에 기초자산의 가격이 행사가격보다 클 경우에는 비싼 기초자산을 싼 가격에 판매할 경우 손해가 발생하므로, 풋옵션 보유자는 풋옵션을 행사하지 않는 것이 행사하는 것보다 이익이므로 풋옵션을 행사하지 않을 것이다. 그러므로, 풋옵션은 만기 시점에 기초자산의 가격이 행사가격보다 작을 경우에만 행사될 것이다.


이를 종합하여 콜옵션과 풋옵션의 만기가치를 수식으로 나타내면 다음과 같다.[14]


화면 캡처 2023-01-01 172934.jpg

[그림 4] 콜옵션과 풋옵션의 만기가치


따라서, 옵션 매수자, 매도자 각각의 입장에서 콜옵션과 풋옵션의 만기가치를 그래프로 나타내면 다음과 같다.


화면 캡처 2023-01-01 172947.jpg

[그림 5] 콜옵션 매수자의 만기가치 그래프


화면 캡처 2023-01-01 172957.jpg

[그림 6] 콜옵션 매도자의 만기가치 그래프


화면 캡처 2023-01-01 173008.jpg

[그림 7] 풋옵션 매수자의 만기가치 그래프


화면 캡처 2023-01-01 173020.jpg

[그림 8] 풋옵션 매도자의 만기가치 그래프


여기서 콜옵션은 행사가격이 낮을수록 만기 시점에 옵션을 싸게 구매할 수 있어 옵션 매수자에게 유리하며 반대로 옵션 매도자에게는 불리하다. 반면, 풋옵션은 행사가격이 높을수록 만기 시점에 옵션을 비싸게 판매할 수 있으므로 옵션 매수자에게 유리하며 옵션 매도자에게는 불리하다. 그러므로, 콜옵션은 행사가격이 낮을수록, 풋옵션은 행사가격이 높을수록 옵션 프리미엄이 비싸다.


이때, 옵션의 행사가격과 기초자산의 현재 가격을 비교하여 옵션을 내가격(ITM : In The Money) 옵션, 등가격(ATM : At The Money) 옵션, 외가격(OTM : Out of The Money) 옵션으로 나눌 수 있다. 내가격 옵션은 지금 당장 행사가 가능한 옵션을 의미하며, 등가격 옵션은 행사가격과 기초자산의 현재 가격이 동일한 옵션을 의미한다. 외가격 옵션은 지금 당장 행사가 불가능한 옵션을 의미한다. 예를 들어, 행사가격이 기초자산의 현재 가격보다 낮은 콜옵션과 풋옵션이 존재할 경우, 콜옵션은 내가격 상태이지만 풋옵션은 외가격 상태에 해당한다.




레버리지 효과(Leverage effect)

기초자산에 해당하는 현물의 가격이 상승할 것으로 예상할 경우, 다양한 방식으로 현물 가격 상승에 베팅할 수 있다. 해당 현물에 직접 투자하거나 해당 현물을 기초자산으로 하는 선물이나 콜옵션 같은 파생상품을 구입하는 방식이 그 예이다. 이때, 동일한 금액으로 현물을 구입하는 것보다 파생상품을 구입하는 것의 손익 효과가 훨씬 크게 나타나게 되는데 이를 ‘레버리지 효과(Leverage effect)’라 한다. 이는 선물과 옵션이 기초자산의 가격에 의존하는 파생상품이기 때문에 기초자산의 가격 변동이 증폭되어 나타나는 것이다.[15]


그렇다면, 레버리지 효과는 왜 발생하는 것일까? 먼저, 선물 계약부터 알아보자. 선물 계약은 계약 체결 시점에 일정한 증거금을 지불할 수 있는 투자금 정도만 있으면 된다. 따라서, 현물을 구입할 때와 동일한 이익을 실현하기 위한 선물 계약을 체결하는 데 필요한 증거금은 기초자산을 직접 매입하는 데 필요한 금액보다 훨씬 더 작으므로 높은 레버리지 효과를 제공하게 된다.[16] 즉, 선물 계약을 이용하면 현물 투자보다 적은 투자금으로도 동일한 이익을 낼 수 있기에 동일한 투자금으로는 더 큰 손익을 경험할 수 있게 된다.


다음으로 옵션 중 콜옵션의 레버리지 효과를 알아보자. 콜옵션 역시 옵션 프리미엄만 지불하면 해당 옵션을 구입할 수 있다. 이때, 콜옵션은 기초자산을 매입할 수 있는 권리이므로 콜옵션의 가격은 기초자산의 현재 가격보다 크지 않을 것이다. 따라서, 동일한 이익을 실현하기 위한 옵션 투자에 필요한 금액 역시 현물 투자에 필요한 금액보다 작을 것이므로 옵션도 레버리지 효과를 제공하게 된다. 이때, 옵션 프리미엄의 크기가 작을수록 투자금액이 작아지므로 레버리지 효과가 더욱 크게 나타날 것이다. 그러므로, 다른 조건이 동일할 경우 내가격인 콜옵션보다 외가격인 콜옵션의 레버리지 효과가 더욱 커지게 된다.[17]


그렇지만, 레버리지 효과가 크다는 것은 그만큼 기초자산 가격 변동에 따른 파생상품의 수익률 변화 폭이 급격하다는 뜻이고 이는 투자에 대한 위험이 더욱 증가한다는 것을 의미한다. 따라서, 이러한 레버리지 효과로 인해 동일한 금액의 투자라도 현물 투자와 파생상품 투자의 손익은 극명하게 차이가 나기에 선물에 투자한 상우는 큰 손실을 보게 되었다.




마치며

지금까지 파생상품의 일종인 선물과 옵션의 개념과 손익구조, 레버리지 효과에 대하여 알아보면서 선물과 옵션에 좀 더 친숙해질 수 있었을 것이다. 그렇지만, 본 글만으로는 파생상품 전부를 접하고 이해하는 데 무리가 있으므로 해당 주제에 흥미가 생길 경우에는 현명하고 올바른 투자를 위해 추가적인 학습을 하는 것이 지혜로운 판단이라 생각된다.

한편, 레버리지 효과는 선물을 통해 상우가 큰 금액을 잃게 된 배경을 설명해 주기에 기훈이 본 글을 읽게 된다면 상우의 처지를 이해할 수 있을 것으로 생각한다. 이러한 레버리지 효과로 인해 동일한 금액의 투자라도 현물 투자와 파생상품 투자의 손익은 극명하게 차이가 나게 되기에 파생상품 투자는 신중에 신중을 기해야 함이 틀림없다. 그렇지만, 상우의 어두운 상황 이면에는 누군가의 밝은 미소가 존재한다는 것도 잊어서는 안 된다. 선물은 제로섬 게임이기에.






















참고문헌

양철원, 『사례와 함께 배우는 파생상품』, 정독, 2022.

윤재근, 『파생상품 그 모든 이야기』, 지식과감성, 2020.


웹페이지

네이버 지식백과 시사경제용어사전




[1] 네이버 지식백과 시사경제용어사전

[2] 양철원, 『사례와 함께 배우는 파생상품』, 정독, 2022, p. 3.

[3] 네이버 지식백과 시사경제용어사전

[4] 양철원, 『사례와 함께 배우는 파생상품』, 정독, 2022, p. 3.

[5] 선물가격은 주식 가격처럼 시장 참여자에 의한 수요와 공급에 따라 결정된다.

[6] 양철원, 『사례와 함께 배우는 파생상품』, 정독, 2022, p. 14.

[7] 윤재근, 『파생상품 그 모든 이야기』, 지식과감성, 2020, p. 31.

[8] 양철원, 『사례와 함께 배우는 파생상품』, 정독, 2022, p. 22.

[9] 윤재근, 『파생상품 그 모든 이야기』, 지식과감성, 2020, p. 31.

[10] 일일정산이란 선물 계약 만기일에 손익을 한꺼번에 정산하는 것이 아니라 매일매일 선물가격의 종가를 기준으로 매수자나 매도자의 손익을 정산하는 제도이다.

[11] 양철원, 『사례와 함께 배우는 파생상품』, 정독, 2022, p. 22.

[12] 네이버 지식백과 시사경제용어사전

[13] 만기 시점에만 권리를 행사할 수 있는 옵션을 유럽형 옵션(European option)이라고 하며, 만기 시점 이전에 언제든지 권리를 행사할 수 있는 옵션을 미국형 옵션(American option)이라 한다. 한국은 유럽형 옵션만 거래되므로 본 글에서는 유럽형 옵션에 대해 다루도록 할 것이다.

[14] 선물은 만기손익을 수식으로 나타낸 반면, 옵션은 만기가치를 수식으로 나타내어 이러한 차이를 두며 전개한 이유를 궁금해하는 독자가 있을 것으로 생각한다. 우선, 만기손익은 만기가치와 계약 체결 시 발생하는 파생상품 구매 비용 등을 모두 고려한 손익을 의미하지만, 만기가치는 만기 시점에 발생하는 손익만을 고려한 것을 의미한다. 선물의 경우, 선물 계약 체결 당시 별도의 비용이 발생하지 않으므로 만가가치와 만기손익이 사실상 동일하다. 반면, 옵션은 옵션 프리미엄이 존재하므로 만기가치와 만기손익 사이에는 옵션 프리미엄만큼의 차이가 존재한다. 이때, 옵션 프리미엄은 옵션거래 발생 시점에 발생하는 비용이다. 따라서, 옵션의 만기손익을 구할 경우 옵션 프리미엄의 시간가치를 고려하여야 하나, 옵션의 만기일이 매우 짧으므로 현실적으로는 시간가치를 무시할 수 있게 된다. 결과적으로, 옵션의 경우에는 논의의 편의를 위하여 만기손익보다는 만기가치를 활용하였다.

[15] 양철원, 『사례와 함께 배우는 파생상품』, 정독, 2022, p. 111.

[16] 양철원, 『사례와 함께 배우는 파생상품』, 정독, 2022, p. 42.

[17] 양철원, 『사례와 함께 배우는 파생상품』, 정독, 2022, p. 112.






keyword
이전 10화[경영] 배터리도 구독하세요