brunch

C5. 힘과 에너지

by 포레스트 강

앞에서 일과 열은 같은 단위로 표시되는 물리적인 양이고 열역학이 정립되면서 에너지란 개념이 도입되었다고 소개하였다. 그리고 세상의 변화를 힘의 개념으로 파악하지 않고 에너지의 변화로 생각하게 되었다고 설명하였다. 어떤 물체에 들인 힘(F)에다 이동한 거리(d)를 곱한 값을 그때 수행한 일(w, work)이라고 한다. 즉 w = Fd이다. 힘과 일(에너지)의 관계를 조금 수학적인 표현으로 써 보자. 어떤 힘에 거슬러서 물체 혹은 입자를 x = 0인 원점에서 x = x인 지점까지 움직이게 할 때 필요한 일을 계산하면, 거기에 잠재해 있는 에너지 U(x)를 얻을 수 있다.


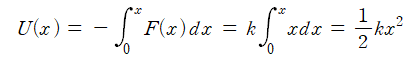
용수철을 예로 들어서 설명하여 보자. 용수철을 x = x인 지점까지 잡아당기면 원위치(x = 0)로 돌아가려는 복원력{F(x)}이 생긴다. 많이 잡아당기면 당길수록 복원력의 세기는 더 커진다. 영국의 훅(Robert Hooke, 1635~1703)은 이 복원력은 F(x) = -kx라고 나타낼 수 있다고 하였다. 이 식을 훅의 법칙이라고 하는데, 여기서 k를 훅 상수라고 한다. 복원력에 마이너스(-) 부호가 붙은 이유는 복원력의 방향이 변위량 x의 방향과 반대라는 뜻이다. 용수철을 잡아당겼다가 놓으면 원래대로 돌아가려고 하는데, 돌아가려는 힘은 처음 용수철에 준 힘과 반대 방향이라고 이해하면 된다. 만약에 용수철을 누르면 그 반대 방향으로 튀어나오려는 힘이 생긴다. 이때에 용수철에 잠재해 있는 에너지는 다음과 같이 표시할 수 있다.

제목 없음.png

이 식은 용수철을 x 길이만큼 잡아당기면 그 반대 방향으로 복원력 F(x) = -kx가 생기고 이때 수행한 일의 양인 (1/2) kx2 만큼의 에너지가 그 용수철에 축적된다는 의미이다. 한편 에너지의 값을 알고 있다면, 그것으로부터 나오는 힘은 위 식의 양변을 미분하면 얻을 수 있다. 용수철의 경우에 대해서 복습하면 이것이 맞는다는 사실을 확인할 수 있다.

어떤 용수철을 거리 d만큼 잡아당기게 되면 들인 힘은 F = -kd이고, 수행한 일 또는 축적된 에너지는 w = U = (1/2) kd2가 된다. 그러나 앞에서 얘기한 통상적인 정의에 따르면 일은 w = (kd) d = kd2이 된다. 힘(F)을 y축으로 거리(x)를 x축으로 그래프를 그리면 F(x) = -kx는 직선이 되고, 직선 아래의 면적이 수행한 일이 되는데, 이는 삼각형의 면적이다. 그러나 통상적인 일의 정의에 따른 일은 사각형이 되므로 이와 같은 차이가 생긴다. 속도 v로 움직이는 질량 m인 물체의 운동에너지가 (1/2) mv2이 되는 것도 같은 이유이다.

어떤 물체를 1N(뉴턴)의 힘을 들여 1m를 움직였다면, 이때 수행한 일의 양을 1J(줄)이라고 한다. 즉 [J] = [N·m] = [kg·m2s-2]. 일의 단위 [J]는 영국의 과학자 줄(James Joule, 1818~1889)의 이름에서 따온 단위이다. 일 또는 에너지의 양을 시간으로 나눈 값을 power라고 한다. Power는 일반적으로 권력이나 힘을 뜻하는데, 자연과학이나 공학 분야에서는 단위시간에 수행하는 일의 양을 의미한다. 영어로 power를 우리말로는 동력, 일률, 출력 등으로 번역하고 있다. 간단히 말과 식으로 설명하면, 출력 = 일/시간 = 힘 ×거리/시간 = 힘 ×속도가 되고, 출력의 단위는 보통 [W(와트)]를 쓰는데, MKS 단위로 나타내면 kg·m2s-3이다.


마력(馬力)이라는 말은 짐마차를 끄는 말이 단위시간(1분)에 하는 일을 실측하여 1마력으로 삼은 데서 유래한다. 마력으로는 영국 마력(hp, horse power)과 미터마력이 있다. 영국에서 길이는 피트(ft), 무게는 파운드(lb)로 나타내니까, 1 영국 마력은 매초 550 ft·lb, 즉 매분 33,000 ft·lb의 일에 해당한다. 마력이란 단위는 와트(James Watt, 1736~1819)가 증기기관의 성능을 재기 위해 도입했다. 당시에 짐마차용 말을 사용해서 시험한 결과를 채택했다고 하는데, 그 당시 보통 말이 할 수 있는 일의 양보다 50% 정도 많았다고 한다. 현재 개량된 우수한 말은 4마력 정도의 능력이 있다고 한다.

한편 미터법을 사용하는 독일과 프랑스에서는 길이는 미터(m), 무게는 킬로그램(kg) 단위를 적용해 프랑스 마력 혹은 독일 마력(ps, pferdestärke)이라는 단위가 나왔다. 이를 미터마력이라고 부른다. 1 미터마력은 말이 1초(s) 동안에 75kg의 물체를 1m 이동하는 일을 수행할 때 소요되는 동력(출력)을 말한다. 매초 75 kg·m의 일은 매분 4,500 kg·m의 일에 해당한다. 75 kg·m/s x 60s/min = 4,500 kg·m/min. 좀 더 셈을 하면 영국 마력과 미터마력의 관계는 1 미터마력 = 0.9858 영국 마력이 된다. 1ps = 75 kgf·m/s = 75 × 9.8 N·m/s = 약 735.5W가 된다. 한국의 경우에는 1ps = 735.5W로 계산한다. 영국 기준으로 1hp = 745.7W이다. 대충 1 미터마력은 (3/4) kW로 친다.


마력은 주로 엔진, 터빈, 전동기 따위에 의해 이루어지는 일의 비율이나, 구동하고 있는 작업기계에 의해 흡수되는 일의 비율을 나타내는 데 사용한다. 마력은 옛날식 표현이다. 요즈음은 엔진의 성능을 표시할 때 W(와트)를 많이 쓴다. 우리 일상생활에서도 W(와트)라는 단위가 더 익숙하다. 전기공학에서는 power를 전력으로, 에너지(일)를 전력량이라고 말한다. 일 또는 에너지의 양을 시간으로 나눈 값이 전력이니까, 단위로 보면 [W] = [J/s]이다. 결국, 일의 양은 [J] = [Ws]라고 표시할 수 있다. 매월 집에 전달되는 전기요금 고지서를 찾아보면, 그달 쓴 전기량을 kWh(킬로와트시)로 표시하고 kWh 당 몇 원인 요율을 적용하여 그달의 전기요금이 나온다. 초 단위는 너무 짧은 시간이라 시간(hour) 단위로 사용한 전기량으로 표시하고, 1시간(h)은 60분/시간 x 60초/분 = 3,600초(s)이고, 1kW는 1,000W니까, 1 kWh = 3.6J이 된다. 일 또는 에너지의 표준 단위는 [J]이지만 공학적으로는 [kWh]를 선호한다. 우리 집의 전기사용량이 얼마인지는 매달 나오는 관리비 명세서에 나와 있다.


약 200년 전에 과학자들이 말이 끄는 힘 즉 마력을 도입한 점에 주목하고자 한다. 마력이란 단위가 나오게 된 것은 마차가 끄는 철도에 기인한다. 광산 등지에서 석탄을 실은 광차(鑛車)를 사람의 힘으로 갱도 바깥으로 끌어낼 때 협궤 레일이 사용되었다. 거기에서 좀 더 발전하여 석탄을 실은 화차를 말이 끄는 마차철도(궤도)가 지상에 부설(敷設)되었다. 그리고 증기기관이 발명된 이후에는 영국인들은 증기기관을 이 광업용 마차철도의 동력원으로 대체하려 시도하였다. 그러나 마차철도에서는 생각하지 못했던 문제가 발생하였는데, 당시 주철로 만든 선로가 증기 기관차 무게를 견디지 못하고 깨지는 문제가 발생하였다. 많은 철도 시제품이 나왔지만, 선로 문제 때문에 상용화에는 다들 실패했다. 이후 스티븐슨(Gorge Stephenson, 1781~1848)이 선로를 연철로 만들어 기관차의 무게를 견디도록 해서 이 문제를 해결했다.


지금은 거의 사용하지 않지만 증기 기관차의 출력이 6,000마력까지 나온 적이 있었고, 현대의 디젤 기관차의 출력이 3,300마력 언저리라고 한다. 대충 얘기해서 요즘 지하철 10량을 끌어 움직이게 하려면 말 3,300/4 = 825 마리가 필요하다. 출력의 단위로 사람의 힘에 해당하는 인력(人力)을 안 쓴 것은 인도주의적인 발상에서 나왔을 것 같고, 마차를 끌던 말의 힘이 사람이 내는 힘보다 크다는 점을 염두에 두었을 것이다. 아마 동양이었다면 소를 부려 일을 많이 시켰으므로 우력(牛力)이란 표현이 나왔을지 모른다. 현대 과학에서는 힘을 쓰는 주체에 상관없이 힘이나 일의 단위를 와트(W)로 객관화시켰다고 볼 수 있다. 과학이 발달하면서 사람에 대해서는 육체적으로 힘쓰는 일보다는 머리를 쓰는 정신적인 노동을 중요시했다. 오늘날에 프로젝트 제안서를 쓸 때 소요 인력을 인·시(人時) 혹은 man·hour(M/H)로 표현하고 있다. M/H는 프로젝트에 참여하는 각 사람의 투여 시간을 모두 더한 숫자를 의미한다.

일은 결국 사람이 하는 거니까 인력(人力)이 매우 중요하다. 관련되는 말로 노동력이라는 말이 있다. 옛날 우리나라에 인력거라는 교통수단이 있었고, 인력거를 끄는 사람은 땀을 흘려가며 사람의 힘으로 손님을 이동시켜 주고 노동의 대가로 돈을 받았다. 요즘도 일부 국가의 관광지에서 비슷한 교통수단을 볼 수 있다. 한때는 짐을 옮겨주는 지게꾼이라는 직업도 있었다. 엔진에 의한 동력화가 진행되면서 이런 직업들이 없어지고 대신 택시와 화물용 용달차가 등장하였다.


반대의 경향도 발견된다. 옛날에는 이사하려면, 주인이 며칠 전부터 가재도구를 정리하고 짐을 싸야 했다. 이사 당일에 온 가족과 지인이 모여서 이삿짐을 방에서 꺼내 나오고 용달차에 싣고서 새집으로 가고 짐을 새집에 들여놓았다. 힘들여서 이삿짐을 집에 들여놓은 후에는 중국음식점에 짜장면과 탕수육을 배달시켜서 음식을 방바닥에 풀어놓고 요기를 때웠다. 요즘에는 이사 전담 서비스 회사가 생겨서 그 회사에 전화하면 직원이 나와서 견적을 뽑아 예상 가격을 얘기하고 마음에 맞으면 계약하면 된다. 이사 당일에는 이사 전문 인력이 와서 짐을 싸고 내린다. 주인은 말로 지시만 하면 된다. 고층 아파트라고 해도 이삿짐 내리고 올리는 장비는 물론 이삿짐 운반차까지 다 회사가 준비해서 시행한다. 새집에 들여놓고 주인의 말대로 살림 배치까지 다 해 준다. 주인은 돈만 내면 된다. 요즘은 이삿날이 아니어도 휴대전화 앱을 보고 먹고 싶은 음식을 시키면 곧 라이더(rider)가 집 앞까지 배달해 준다. 이제 음식 배달이 우리나라의 중요한 산업으로 부상하였다.

얼마 전까지만 해도 빌딩을 지을 때 콘크리트(concrete)나 필요한 자재를 인부가 등짐을 지고 올라가 공사를 진행했다. 요즈음은 타워 크레인을 움직여 필요한 자재를 원하는 위치로 올리고 빌딩을 짓는다. 건축자재도 레고처럼 쌓아 올려붙이기만 하면 된다. 생산성이 많이 향상되어 공기(工期)가 짧아지고 빌딩의 층수도 엄청나게 늘어났다. 모두가 전기를 이용한 각종 기계의 출현으로 가능해졌다. 사람이 쓰던 에너지가 전기 에너지로 바뀌었다. 물론 아직도 현장에서 사람의 손이나 힘이 필요한 일이 있지만, 사람은 힘 대신 머리를 더 많이 쓰고 있다.


옛날 할머니들이 잘 쓰시던 말로 ‘인력(人力)으로 안 돼’라는 말이 있었다. 아무리 노력해도 일이 잘 안 풀리는 사람에게 그만 포기하라는 권면의 말이다. 이 말은 패배 의식으로 하는 말이 아니고 오히려 그런 사람을 위로하는 말일 것이다. 그 말은 진인사대천명(盡人事待天命)이라는 말에 가깝다고 생각한다. 한동안 광고 문구로 ‘열심히 일한 당신 떠나라’라는 말이 있었다. 이 말은 열, 일, 에너지의 등가성을 잘 표현하고 있다. 요즘 젊은이들은 ‘열심히 일한다’를 ‘열일’이라고 줄여서 말한다. 열을 내서 열심(熱心)히 일하느라 몸속의 열을 많이 써버렸으니까, 새로운 일을 위해서 에너지를 더 보충하여야 하니, 하던 일을 멈추고 여행을 떠나라는 의미일 것이다. 물론 여행을 떠나려면 돈이라는 또 다른 에너지가 필요하겠지만.


keyword
매거진의 이전글C4. 산업혁명과 열역학