brunch

소아과 아빠랑 같이 쉽게 읽는 소아피부과 교과서 17화

신생아 피부의 생리학 3 - 피부 수분 손실 편

by 김국원

피부에서 수분 손실이 얼마나 일어나는지를 보면 표피 장벽이 얼마나 온전한지를 간접적으로 알 수 있어요

임신 주수, 장소, 주변습도에 영향을 받아요



신생아는 분비 땀샘이 없거나 거의 없기 때문에 성인보다 증발이 안되요 (4~8g/m2/h)



매우 미숙한 미숙아의 경우에는 굉장히 많이 (최대 100g/m2/h)까지 증발이 상승할 수 있고 이대로 방치되면 24시간 이내에 체중의 50%까지 수분을 잃을 수도 있어요

고 나트륨혈증, 저체온증 등 사망으로 이어질 수도 있어요

따라서 주변 습도를 올려줘야 해서 인큐베이터에서 가습을 통해서 이를 예방해요



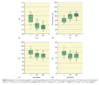
피부의 산성도는 땀, 피지, 각질층의 산성성분에 의해서 영향을 받아요

신생아는 출생 시 중성 또는 알칼리성을 띠어요 (pH 6.2~7.5)

이후 차차 감소하여 4주 차가 되면 pH 5.0~ 5.5로 성인과 같아져요



신생아 피부는 비교적 건조하고 거칠어요

이는 피부의 수화 정도에 차이 때문이에요 나이가 들어가면서 수화가 증가해요



sticker sticker

용어정리


고 나트륨혈증 :

우리 몸에 있는 물 안에 삼투압을 조절하고 상호 기능 조절을 위하여 이온이 존재하는데 그중 나트륨(소듐)이 지나치게 높은 경우를 고 나트륨혈증이라고 하며 탈수, 오심, 구토, 식욕부진, 빈호흡 등을 유발하고 심각하면 혼수나 경련 등의 신경학적 증상을 일으키기도 하며 심하면 사망에 이름.



저체온증 :

우리 몸은 36.5도 근처를 유지하려는 항상성을 가지고 있는 정온동물인데 35도 이하로 떨어지는 질환으로 심장, 신경계 등 기타 장기들이 정상 기능을 하지 않고 심하면 심장과 호흡기가 망가지고 사망에 이를 수 있음



인큐베이터 :

신생아 중환자실의 필수품으로 아이에게 최상의 환경과 지속적인 모니터링을 할 수 있는 제2의 자궁. 수액을 통하여 혈액이나 약물을 줄 수도 있으며 공기 질을 관리하고 특수 조명을 쪼일 수 있음.



오늘 공부 끝!


피부 치료는 꼭 피부과 의사와 상의하세요!!

sticker sticker


keyword
이전 16화소아과 아빠랑 같이 쉽게 읽는 소아피부과 교과서 16화