brunch

18 아름답게 정리된 전자기 공간

딱 4개의 미분방정식으로: 맥스웰 방정식

by 강윤식

지난 시간에는 전선을 감은 코일에 전기를 흘리면 전자석이 되고, 전동기(모터)를 만들 수 있다는 이야기를 나눴죠? 그 과정을 반대로 하여 자석 옆의 코일을 돌려서 전기를 만들 수 있어, 발전기가 되는 이야기도 하였습니다. 전기와 자기는 이렇게 서로가 서로를 만들어 주는 얽혀 있는 관계인 것이었죠. 이것을 전자기 유도 라고 합니다.


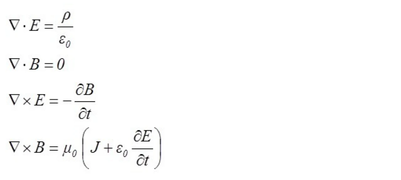
오늘은 아래의 식으로 출발합니다.

'헉, 갑자기 왠 이상한 기호의 식이야?' 싶으실까요? 조금 갑작스럽긴 하지만, 위의 네 식으로 전자기는 모두 설명이 됩니다! 기하학적으로 아름답게... 전 시간에 이야기한 순수 실험에 의한 내용을 딱 저렇게 간단하게 정리한 것이에요. 물리에서 이렇게 깔끔한 것은 전자기가 유일하지 않을까 할 정도로... (너무 오버일까요..)


각 식의 의미는 이렇습니다. 첫 번째 식은 전하가 있으면 전기장이 있다는 의미입니다. 건전지가 전기장을 만드는 것도 이 식으로 표현되고, 공에 + 전기가 놓여있을 때 주변의 전기장도 이 식으로 나타낼 수 있습니다. 역삼각형 모양의 기호는 공간의 미분입니다. ρ는 전하밀도이구요. 그래서 전하가 있으면 전기장이 변해서 더해진다는 걸 의미합니다.


두 번째 식은 모든 자석은 N극과 S극이 붙어있다는 의미입니다. 자석은 아무리 쪼개도 위쪽이 N극이면 아래쪽은 S극으로 붙어있다는 것이죠.


세 번째 식은 전 시간에 이야기 나눈 발전기에 대한 식입니다. 자석을 움직이면 코일에 전기가 흘렀잖아요? 자석이 움직여서 자기장이 시간에 따라 변하면(우변), 전기장이 생겨서(좌변) 전기가 흐르게 됨을 표현하고 있습니다.


네 번째 식은 전자석에 대한 식입니다. j는 전류밀도여서 전기가 흐르면 (우변 첫 번째 항) 자기장이 생겨서 (좌변) 자석이 된다는 것이죠. 우변의 두 번째 항은 세 번째 식의 역과정으로, 전기장이 변하면 자기장도 변한다는 것이구요.


실험으로 만들어진 법칙들을 저 네 개의 미분 방정식으로 깔끔하게 정리를 해 낸 것이에요! 그리고 아름답게도 매우 대칭적입니다. 아, 이상해 보일까요, 이렇게 감탄하고 있으면... 흐흐. 저 식에 의해 그려지는 전기장과 자기장은 공간에서도 대칭적으로 예쁘거든요. (앗, 더 이상하게 보이겠군요. ㅡㅡ;;)


게다가 세 번째와 네 번째 식이 합쳐지면 더더욱 놀라운 것이 나타납니다. 안테나 같은 것에서 전기장을 마구 흔들어 대면? 네 번째 식 때문에 자기장이 생기겠죠? 그런데 계속 흔들어서 시간에 대해 계속 변하면 생겨난 자기장도 계속 변하겠죠. 그러면 세 번째 식에 의해 전기장이 생기겠네요. 그러면 네 번째 식에 의해 자기장이, 그러면 세 번째 식에 의해 전기장이 ... 이렇게 계속 서로가 서로를 만들어 유도시켜가며 공간으로 퍼져갑니다. 이게 무엇일까요? 네! 바로 전파(전자기파)인 것입니다! 두 식을 잘 합치면 예쁜 모양의 파동 방정식을 만들 수 있거든요. 그래서 전기장과 자기장은 파동으로 같이 퍼져 나가는 것이죠, 안테나에서 전기 신호를 만들어 보내면.

<그림> 전자기파의 진행, 출처:www.kca.go.kr

이 모든 것이 저 위의 네 식으로 깔끔하게 정리되니, 물리하는 사람이 보기에는 심히 아름답다고나 할까요... 아, 오늘은 제가 봐도 조금 이상해 보입니다만, 전자기를 한참 공부했을 때의 감동이 되살아났나 봅니다. 이해해주세요~ ^^


이렇게 전자기에 대해서도 이야기를 나누어보았습니다. 다음 시간에는 「샛 글」에서 조금은 다른 시각으로 만나요~

keyword
이전 19화17 전기에서 자석이, 자석에서 전기가?