보이지 않는 아름다움에 관하여

앤드루 와이어서의 <결혼>과 맥스웰 방정식

by 노인영
미국 사실주의 화가 앤드루 와이어스의 <결혼(1993)>

회화에서 추상적인 개념, 예를 들어 행복, 기쁨, 죽음, 고통 등을 표현할 때 차라리 추상화가 무난할지 모른다. 눈에 보이지 않는 개념을 형상화하기에 그렇다는 의미다. 하지만 구상화에서도 훌륭하게 감동을 전달할 수 있다. 내겐 앤드루 와이어스(Andrew Wyeth, 1917~2009)의 <결혼(1993)>이 그런 작품이다. 그는 팝아트가 유행하던 당시 인물화와 풍경화를 정확하게 묘사하는 사실주의를 고집했다. 하지만 사진과 같은 자연주의를 극복하고 비현실적이고 환상적인 느낌을 자아냈다. 76세에 그린 이 작품도 잔잔한 울림을 준다.

창밖은 어느덧 환한데 노부부가 아직도 한 이불에서 잠들어 있다. 그런데 작가는 왜 제목을 '결혼'이라 이름 지었을까? 젊은 부부는 이해가 어려울 수 있겠다. 부부의 얼굴이 창백하다. 나이가 들면, 깊이 잠든 배우자에게서 흔히 발견하는 모습이다. 실제 자다가 아내의 숨소리가 들리지 않으면, 혹시 죽었나 해서 깜짝 놀라곤 한다. 결국, 코 밑에 손을 대보고 나서야 안도의 한숨을 쉰다. 이제 헤어질 날이 얼마 남지 않았다. 그간 소홀했던 순간이 죄책감처럼 밀려온다. 그러나 “잘해 줄 걸” 하는 후회도 잠시, 곧 일상으로 돌아가 여전히 사소한 문제로 티격태격 다툰다. 이런 걸 보면, 부부가 한 이불을 뒤집어쓰고 함께 잔다는 사실, 그 자체가 결혼 생활의 기적을 말해준다.



고대 그리스의 철학자 데모크리토스(Democritos, BC 460?~BC 370?)의 직관이 대단하다. 그는 만물의 근원으로 ‘원자’를 거론했다. 눈으로 안 보고도 갓 구워 낸 빵의 실체를 알 수 있었는데 냄새 때문이었다. 이를 근거로 그는 더 이상 쪼개지지 않고 사물의 본성을 갖춘 원자가 있다고 주장했다. 원자론은 당시 비주류였던 에피쿠로스(Epikouros, BC 341?~BC 271?)에 의해 쾌락주의로 발전했다. 오해가 있을까 덧붙이자면, 여기서 말하는 '쾌락'이란 육체적인 것만을 의미하지 않는다. 자연의 기본적인 구성요소와 보편적인 법칙을 이해하는 것이야 말로 인간의 삶에서 추구할 수 있는 가장 깊은 쾌락의 하나라 했다. 그러나 기독교 사회에서는 쾌락주의를 영혼의 존재를 부정하는 급진적인 사상이라 여겨 철저히 왜곡, 배제했다. 이후 15세기 루크레티우스의 <사물의 본성에 관하여>의 필사본이 다시 소개되면서 보티첼리, 다 빈치, 마키아벨리, 몽테뉴 등이 읽었다. 그리고 르네상스를 견인했다.

이후 색맹이자 초등학교밖에 나오지 못한 존 돌턴(John Dalton, 1766~1844)에 의해 현대적인 원자론이 재탄생했다. 그는 원자들의 상대적인 크기와 특성과 함께 그것들이 서로 어떻게 결합하는가를 알아냈다. 그리고 어느 날, 리처드 파인만(Richard Feynman, 1918~1988)이 이런 질문을 받았다. “대재앙이 닥쳐 인간의 과학적 지식을 모두 잃어버리는 상황이 되었을 때 ‘단 한 가지’ 지식만 지킬 수 있다면, 그것은 무엇입니까?” 현대 물리학계의 대가인 파인만이 대답했다.


“내가 지키고 싶은 것은 원자입니다. 원자를 알면 분자를, 세포를, 생명체를 하나하나 풀어갈 수 있으니까요.”


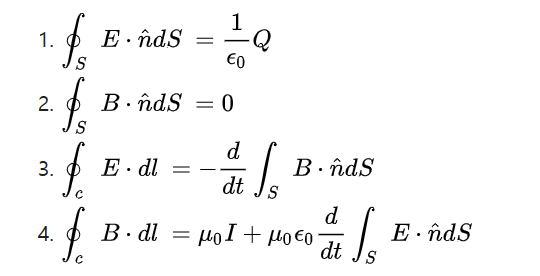
돌턴과 패러데이 이후 물리학계에서도 보이지 않는 세계로 관심이 깊어지기 시작했다. 뉴턴 때만 해도 공간은 텅 빈 채 아무것도 작용하지 않는 무(無)의 상태였다. 따라서 중력도 직선이며, '즉각적으로' 작용한다고 믿었다. 1864년 제임스 클러크 맥스웰(James Clerk Maxwell, 1831~1879)이 미적분을 적용하여 전기와 자기 사이의 연관성을 수학적으로 풀어냈다. 스코틀랜드 출신 물리학자인 그는 위대한 과학자 100인 중 아인슈타인, 뉴턴에 이은 3대 거성이다. 그는 패러데이의 ‘힘의 선’이라는 모호한 개념을 ‘장(場, field)’으로 발전시켰다. 전기장과 자기장을 합쳐서 ‘전자기장’, 이로부터 발생하는 힘을 ‘전자기력”이라고 부른다. 이는 공간이 전자기적 유동체로 가득 차 있으며, 그 밀도를 이용해 셀 수 있는 정량적 대상이 되었음을 의미한다. 미적분방정식을 적용한 그의 파동 방정식은 전자기파의 속력을 계산할 수 있었다. (제목 그림; 스코틀랜드 여성화가 제미마 블랙번(Jemima Blackburn, 1823~1909)의 <제임스 클라크 맥스웰과 그의 아내(년도 미상)>)

맥스웰의 네 가지 방정식

그런데 이 속력이 진동수와 관계없이 초속 30만km로, 빛의 속도와 같았다. 이 사실이 매우 중요하다. '전자기적 교란이 곧 빛'이며, ‘빛은 전자기파’라는 결론이다. 전자기학과 광학의 통합이며, 패러데이의 꿈인 전기와 자기, 그리고 빛의 통합이 이루어졌다. 20년 후 하인리히 헤르츠(Heinrich Hertz, 1857~1894)가 전파를 발견함으로써, 빛이 전자기파임을 재확인했다. 그러나 헤르츠는 전자기파의 실용적 쓰임새를 전혀 몰랐기에 "그것은 아무런 쓸모도 없습니다. (...) 그저 위대한 맥스웰이 옳았음을 입증하는 실험일 뿐이지요"라고 했다. 36세로 요절하기 전 그는 맥스웰의 ‘역사상 가장 아름다운’ 4개의 방정식에 관하여 멋진 글을 남겼다.


“맥스웰이 구축한 전자기학의 수학 체계를 바라보고 있노라면, 그들(수학)이 어떤 지성을 간직한 채 독자적으로 존재한다는 생각을 떨치기 어렵다. 이 방정식들은 우리보다 현명하고 발견자보다 현명하여 입력보다 많은 출력을 얻을 수 있게 해 준다. (프랭크 윌첵의 <뷰티풀 퀘스천>)"


곧이어 라디오가 나오고 텔레비전, 레이더, 엑스선이 등장했다. 이 모든 것은 전기와 자기가 힘을 합쳐 파동을 이룰 수 있다는 사실을 깨닫기 전에는 존재하지 않았던 것들이다. 뉴턴의 역학만큼 의미 있는 결과다. 아니, 인류의 현실적인 삶과 관련해서는 더 큰 영향을 미쳤다고 볼 수 있다. 갈릴레이가 사망한 해에 뉴턴이 태어났던 것처럼 48세의 맥스웰이 위암으로 죽은 해에 위대한 과학자가 태어났다. 바로 아인슈타인이다. 그런 그가 맥스웰 탄생 100주년을 맞아 이렇게 말했다.


“그는 뉴턴 시대 이후 물리학이 경험한 것 가운데 가장 심오하고 알찬 업적을 남겼다.”