이과 특) 대학에서까지 유용한 기적의 수학공식

알쓸신수: 알아두면 쓸모있는 신비한 수학공식

by 애드캠퍼스

사람들한테 잘 알려져 있지 않지만 매우 유용한 수학공식(사실 공식이라기보단 방법론에 가깝지만, 편의상 수학공식이라고 부르겠다.) 2가지를 소개한다. 로피탈 정리(L’Hospital’s Rule)처럼 모르는 사람이 바보인 그런 대중적인 정리가 아니다. 적분을 자주 써야 하는 이과 학생, 그리고 이공대 재학생이라면 무릎을 탁 칠, 아는 사람만 ‘꿀 빨 수 있는’ 바로 그런 방법론이다. 이과 학생들만의 ‘그사세(그들이 사는 세상)’이니 문과 학생들은 눈 건강을 위해 Backspace를 누르자.


출처: 웹툰 '공대에서 살아남기' (SK하이닉스 x 최삡뺩)



1. 부분적분을 간단하게, “도표적분법”


일반적으로 부분적분은 다음 공식을 사용한다.

그러나 이 방법은 치명적인 단점이 있는데, 바로 적분의 결과에 적분 항이 또 있어서 적분을 한 번 더 해야 한다는 점이다. 굉장히 불편하고 공식에 함수가 2개, 미분함수가 2개가 등장하여 처음 배울 때는 매우 헷갈리기까지 하다. 지금부터 소개할 ‘도표적분법’을 사용하면 이 단점에서 벗어날 수 있다. 이걸 보고 있는 학생들이라면 대다수 기존 공식에 익숙해져 있어서 새로운 방법을 받아들이기가 꺼려질 것이다. (인간은 원래 매우 보수적이다.) 하지만 지금까지 알던 부분적분법은 잊어버리고, 꼭 연습을 통해 이 방법을 익히길 바란다. 방법이 간단해서 익히기 어렵지 않으니 경계심을 낮추자. 풀이 속도가 굉장히 빨라지고, 적분은 대학에서도 많이 다루기 때문에 한 번 익혀두면 인생이 편해질 것이다.



도표적분법은 다음과 같이 표를 만들어 시작한다. 미분을 여러 번 해서 0을 만들 수 있는 함수를 f(x)로 두고, 여러 번 미분해도 0이 안 되는 함수를 g(x)로 둔다. (둘 다 여러 번 미분해서 0이 되는 경우는 보통 부분적분을 할 필요가 없는 경우가 많다. 원래 방법과 비교하려면 g(x)가 아닌 g’(x)를 사용하는 것이 좋겠지만, 헷갈릴 수 있으니 그렇게 하지 않았다. 그냥 원래 알던 방법은 잊자.)

그리고 f(x)가 0이 될 때까지 f(x)는 미분을, g(x)는 적분을 한다. 마지막으로 다음 그림과 같이 밑줄 쳐진 것들끼리 곱하고 그것들을 다 더하면 끝이다. 이게 정말 끝이다.



예를 들어보자.

박세원 공식4.gif

를 구해야 할 때, 원래 알던 방법으로는

와 같이 부분적분 2번을 통해 복잡한 계산과정을 거쳐야 하지만, 도표적분법을 활용하면

을 통해

으로 매우 간단하게 같은 결과 값을 얻을 수 있다. 반복하다 보면 익숙해져서 나중에는 이런 간단한 부분적분 정도는 암산으로도 계산하게 된다.



f(x)가 여러 번 미분해도 0이 되지 않을 때에도 원래 방법으로는 하나의 유형으로 가르칠 정도로 매우 복잡하게 풀어야 하지만(풀어본 사람은 알 것이다.) 도표적분법을 활용하면

를 통해

와 같이 매우 쉽게 풀 수 있다. 앞서 설명하진 않았지만, 이 경우처럼 f(x)가 여러 번 미분해도 0이 안 되거나 필요에 따라 0이 되기 전에 적분을 끝내고 싶을 때, 마지막 줄을 다 곱하고 integral을 씌워주면 되는 것을 알 수 있다. (0이 되는 경우도 마지막 줄을 곱하고 integral을 씌워주는 것은 같다. 다만 0이 곱해져서 결과가 0이므로 그냥 일반화시킬 때 편의상 무시하는 것뿐이다.)


박세원2.jpg 출처: 네이버 웹툰 '공대생 너무 만화' (최삡뺩)

2. 부분분수를 간단하게, “Heaviside Cover-up Method”


이 방법은 도표적분법에 비해 좀 알려진 방법이지만 그래도 소개한다. 일반적으로 부분분수를 전개(partial fraction expansion)할 때, 다음처럼 우변에 변수를 정해(좌변의 분자항의 계수와 분모의 해는 변수가 아닌 아는 값) 통분을 하고 등식을 풀어 우변의 인수를 각각 구한다.

통분하여 정리하는 것이 복잡하여 부호를 착각하고 실수를 할 확률이 정말 높다.



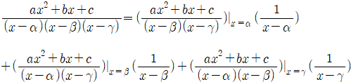
이때 훨씬 간단하게 부분분수를 구할 수 있는 방법이 바로 ‘Heaviside Cover-up Method’이다. 이 방법은

와 같이 구하는데, 수식으로 나타내면 복잡해 보이지만 잘 뜯어보면

1/(x-α)의 계수를 구할 때는 원래 식에서 1/(x-α)만 가린(Cover-up) 나머지 (ax^2+bx+c)/(x-β)(x-γ)에 x=α를 대입하고 x=β,γ일 때도 같은 방법으로 해서 다 더해주면 된다 것을 알 수 있다. 단순 대입이라 실수를 할 가능성도 낮고, 일단 굉장히 편리한 방법이다.



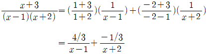
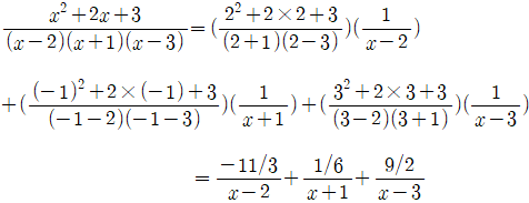
예를 들어보자.

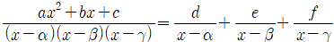
분모가 3차식인 경우에는 다음과 같이 식을 전개하면 된다.


분모가 2차식인 경우에는 훨씬 간단하다.


다만 중근이 섞여있는 경우에는 아쉽지만 이 방법을 사용할 수 없어서

처럼 나타낸 후 통분해서 계수 비교로 풀어야 한다.


박세원3.jpg



낯설고 새로운 것에 대한 두려움 때문에 받아들이기 힘들 뿐, 굉장히 편리하고 유용한 방법들이다. 대학에 진학해서도 이공대라면 특히 부분적분은 계속 사용하기 때문에, 잠깐의 낯섦을 이겨내고 쓸데없는 시간 소비와 스트레스로부터 자유로워질 것을 권한다. 부분분수 전개는 미적분학에도 쓸 일이 있고, 공업수학(공학수학 등)이나 공대 고학년 전공과목인 공정제어에서 Laplace Transform 할 때도 등장하기 때문에 익혀두길 권한다.(Heaviside Cover-up은 사실 필수적이라고는 할 수 없지만, 조금이라도 편리하고 시간과 금전적인 면에서 이득인 방법을 찾는 것이 공학자 정신이다.) 고등학교 과정에서도 유용하고 어차피 대학에서도 쓸 일이 생기는데 마다할 이유가 없지 않은가? 미리 익혀 둬서 필자처럼 고등학생 때부터 쭉 ‘꿀 빨기’ 바란다. 원래 무엇이든 잘하면 다 재밌다.(그래서 난 재미없다.) 공식 두 개 익히면 사진처럼 수학이 더 재미있어질 수도? 선택은 여러분 몫이지만 부디 현명한 사람이 되시길!




박세원.png

본 칼럼은 ©TENDOM Inc.과 한국청소년재단이 함께 운영하는 '애드캠퍼스 온라인 칼럼멘토단' 소속 대학생 멘토가 대한민국의 청소년들을 위해 들려주고 싶은 이야기를 담은 글입니다. 글의 내용은 운영기관의 공식의견이 아니며, 일부 내용은 운영기관의 의견과 다를 수도 있음을 밝힙니다. 칼럼은 출처를 밝히는 한 자유롭게 스크랩 및 공유가 가능합니다. 다만 게재내용의 상업적 재배포는 금합니다, 감사합니다.

keyword