brunch

아주 쉬운 미적분 (3)

수학을 시작하는 사람을 위하여

by Neutron

이제 적분에 대해서 이야기할 때가 되었다. 적분은 미분의 역순이다. 미분이 어떤 대상을 아주 작은 크기로 자르는 것이라면, 적분은 이 작은 조각들을 합치는 것이다. 특히 함수의 미분은 순간 변화율이고 순간 변화율을 적분하면 원래의 함수가 된다. 이것을 식으로 표현하면 다음과 같다.


d f(x) / dx = f'(x)

f(x) = ∫f'(x)dx


거듭제곱 함수의 미분에서 x³을 미분하면 3x²이 되고, 이 3x²을 적분하면 x³이 된다. 이것은 당연한 결과이다. 적분의 정의가 미분의 역순이라고 하였기 때문이다. 마찬가지 방법으로 4x³을 적분하면 x⁴이 되고, 이렇게 숫자를 계속 증가시켜 가서 n x^(n-1)을 적분하면 xⁿ이 된다.


3x²dx = x³

∫ 4x³dx = x⁴

...

∫ n x^(n-1) dx = xⁿ

x^n dx = x^(n+1) / (n+1)

일반적으로 거듭제곱 함수 x^n을 적분하면 다음과 같다.

여기서, n은 -1이 아닌 정수이다. (n = -1일 경우 로그함수가 나온다)


그런데 C는 왜 갑자기 튀어나왔는가? 앞 글에서 상수를 미분하면 0이 된다고 하였다. 그래서 0을 적분하면 어떤 상수가 된다. 모든 함수는 그 식에 0을 포함하고 있다고 생각할 수 있다. 그래서 적분을 하면 적분상수 C가 튀어나오는 것이다. 위 거듭제곱 함수의 적분식들은 잘못된 것이며 다음과 같이 써야 맞다. 이때 C는 아직 정해지지 않은 어떤 상수로 보면 된다.


3x²dx = x³ + C

∫ 4x³dx = x⁴ + C

...

∫ n x^(n-1) dx = xⁿ + C

x^n dx = x^(n+1) / (n+1) + C


지수가 n인 거듭제곱 함수의 적분은 지수에 1을 더해주고, 여기에 (지수 + 1)을 나누어주면 된다. 이 글의 목적은 공식을 암기하는 것이 아니다. 공식이 어떻게 만들어졌으며 어떤 구조를 가지고 있는지 이해하고 넘어가면 된다. x를 1차원이라고 했을 때, x를 적분하면 2차원이 되고, 또 한번 더 적분하면 3차원이 된다. 이렇게 거듭제곱 함수를 적분하면 차원이 한 단계씩 높아진다. 반대로 미분을 하면 한 차원씩 낮아진다. 4차원 친구는 미분을 해줘야 우리 같은 3차원 사람이 된다.


또, 미분과 적분을 설명하는 데 거듭제곱 함수만을 언급하는 이유는 이 거듭제곱 함수의 미분, 적분만 알아도 아주 많은 문제들을 해결할 수 있기 때문이다.


적분은 아주 작은 조각들을 합치는 것인데 어디서부터 어디까지 합치라는 말인가? 우리는 그 구간을 아직 정하지 않았다. 그래서 적분값이 정해지지 않았고, 계산된 적분값에도 모르는 상수 C가 포함되는 것이다. 이렇게 합치는 구간을 정하지 않은 적분 계산을 부정적분이라고 한다. 이와 같은 의미에서 합치는 구간을 정해놓은 적분 계산을 정적분이라고 한다. 정적분은 변수의 구간을 정해 놓고 계산한다. 어디서부터 어디까지 합치라고 정해놓으면 우리는 아주 의미 있는 값들을 얻어낼 수 있다.



적분을 활용한 도형 면적의 계산


한 변의 길이가 4인 정사각형의 면적이 4² = 16 이라는 것을 적분을 사용하여 계산해 보도록 하자. 먼저 할 것은 좌표 평면에 다음과 같이 정사각형을 그려보고 이 그래프를 함수로 표현해 보는 것이다.

함수의 그래프는 변수 x가 변할 때 함수값 y를 그리는 것이다. 즉, x-y 좌표계에서 해당 함수의 관계를 만족하는 모든 (x, y)의 집합이다. 이 점들을 모두 이으면 하나의 선이 되고 이 선이 그래프이다. 함수의 정의에서 변수 하나에 대하여 함수값이 하나가 정의되어 있어야 하므로 이 조건을 만족하는 정사각형 내 선분을 찾아본다. 정사각형을 이루고 있는 세로선은 하나의 x 값에 대하여 여러 개의 y 값이 선택되므로 함수가 아니다. 가로선은 하나의 x에 대하여 하나의 y가 대응되므로 함수이다. 그런데 그 y는 일정한 값일 뿐이다. 정사각형의 가로변은 다음과 같이 두 개의 함수로 표현될 수 있다.


y = f(x) = 0

y = f(x) = 4


어라? x 같은 변수가 없는데 이게 함수 맞아? 라고 의문을 가지는 사람이 있을 것이다. 이런 형태를 상수함수라고 부르고 x 값에 관계없이 즉, 모든 x 값에 대해서 y는 일정한 상수값을 가진다. y = f(x) = 0의 의미는 함수 상자에 어떤 x 값을 집어 넣던 튀어나오는 숫자는 0이라는 말이다. 우리 목표는 면적을 구하는 것이므로 y = 0 보다는 y = 4를 적분할 함수로 선택하는 것이 더 의미가 있다.


위 그림에서 표시된 정사각형을 미세한 부분으로 잘라보자. 즉 미분을 해 보자. 임의의 지점 x 에서 미소 구간을 dx라고 하면 미소 면적은 4dx가 된다. 이해를 돕기 위해 아래 그림에서 dx가 좀 커 보이지만 사실 이 dx는 거의 0에 가까운 아주 짧은 길이이다. 이 4dx를 적분하면 전체 면적이 된다.

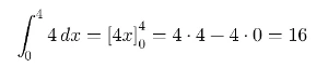
그리고 드디어 적분 구간이 나온다. 정사각형이므로 적분 구간은 x = 0에서부터 x = 4 까지이다. 적분 구간이 명시된 형태를 정적분이라고 하였다. 정적분의 표현 방법은 ∫ (인테그랄) 아래와 위에 각각 변수의 하한값과 상한 값을 적어놓는다. 계산 방법은 부정적분을 구한 다음 상한을 입력한 결과에서 하한을 입력한 결과를 빼주면 된다. 이를 식으로 표현하면 다음과 같다.

여기서 4는 상수이므로 적분기호 밖으로 빠져나올 수 있다. 그러면 1을 적분하는 것과 같고, 1을 dx에 대하여 적분하면 x가 된다. 여러분은 적분을 이용하여 정사각형의 넓이를 구했다.

keyword
작가의 이전글아주 쉬운 미적분 (2)