brunch

아주 쉬운 미적분 (4)

수학을 시작하는 사람을 위하여

by Neutron

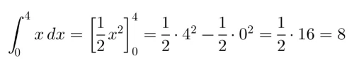
정사각형 넓이를 적분으로 구한 김에 삼각형의 넓이도 한 번 구해보자. 마찬가지 방법으로 단계를 밟아가면 된다. 밑변의 길이가 4, 높이가 4인 직각이등변 삼각형의 면적 S는 다음과 같이 구한다.

이제 이 삼각형을 x-y 좌표에 그리고 함수로 표현하면 다음과 같다.

이 삼각형에서 빗변을 나타내는 함수는 y = f(x) = x 이다. 여기서도 임의의 x에서 미소 길이 dx를 가정하면 이때의 높이는 함수값이 된다. 변수 x에서 함수값도 y = x이므로, 미소 면적은 x dx가 된다.

적분 구간에 걸쳐 미소 면적을 모두 합하면 전체 넓이가 된다. x 값이 0에서 4까지 변하므로, 면적은 다음과 같이 계산된다.


지금까지 도형을 함수로 나타내고, 그 면적을 적분으로 계산해 오면서 뭔가 공통점을 발견한 사람이 있는가? 그렇다면 눈썰미가 대단한 사람이다. 그렇다. 함수를 적분하는 것은 함수의 그래프 아래 부분의 면적을 구하는 것이다. 하한값 a, 상한 값 b인 일반적인 함수 y = f(x)의 정적분을 그래프로 나타내면 아래와 같다. 색칠된 부분의 면적이 바로 적분값이다.

그림. 함수의 정적분. 출처 : Google


직선으로 이루어진 사각형이나 삼각형의 면적은 꼭 적분법을 쓰지 않아도 쉽게 구해낼 수 있다. 그러나 둘레가 곡선인 어떤 도형의 면적을 구하려면 미궁에 빠진다. 원(Circle)에 대해서는 아주 오래전에 지름과 원둘레 길이의 관계를 π(pi)라는 기호로 정의해 놓아서 그 면적을 구하기가 어렵지 않지만, 자유로운 형상을 갖는 도형의 면적은 구하기가 쉽지 않다.


하지만 이 자유로운 형상을 함수로 표현할 수만 있다면 즉, 영화에서 보듯이 어떤 물체를 레이저로 스캔하여 레이저 빛이 지나가는 자취에 따라 물체 외곽 형상의 좌표를 알아낼 수만 있다면 적분법을 사용하여 면적을 구할 수 있다. 이러한 적분법은 면적을 계산할 때뿐 아니라 물체의 체적을 계산할 때도 쓰인다. 앞에서 도형의 미소 면적을 모두 합하여 전체 면적을 계산했던 것처럼 물체의 미소 체적을 정의하고 이것들을 모두 합하여 체적을 계산할 수 있다.


집에 있는 꽃병에 얼마의 물을 넣어야 하는가 또는 장독 항아리에 얼마만큼의 간장을 담을 수 있는가 하는 문제들도 적분을 이용하여 그 체적을 구하면 해결된다.


산업 분야로 가면, 자동차를 제조하는 회사 연구소에서는 CAD(Computer Aded Deaign)를 사용하여 자동차 안에 들어가는 모든 부품을 설계한다. 설계한다는 것은 모든 치수를 정하는 작업이다. 각 부품이 차지하고 있는 부피가 얼마나 되는지 또는 휘발유 통 및 와셔액 통에 들어갈 액체가 차지하는 부피가 얼마나 되는지 미리 계산해 놓을 필요가 있다. CAD 내부에는 임의 형상에 대하여 부피를 계산하는 알고리즘이 있는데, 여기에 적분법이 포함되어 있다. 물론 공식을 이용하여 계산하는 것이 아니라 수치해석적인 방법을 사용하지만 미소 체적으로 쪼갠다음 모두 합친다는 개념은 동일하다.


전체 체적을 미소 체적으로 쪼개는 이유는 그 미소 체적이 변하는 패턴을 알기 위해서다. 미소 체적이 변하는 패턴만 알면 그 패턴을 함수식으로 표현할 수 있고, 함수의 적분 방법을 이용하여 전체 체적을 계산할 수 있다.

keyword
작가의 이전글아주 쉬운 미적분 (3)