brunch

연속량의 적분 vs 이산량의 무한급수

흑체복사의 원리

by astrodiary

흑체복사의 개념을 얘기한 지난번 글에 이어서 이번에는 흑체 복사 함수를 어떻게 알아 내게 되었는지에 대해 얘기해 보려고 한다. 막스 플랑크가 흑체 복사 함수를 유도하는 과정에서 가정한 에너지 불연속성에서부터, 양자물리의 근간이 되는 '양자'라는 개념이 처음으로 등장하게 되었으니, 아인슈타인의 특수 상대론의 시발점이 된 맥스웰의 전자기이론과 더불어, 흑체복사는 현대 물리학에서 아주 큰 의미를 지니고 있다 (고전물리에서 현대물리로의 전환점이 되는 중요한 사건이었다). 어쩔 수 없이 약간의 수식을 쓸 수밖에 없음에 양해를 구하며, 최대한 간단하게 설명해 보고자 한다.

Screenshot 2025-05-20 at 8.43.22 AM.png 속이 빈 구를 이용한 가상흑체. 출처: https://namu.wiki/

다시 흑체로 돌아가서, 위의 그림처럼 아~~ 주 작은 구멍이 나 있고, 속이 빈 구(球)를 생각해 보자. 이제 빛이 그 구 안으로 들어가고 나면 구 내부의 벽이 이리저리 '부딪힐' 지언정 다시 구멍 밖으로 빠져나오는 일은 (거의) 없을 것이다. 즉 빛은 흡수되고 구멍 난 구는 마치 흑체와 같은 역학을 한다 (실제로 구멍을 통해 들여다보이는 구의 내부는 시커먼 '흑체'이다). 이 흑체 구 안에 빛이 많이 들어차게 되고 빛 덩어리의 에너지가 흑체와 열평형을 이루어 일정 온도를 가지면 흑체는 그 온도에 해당하는 흑체복사를 방출한다. 그럼 이 흑체 안에 있는 빛 (다시 말해, 흑체복사를 통해 방출되는 빛)은 어떤 상태에 있어야만 할까? 빛(광자)을 특징짓는 것은 에너지인데, 바로 이 빛의 '에너지-상태'분포를 바라보는 관점을 전환을 통해, 플랑크는 관측된 흑체복사의 스펙트럼을 설명할 수 있었다.


빛의 '에너지-상태'분포를 설명하기 전에, 빛의 에너지를 결정짓는 것이 무엇인지 짚고 넘어갈 필요가 있다.


빛의 에너지는 주파수에 비례한다.

빛을 고전물리의 관점에서 전자기파로 이해하면, 전자기파의 에너지는 진폭의 제곱에 비례한다. 하지만 이것은 근본적인 해석이 아니다. 왜냐하면, 파동의 진폭은, 똑같은 주파수를 가지며 골과 마루가 일치하는 파동을 여러 개 더하면 자연스레 증가하기 때문이다 (두 파동의 골과 마루가 일치하는 경우를 우리는 두 파동의 위상이 같다고 얘기한다). 즉 위상이 일치하는 주파수를 가지는 같은 파동 여러 개를 더하면 얼마든지 진폭이 큰 전자기파를 만들어 낼 수 있다 (이 파동들을 광자라고 불러도 되며 이들 각각의 파동에 대해 진폭을 얘기하는 것은 이제 의미가 없다) 따라서, 보다 근본적인 해석은 '진폭이 큰 전자기파는 같은 주파수의 위상이 일치하는 파동 여러 개가 더해진 결과이므로 더 큰 에너지를 갖는다'이다. 이제 우리는 특정주파수를 가지는 빛의 에너지는, 진폭이 아니라 주파수에 의해 결정된다는 (주파수에 비례한다는) 사실을 받아들이기로 하자. 빛(광자)의 에너지는 주파수에 비례한다. 이는 광전효과가 시사하는 바와도 일치한다 (강하게 묶여있는 전자일수록, 이를 떼어 내기 위해서는, 주파수가 더 높고, 파장이 짧은 빛을 쪼여야 한다. 즉 에너지가 더 높은 빛이 필요한 것이다).


이제 각각의 빛이 주파수에 따라 다른 에너지를 가진다는 사실을 알게 되었다. 그러면 이 흑체복사를 내는 구 안에 갇혀 빛들은 어떤 상태에 있어야 (다시 말해 어떤 상태분포를 가져야)하는 것일까?


정상파를 이루어 진동하는 파동

구는 유한한 크기를 가지고 있기 때문에, 구 벽면에서 반사가 일어나 빛이 상쇠 되는 일이 없이 보존되려면, 빛은 구의 벽면을 경계로 해서 파동의 마루와 골의 위치가 변하지 않는, 아래와 같은 정상파라고 불리는 형태로 존재해야 한다.

normal_wave.png 정상파. 출처: https://namu.wiki/

위와 같은 상태에 있으려면, 빛은 아무 주파수 값이나 가질 수는 없고 조화 진동이라고 불리는, 기본진동수의 정수배의 값을 가지는 특정 진동 상태에 있어야 한다. 이제 구의 크기가 빛의 파장에 비해 어마어마하게 크다는 사실을 상기해 보면, 아주 작은 차이지만 약간씩 다른 주파수를 가지는 수많은 종류의 빛이 정상파의 형태로 존재할 수 있다는 사실을 받아들일 수 있을 것이다.


그럼 이제, 특정 주파수를 기준으로 이보다 약간 작거나 큰 범위 내의 주파수를 가지는 정상파 형태로 존재하는 빛의 주파수의 개수 밀도 (상태분포)를 생각해 보자. 그리고 그 주파수에 해당하는 빛의 평균에너지를 생각해 보자. 이제 이 두 가지 값을 곱하면 특정주파수를 가지는 빛(광자들)의 에너지 밀도를 얻을 수 있고, 이 계산을 매 주파수마다 반복하면, 마침내 우리가 원하는 에너지 밀도의 파장에 따른 함수 (흑체복사의 스펙트럼)를 얻게 된다.


주어진 주파수를 v라고 할 때, v와 v+dv 범위 안에서 정상파로 존재할 수 있는 주파수의 개수 밀도는, 반지름이 v이고 두께가 dv인 구각(球殻)의 부피에 비례한다. 즉 4*3.141592*v*v*dv 이다. 이제 주어진 주파수에 해당하는 빛의 평균에너지를 계산해 보자. 특정 주파수를 가지는 빛은, 아주 작은 에너지부터 아주 큰 에너지 값사이에 있는 여러 가지 에너지 값을 가질 수 있다. 에너지를 진폭과 연결 지어 생각하면, 같은 주파수를 가지는 여러 개의 파동을 더하는 과정에서 에너지를 얼마든지 늘이고 줄일 수 있으며, 에너지를 주파수에 비례하는 양으로 생각하면, 비례상수를 조정하는 과정에서 에너지를 늘이고 줄일 수 있다. 이렇게 에너지가 여러 가지 값을 가질 수 있는 경우 에너지분포를 결정하는 확률분포함수 (쉽게 말해서 물리계가 주어진 에너지를 가질 수 있는 확률)라는 것이 존재한다.


이상기체의 운동을 연구하던, 볼츠만은 이 에너지 확률분포함수가 exp(-e/kT)를 따른다는 사실을 발견하였다 (여기서 e는 에너지 값을, T는 온도를 나타낸다). 이제 빛의 에너지 값에 이 확률분포함수를 가중치로 주어 평균을 구하면 빛의 평균에너지를 계산할 수 있다. 자, 그런데 여기서 고전물리와 양자물리의 차이가 발생한다.

Screenshot 2025-05-23 at 6.55.30 PM.png
Screenshot 2025-05-23 at 6.55.52 PM.png
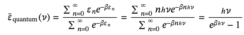
주파수 v를 가지는 빛의 평균에너지. (좌): 고전물리적 관점 (우): 양자물리적 관점. 여기서 beta=1/kT이다.

연속적인 값을 가지는 에너지: 고전 물리학적 관점

고전 물리학적 관점에서 빛의 에너지는 연속적인 값이다. 1,2,3...처럼 띄엄띄엄 떨어져 있는 값을 가지는 것이 아니다. 1과 2 사이를 무한히 잘게 쪼갤 수 있는 양의 값을 가지고 연속적으로 분포한다. 굉장히 자연스러운 해석이다 (고전물리학에서 관측되는 거시세계의 모든 물리량은 연속적이기 때문이다). 이제 이 관점에서 보면 연속량의 적분을 통해 평균을 계산하는 좌측의 과정을 거치면 평균에너지를 구할 수 있다 (자세한 과정은 고교 수학을 참고하면 알 수 있다).


불연속적인 값을 가지는 에너지: 양자물리학적 관점

양자 물리학적 관점에서 빛의 에너지는 불연속적인 값이다. 최소에너지인 hv (플랑크 상수라고 불리게 된, 비례상수 h를 가지며 주파수에 비례하는)의 정수배에 해당하는 에너지만을 가질 수 있다. hv, 2hv, 3hv와 같은 값은 허용이 되지만, 2.1hv와 같은 값은 가질 수 없다. 이렇게 되면 연속량의 적분을 할 수가 없기 때문에, 우측에 나온 것과 같이 공비가 exp(-hv/kT)인 이산량 수열의 무한급수를 계산하는 과정을 통해 평균에너지를 구할 수 있다 (자세한 과정은 역시 고교 수학을 참고하면 알 수 있다).


언뜻 보면 과정에 별 차이가 없어 보이지만 (구간을 잘게 쪼개서 더하는 것이 적분이므로), 결과로 도출된 함수는 아주 다른 형태이다. 고전물리적 관점에서 구한 빛의 평균 에너지에 주파수의 개수밀도를 곱하여 얻어지는 에너지 밀도 함수는 낮은 주파수에서는 관측된 흑체복사 스펙트럼과 잘 맞는 결과를 주지만(아래 그림 참조), 주파수가 커질수록 그 차이가 극명하게 벌어지며, 에너지밀도 함수를 주파수에 대해 적분하여 에너지 총량을 구할 경우 무한대의 값을 준다 (이를 물리학에서는 참사(catastrophe)라고 부르는데, 높은 주파수, 짧은 파장에서 일어나기 때문에 자외선 참사라는 이름이 붙었다). 반면에 플랑크가 에너지 값의 불연속성을 가정하여 도출해 낸 플랑크 함수는 관측된 흑체복사 스펙트럼을 아주 잘 설명하며, 적분을 통해 얻어지는 에너지 총량도 유한하다.

Screenshot 2025-05-23 at 8.33.19 PM.png 흑체복사 함수. X 축은 주파수이다. 출처: https://news.samsungdisplay.com/18698/

사실 플랑크가 빛의 양자성을 알고 흑체복사 함수를 유도한 것은 아니다. 그는 경험을 바탕으로 이런저런 함수의 형태를 도입하여 관측자료를 맞추기 위한 시도를 하는 과정에서 올바른 흑체복사함수를 찾아내었다고 한다 (관측자료를 잘 맞추는 함수를 찾아내어 1900년에 논문을 출판하였고 얼마 지나지 않아서 같은 해에 그 함수를 유도하는 과정을 자세히 기술하여 두 번째 논문을 출판하였다). 막스 플랑크 본인도, 흑체복사 함수를 유도하는 과정에서 스스로 가정한 빛의 에너지의 불연속성이 무엇을 의미하며, 얼마나 혁명적인 아이디어였고, 그것이 양자물리를 여는 시작이었음을 몰랐던 것이다 (1905년 아인슈타인이 플랑크가 가정했던 빛의 에너지 불연속성에 기반한 양자가설로 광전효과를 설명하면서부터 빛의 입자성과 에너지 불연속성이 가지는 의미가 주목을 받기 시작하였다). 이렇게 세상에 알려지게 된 흑체복사의 물리적 기작은 천문학을 배우는 학생들이 천체복사론 수업을 듣게 되면 반드시 마주하게 되는 주제이다.

keyword
매거진의 이전글무지개 색 너머, 보이지 않는 세상