brunch

학습 모델의 평가, 편향과 분산

by 노다해


앞서 모델 학습은 경사하강법(Gradient Descent)을 통해 평균제곱오차(MSE, Meas Squared Error)로 정의된 손실함수를 최소화하는 방향으로 진행되었다. 동일하게, 학습된 모델을 최종적으로 평가할 때에도 MSE를 활용할 수 있다.


앞서 모델 학습은 경사하강법(Gradient Descent)을 통해 평균제곱오차(MSE, Mean Squared Error)로 정의된 손실함수를 최소화하는 방향으로 진행되었다. 동일하게, 학습된 모델을 최종적으로 평가할 때에도 MSE를 활용할 수 있다.



1. MSE 정의


%EC%8A%A4%ED%81%AC%EB%A6%B0%EC%83%B7_2025-08-18_%EC%98%A4%EC%A0%84_10.45.14.png?type=w1

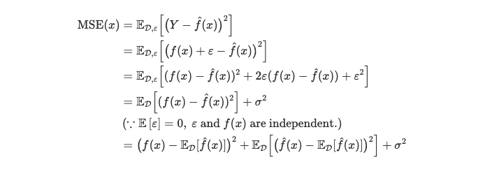
ε(irreducible noise): 데이터 본질의 변동성, 측정 오차, 특성의 불완전성, 시스템의 비결정성(stochasticity) 등을 포괄





2. MSE 전개 & 독립성 가정 적용


%EC%8A%A4%ED%81%AC%EB%A6%B0%EC%83%B7_2025-08-18_%EC%98%A4%EC%A0%84_10.55.31.png?type=w1





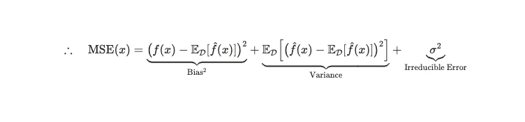
3. 최종 식


%EC%8A%A4%ED%81%AC%EB%A6%B0%EC%83%B7_2025-08-18_%EC%98%A4%EC%A0%84_10.46.45.png?type=w1

첫 번째 항: Bias² (편향 제곱)

편향: 예측의 기대값과 실제 값의 차이 모델이 실제 데이터에서 얼마나 일관되게 벗어나 있는지 모델이 실제에 비해 단순한 경우


두 번째 항: Variance (분산 = 편차²의 기대값)

분산: 개별 예측값이 예측의 기대값에서 얼마나 떨어져 있는지 모델이 실제에 비해 복잡한 경우 또는 학습 데이터에 과적합













keyword
매거진의 이전글머신러닝, 지도학습, 회귀(Regression)